Материал: Напрямки забезпечення ефективної зайнятості в Україні

Внимание! Если размещение файла нарушает Ваши авторские права, то обязательно сообщите нам

При цьому слід відмітити, що розвиток людини багато в чому залежить від зайнятості населення. Людський розвиток має велике значення для збереження прибутків, подолання бідності. Причини ключового значення вирішення проблем зайнятості в контексті концепції людського розвитку можна узагальнити так:

- трудова діяльність людини дозволяє їй самостійно забезпечити необхідні для гідного існування доходи, що можуть бути спрямовані на індивідуальний людський розвиток, на інвестиції в освіту, зміцнення здоров'я, на підвищення якості життя;

-        трудова і в цілому економічна діяльність дозволяє кожному реалізувати накопичений людський капітал, створює стимули для одержання освіти та інвестування у людський капітал майбутніх поколінь;

         ринок праці, що нормально й ефективно функціонує, надаючи більшості працездатних роботу і дохід, дозволяє державі, чиї бюджетні можливості завжди обмежені, зосередитися на підтримці та захисті окремих соціально вразливих і непрацездатних категорій громадян, а отже, забезпечення рівних можливостей для людського розвитку всіх громадян;

         високий рівень зайнятості в умовах ефективного виробництва забезпечує не лише стабільність індивідуальних доходів, а іі зростання податкових надходжень до державного бюджету і сукупних доходів суспільства, створюючи можливості для виробництва більшої кількості суспільних благ, що сприяють людському розвитку;

         трудова діяльність багато в чому визначає процес соціалізації особистості, формує ціннісні установки й орієнтації, перешкоджає формуванню та поширенню криміногенної поведінки;

         високий рівень економічної активності у працездатному віці приводить до того, що виробниче середовище стає навколишнім середовищем багатьох людей протягом тривалого часу, тому умови праці в найширшому розумінні визначають якість і трудового життя і, відповідно, умови та стандарти життя людей [1, 82].

Звідси виникає потреба в терміні, який би охоплював е тільки економічні, а й соціальні аспекти використання трудового потенціалу. Саме таким є поняття ефективна зайнятість. Незважаючи на пошир енне вживання цього терміну, його науковий зміст і нині ще чітко не визначений як у зарубіжній, так і у вітчизняній літературі [8, 176].

Розділ ІІ. Аналіз політики зайнятості в Україні на сучасному етапі

.1 Сучасний стан і тенденції розвитку політики зайнятості

З позицій економічного життя суспільства, зайнятість - це діяльність населення, що пов'язана зі створенням суспільного продукту та національного доходу. Ця зайнятість визначає економічний потенціал життя суспільства, рівень і якість життя населення в цілому, а також добробут окремих громадян, тобто трудова зайнятість населення є підґрунтям економічного життя суспільства.

У Koнвенції №44 Міжнародної організації праці (далі - МОП) "Про допомогу особам, котрі є безробітними з незалежних від них обставин" від 27.03.2007 р. зазначається: "У разі часткового безробіття відшкодування або допомога виплачується особам, зайнятість яких скорочено в межах, передбачених законодавством країни" [29, 74].

На веб-сайті Державного комітету статистики повідомляється, що рівень зареєстрованого безробіття в Україні у січні - лютому 2008 року становив 2,4%, у березні - 2,3%, у квітні - 2,2%, у травні - 2,0%, у червні - 1,9%, у липні - вересні - 1,8%, у жовтні - 1,9%, у листопаді - 2,3% і на кінець грудня 2008 року склав майже 3% населення. Серед зареєстрованих на кінець 2008 року безробітних 465.2 тис. осіб - жінки, більшість безробітних - 418.3 тис. осіб - міські жителі.

Щодо 2009 року, то на кінець січня рівень зареєстрованого безробіття в Україні становив 3,2% населення працездатного віку, у Державній службі зайнятості було зареєстровано 900,6 тис. осіб безробітних (у грудні 2008 р. - 844,9 тис. осіб). З них допомогу з безробіття одержували 670,9 тис. осіб (у грудні 2008 р. - 652,1 тис. осіб). Середній розмір такої допомоги склав 604,42 грн. на місяць (у грудні 2008 р. - 571,07 тис. осіб). Серед зареєстрованих на кінець січня 2009 року безробітних 485,2 тис. осіб - жінки, більшість безробітних - 463,9 тис. осіб - міські жителі.

Слід відмітити, що потреба підприємств у працівниках на заміщення вільних робочих місць і вакантних посад у грудні 2008 року становила 91,1 тис. осіб (місяцем раніше - 136,8 тис. осіб). Навантаження на одне вільне робоче місце (вакантну посаду) складало 9,6 осіб (місяцем раніше - 5,1 осіб / місце (перед цим вісім місяців поспіль цей показник дорівнював 3 осіб / місце, а в січні - лютому - 4 осіб /місце). Потреба підприємств у працівниках на заміщення робочих місць і вакантних посад у січні становила 86,5 тис. осіб (місяцем раніше - 91,1 тис. осіб). При цьому, за даними Держкомстату, кількість незайнятих громадян, які перебували на обліку в Державній службі зайнятості, становила 930 тис. осіб (місяцем раніше - 876,2 тис. осіб). Отже, навантаження на одне вільне робоче місце (вакантну посаду) склало 10,8 осіб (місяцем раніше - 9,6 осіб / місце) [17].

