НАЦIОНАЛЬНИЙ УНIВЕРСИТЕТ "ОДЕСЬКА МОРСЬКА АКАДЕМIЯ"
МАТЕМАТИЧНI ОСНОВИ СУДНОВОДIННЯ
МЕТОДИЧНI ВКАЗIВКИ
ДО ВИКОНАННЯ ПРАКТИЧНИХ ЗАНЯТЬ
Одеса − 2019
НАЦIОНАЛЬНИЙ УНIВЕРСИТЕТ "ОДЕСЬКА МОРСЬКА АКАДЕМIЯ"
КАФЕДРА СУДНОВОДIННЯ
МАТЕМАТИЧНI ОСНОВИ СУДНОВОДIННЯ
МЕТОДИЧНI ВКАЗIВКИ
ДО ВИКОНАННЯ ПРАКТИЧНИХ ЗАНЯТЬ
для курсантiв 2 курсу ФМП і Т (зі скороченим терміном навчання)
Виконавець(і):
Астайкін Д.В., доцент; Сікірін В.Є., доцент; Фусар I.Ю., старший викладач.
Затверджено на засіданні кафедри судноводіння, як методичнi вказiвки до виконання практичних занять з дисципліни "МОС" для курсантів 2 курсу ФМП і Т (зі скороченим терміном навчання)
Протокол № 2 від 10.09.2019.
зав.каф. проф. Алексішин В.Г._____________
Одесса − 2019
СОДЕРЖАНИЕ
№ |
Название тем |
Стр. |
||
|
|
|
|
|
1. |
Практическая работа № 1. Приближенные вычисления. Правила подсчета |
2 |
– 5 |
|
цифр. Приближенные вычисления. Метод границ. |
||||
|
|
|
||
|
|
|
|
|
2. |
Практическая работа № 2. Абсолютная и относительная погрешности в |
6 |
– 9 |
|
задачах судовождения. Интерполяция (таблицы). |
||||
|
|
|
||
|
|
|
|
|
|
Практическая работа № 3. Сферические треугольники в задачах |
|
|
|
3. |
судовождения. Решение прямоугольных и четвертных сферических |
10 |
– 13 |
|
|
треугольников. |
|
|
|
|
|
|
|
|
4. |
Практическая работа № 4. Выбор оптимального маршрута судна. |
14 |
– 16 |
|
|
|
|||
|
|
|
|
|
5. |
Практическая работа № 5. Обработка равноточных и неравноточных |
|
|
|
наблюдений. |
17 |
– 22 |
||
|
||||
|
|
|
||
|
|
|
|
|
6. |
Практическая работа № 6. Расчет элементов линии положения. ОМС |
|
|
|
графически и аналитически. |
23 |
– 27 |
||
|
||||
|
|
|
||
|
|
|
|
|
7. |
Практическая работа № 7. Оценка точности обсервации эллипсом |
|
|
|
погрешностей. Эллипс погрешностей при равноточных ЛП. |
28 |
– 32 |
||
|
||||
|
|
|
||
|
|
|
|
|
8. |
Практическая работа № 8. Оценка точности обсервации круговой |
|
|
|
погрешностью |
33 |
– 34 |
||
|
||||
|
|
|
||
|
|
|
|
|
|
Приложение 1. |
|
35 |
|
|
|
|
|
|
|
Приложение 2. |
|
35 |
|
|
|
|
|
|
|
Приложение 3. |
|
36 |
|
|
|
|
|
|
|
Список литературы. |
|
37 |
|
|
|
|
|
|
ПРАКТИЧЕСКАЯ РАБОТА № 1.
1. Приближенные вычисления. Правила подсчета цифр.
Различают приближенные вычисления со строгим учетом погрешностей и без строгого учета. В менее ответственных вычислениях с приближенными числами пользуются вторым способом, основанным на так называемых правилах подсчета цифр. В этих правилах используются понятия десятичных знаков, значащих, точных и сомнительных цифр. Напомним, что десятичными знаками числа называют все его цифры, стоящие правее запятой . Например, числа 3,5 и 3,05 имеют соответственно один и два десятичных знака.
Правила подсчета цифр.
1. При сложении и вычитании приближенных чисел в результате следует сохранять столько десятичных знаков, сколько их в приближенном данном с наименьшим числом десятичных знаков.
Пример. Найти сумму приближенных чисел 127,42; 67,3; 0,12 и 3,03.
127,42
67,3
0,12
3,03
197,87 ≈ 197,9.
2. При умножении и делении приближенных чисел в результате надо сохранить столько значащих цифр, сколько их есть в данном числе с наименьшим количеством значащих цифр.
Пример. Умножить приближенные числа 3,4 и 12,32.
12,32 ∙ 3,4 = 41,888 ≈ 42.
3. При возведении приближенных чисел в квадрат и куб в результате сохраняется столько значащих цифр, сколько их в основании.
Пример. Возвести в квадрат число 2,3, возвести в третью степень число 0,8.
2,32 = 5,29 ≈ 5,3;
0,83 = 0,512 ≈ 0,5.
4.В промежуточных результатах следует брать одной цифрой больше, чем рекомендуют предыдущие правила.
5.Если некоторые данные имеют больше десятичных знаков (при действиях первой ступени) или больше значащих цифр (при действиях II и III ступеней), чем другие, то их предварительно следует округлить, сохраняя лишь одну запасную цифру.
6.Если данные можно брать с произвольной точностью, то для получения результата с k цифрами данные следует брать с таким числом цифр, которое дает согласно перечисленным правилам k + 1 цифру в результате.