У теперішній час від безробіття найбільше страждають села, регіони з нерозвинутою інфраструктурою та незначним потенціалом для швидкого відновлення. За даними Міністерства праці і соціальної політики, в Україні щодня втрачають роботу близько трьох тисяч людей. Серед регіонів України лідером за абсолютною кількістю безробітних у 2009 році є Донецька - 223,6 тис. осіб, Дніпропетровська - 136,6 тис. осіб та Вінницька області - 88,3 тис. осіб; найменша кількість безробітних - в Івано-Франківській, Львівській та Чернівецькій областях.

У Державній службі зайнятості України прогнозують, що рівень безробіття у 2009 році складе 9% від кількості працездатного населення. На думку директора Державного центру зайнятості В. Галицького, рівень безробіття, що визначається за методологією Міжнародної організації праці, в 2009 р. складе близько 9%, а послугами служби зайнятості скористаються близько 3 млн. осіб. Крім того, він повідомив (з посиланням на дані оперативного моніторингу Держслужби зайнятості), що станом на 16 лютого 2009 року на обліку в центрі зайнятості перебувало 931,9 тис. осіб. Водночас актуальних вакансій у центрі налічується лише 83,2 тис. Мінімальний розмір соціальної допомоги з безробіття для застрахованих осіб становить 500 грн., для незастрахованих - 360 грн. У січні поточного року Державний центр зайнятості працевлаштував 39,3 тис. осіб, 40,3 тис. осіб проходили професійне навчання на безпосереднє замовлення роботодавців, і 10,1 тис. осіб брали участь в оплачуваних громадських роботах. Наразі на ринку праці наявні різні вакансії у багатьох сферах діяльності, але найбільш активний пошук працівників ведуть державні та комунальні підприємства, що частіше виставляють робітничі вакансії слюсарів, електромонтерів, малярів, монтажників, електрогазозварників та ін. Також користуються попитом професії сфери обслуговування, зокрема такі, як продавці та офіціанти. Затребуваними залишаються водії, охоронці, фахівці інженерно-технічної сфери, менеджери з реклами тощо [1, 80-81].

.2 Аналіз основних показників ефективної зайнятості

Щодо основних показників зайнятості можна зробити висновки про формування певних тенденцій які притаманні ринку праці в 2010 році, в порівняні з 2009 р.:

Таблиця 2.1.

Динаміка основних показників ринку праці


Діаграма 2.1

Таблиця 2.2

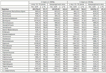
Рівень економічної активності населення за статтю, місцем проживання та віковими групами


Таблиця 2.3

Рівень зайнятості населення за статтю, місцем проживання та віковими групами


Таблиця 2.4

Зайняте населення за регіонами

Діаграма 2.2


Розділ ІІІ. Напрямки забезпечення ефективної зайнятості на сучасному етапі

3.1    Рекомендації щодо забезпечення ефективної зайнятості

Структурна перебудова економіки України зумовила певний перерозподіл зайнятих за галузями та різке зростання вивільнення робочої сили. Проблеми ефективного використання трудових ресурсів вирішуються поетапно. Науковці ради з вивчення продуктивних сил України НАН України виділяють три етапи:

перший - 1998-2008 рр.;

другий - 2009-2015 рр.;

третій - 2016-2025 рр.

Стратегічним завданням перших двох етапів є досягнення показників економічного розвитку рівня 1990 року. При цьому структура народногосподарського комплексу та структура ВВП мають набути соціально орієнтованого змісту, що дасть можливість наблизити рівень життя населення до стандартів розвинутих країн [12, 120-121].

Аналіз практики формування ринків праці в Україні та в країнах близького зарубіжжя, а також позитивний досвід країн з розвинутою ринковою економікою свідчать про те, що раціональне використання трудових ресурсів, тобто ефективна зайнятість населення повинна мати такі параметри:

) регламентовану зайнятість та професійне навчання - 70-90%; нерегламентовану зайнятість - 10-15%; безробітні та інші групи незайнятого населення - 7-8%. Використання трудоактивного населення має забезпечуватись за рахунок: збереження та збільшення ефективно функціонуючих робочих місць у всіх секторах економіки;

) максимального стимулювання зайнятості населення у будь-якому секторі економіки та на основі самозайнятості;

) сприяння гнучкості ринку праці (мобільність трудових ресурсів, гнучкість структури заробітної плати та організації робіт);

) мобілізації коштів та підтримки стабільного функціонування системи освіти й професійної підготовки;

) приведення місткості та розміщення профтехучилищ і вищих навчальних закладів відповідно до реальних потреб у кадрах;

) забезпечення регулюючої ролі держави щодо збереження і створення нових робочих місць у приватизованих підприємствах [14, 103-105].