Применение вычислений способом подсчета цифр рассмотрим на примере.
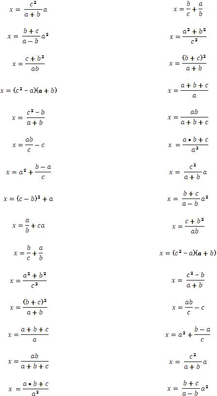
Пример. Найти значение |
, если a ≈ 9.31, b ≈ 3.1, c ≈ 2.33. |
|
a – b = 9.31 – 3.1 = 6.21, |
|
(a – b)c = 6.21 ∙ 2.33 ≈ 14.5, |
|
a + b = 9.31 + 3.1 ≈ 12.4, |
Ответ: |
x = 14.5 / 12.4 ≈ 1.2. |
2
Задания для индивидуальной работы.
По данным таблицы 1 найти значение выражения используя правила подсчета цифр.
Таблица 1 - Варианты для выполнения индивидуальных заданий
№ |
Выражение |
Значения |
№ |
Выражение |
Значения |
|||
переменных |
переменных |
|||||||
|
|
|
|
|||||
|
|
a ≈ 3,59; |
|
|
a ≈ 5,75; |
|||
1.1 |
|
b |
≈ 3,661; |
1.16 |
|
b |
≈ 4,318; |
|
|
|
|
c ≈ 3,6. |
|
|
|
c ≈ 9,4. |
|
|
|
a ≈ 9,72; |
|
|
a ≈ 9,66; |
|||
1.2 |
|
b |
≈ 9,297; |
1.17 |
|
b |
≈ 5,492; |
|
|
|
|
c ≈ 7,1. |
|
|
|
c ≈ 1,2. |
|
|
|
a ≈ 3,01; |
|
|
a ≈ 6,02; |
|||
1.3 |
|
b |
≈ 4,735; |
1.18 |
|
b |
≈ 5,147; |
|
|
|
|
c ≈ 3,7. |
|
|
|
c ≈ 2,4. |
|
|
|
a ≈ 5,12; |
|
|
a ≈ 9,35; |
|||
1.4 |
|
b |
≈ 2,297; |
1.19 |
|
b |
≈ 8,307; |
|
|
|
|
c ≈ 7,3. |
|
|
|
c ≈ 2,2. |
|
|
|
a ≈ 1,73; |
|
|
a ≈ 9,21; |
|||
1.5 |
|
b |
≈ 2,029; |
1.20 |
|
b |
≈ 9,223; |
|
|
|
|
c ≈ 9,8. |
|
|
|
c ≈ 2,7. |
|
|
|
a ≈ 1,29; |
|
|
a ≈ 2,18; |
|||
1.6 |
|
b |
≈ 9,451; |
1.21 |
|
b |
≈ 3,564; |
|
|
|
|
c ≈ 5,4. |
|
|
|
c ≈ 2,5. |
|
|
|
a ≈ 5,02; |
|
|
a ≈ 2,44; |
|||
1.7 |
|
b |
≈ 9,273; |
1.22 |
|
b |
≈ 9,498; |
|
|
|
|
c ≈ 4,8. |
|
|
|
c ≈ 1,4. |
|
|
|
a ≈ 3,05; |
|
|
a ≈ 5,54; |
|||
1.8 |
|
b |
≈ 2,918; |
1.23 |
|
b |
≈ 2,808; |
|
|
|
|
c ≈ 9,6. |
|
|
|
c ≈ 8,4. |
|
|
|
a ≈ 7,93; |
|
|
a ≈ 6,95; |
|||
1.9 |
|
b |
≈ 1,616; |
1.24 |
|
b |
≈ 5,086; |
|
|
|
|
c ≈ 9,6. |
|
|
|
c ≈ 3,2. |
|
|
|
a ≈ 3,38; |
|
|
a ≈ 7,42; |
|||
1.10 |
|
b ≈ 5,404; |
1.25 |
|
b ≈ 6,177; |
|||
|
|
|
c ≈ 8,1. |
|
|
|
c ≈ 9,3. |
|
|
|
a ≈ 7,15; |
|
|
a ≈ 8,15; |
|||
1.11 |
|
b |
≈ 8,591; |
1.26 |
|
b |
≈ 1,552; |
|
|
|
|
c ≈ 3,7. |
|
|
|
c ≈ 5,3. |
|
|
|
a ≈ 5,73; |
|
|
a ≈ 1,93; |
|||
1.12 |
|
b |
≈ 9,818; |
1.27 |
|
b |
≈ 2,725; |
|
|
|
|
c ≈ 5,5. |
|
|
|
c ≈ 5,2. |
|
|
|
a ≈ 3,41; |
|
|
a ≈ 1,77; |
|||
1.13 |
|
b |
≈ 1,646; |
1.28 |
|
b |
≈ 2,931; |
|
|
|
|
c ≈ 6,6. |
|
|
|
c ≈ 3,9. |
|
|
|
a ≈ 3,79; |
|
|
a ≈ 3,25; |
|||
1.14 |
|
b |
≈ 3,326; |
1.29 |
|
b |
≈ 5,356; |
|
|
|
|
c ≈ 3,9. |
|
|
|
c ≈ 9,5. |
|
|
|
a ≈ 7,33; |
|
|
a ≈ 6,66; |
|||
1.15 |
|
b |
≈ 7,407; |
1.30 |
|
b |
≈ 8,635; |
|
|
|
|
c ≈ 4,5. |
|
|
|
c ≈ 5,6. |
|
3