Механізм регулювання використання трудоактивного населення зводиться до:

) упередження критичного рівня безробіття, створення і збереження трудових місць в перспективних галузях та виробництвах шляхом реалізації державних інвестиційних програм;

) забезпечення зайнятості незайнятого населення шляхом організації та розширеного проведення громадських робіт, особливо в регіонах з високим рівнем безробіття;

) організації робочих місць для соціально вразливих категорій населення за рахунок Державного фонду сприяння зайнятості населення;

) організації превентивної професійної переорієнтації і перенавчання працівників, що знаходяться під загрозою звільнення;

) державної підтримки сільськогосподарського виробництва незалежно від форм власності;

) реформування оплати праці та розробки механізмів, які забезпечували б обґрунтовану диференціацію заробітної плати, виконання нею відтворювальної, стимулюючої, соціальної та регулюючої функцій;

) розробку механізмів соціального захисту вивільнених працівників у разі банкрутства підприємства;

8) розвитку системи безперервної освіти як найбільш дієвого засобу підтримання якості робочої сили і підвищенню її конкурентоспроможності;

9) проведення зваженої міграційної політики, спрямованої на раціональне територіальне переміщення населення, захист національного ринку праці [15, 34-35].

Механізм регулювання зайнятості населення та його використання має вдосконалюватись відповідно до нових суспільних умов розвитку економіки, зрушень в галузевій і технологічній структурі виробництва, змін у сфері соціально-трудових відносин.

Існує взаємозалежність між основними економічними індикаторами і зайнятістю. Економічне зростання, що виражено ВВП, залежить від змін у рівні зайнятості, продуктивності праці і динаміки чисельності робочої сили. Якщо при падінні обсягів ВВП скорочення зайвої робочої сили не відбувається, то знижується продуктивність праці й заробітна плата.

Проблема зайнятості є однією з основних соціально-економічних проблем перехідної економіки. Особливістю ринку праці є надлишкова забезпеченість робочою силою при відсутності необхідної робочої сили в нових сферах зайнятості економіки. В галузевій структурі зайнятості зростає частка торгівлі, фінансів, страхування. Посилюються вимоги до державного перерозподілу робочої сили. На структуру зайнятості впливають різні макроекономічні фактори, які необхідно враховувати і прогнозувати, виділяються фактори рівня розвитку продуктивних сил, потреби суспільства в матеріальних і духовних благах, рівень життя, демографічні фактори, міграція населення [12, 88-89].

Таблиця 3.1

Попит на робочу силу за видами економічної діяльності у 2010 році


Ефективність визначають сукупність показників: перший - пропорції розподілу ресурсів праці суспільства за їх характером участі в суспільно корисній діяльності (чим вище продуктивність суспільної праці, тим більше передумов для високих доходів робітників; повна зайнятість може досягати при знижуючому рівні участі працездатного населення в суспільному виробництві); другий показник - рівень зайнятості працездатного населення в суспільному господарстві. Висока потреба в оплачуваній роботі свідчить про низький рівень життя, пов'язаний з низьким рівнем продуктивності і оплати праці. Зайнятість отримання освіти визначається ефективним використанням людських ресурсів в умовах постійного впровадження досягнень науково- технічного прогресу. Третій показник, який визначає ефективність зайнятості, - структура розподілу працюючих за галузями народного господарства, - що визначає, по суті, пропорції розподілу трудового потенціалу за видами зайнятості; і професійно-кваліфікаційна структура працюючих враховує збалансованість системи підготовки кадрів з потребою економіки в кваліфікованих робітниках. Зайнятість у народному господарстві розглядається як рівна з іншими сферами суспільно корисної діяльності навчання, зайнятість в домашньому господарстві, виховання дітей [7, 272-273].

Основними завданнями у сфері зайнятості на сучасному етапі розвитку є досягнення повної та продуктивної зайнятості населення, досягнення високого рівня продуктивності праці і формування прогресивної галузевої структури зайнятості, задоволення потреб народного господарства в робочій силі з урахуванням потреб кількісних і якісних показників, покращення соціально-професійних характеристик трудових ресурсів тощо.

Створення концепції зайнятості соціальної держави підкреслює нові складові розуміння поняття повної зайнятості. Повна зайнятість - це не тільки максимально можливий рівень залучення працездатного населення в суспільне господарство, а й реальна відповідність потреби в робочих місцях з економічно визначеною продуктивністю. Досягнення повної зайнятості неможливо забезпечити за допомогою одного ринкового механізму, необхідно постійне регулювання цього процесу з боку держави, суспільства. Державному регулюванню, в першу чергу, підлягають фундаментальні науки, освіта, охорона здоров'я, екологічна й національна безпека, функціонування так званих природних монополій [2, 83].

Стан ринку праці є результатом впливу безлічі економічних і соціальних факторів управління зайнятістю і може досягатися в реалізації економічних, соціальних, освітніх та інших напрямків державної політики.

-           забезпечення рівних можливостей усім громадянам незалежно від національності, статі, віку, соціального стану, політичних переконань і відношення до релігії в реалізації права на добровільну працю і вільний вибір зайнятості;

-        сприяння забезпеченню ефективної зайнятості, запобіганню безробіттю, створенню нових робочих місць та умов для розвитку підприємництва;