Санкт-Петербургский государственный политехнический университет Инженерно-строительный институт
Кафедра строительной механики и
строительных конструкций
Пояснительная записка к курсовому проекту
«Монолитное железобетонное ребристое
перекрытие промышленного здания»
Выполнил:
студент гр. з43101/21
Федотова С.Г.
Проверил: к.т.н., доцент каф.
СМиСК Никитин С.Е.
Санкт - Петербург
г.
Оглавление
сечение арматура плита балочное перекрытие
Введение
В настоящем курсовом проекте разрабатывается монолитное железобетонное ребристое перекрытие с балочными плитами здания с неполным каркасом.
Монолитное ребристое перекрытие состоит из железобетонной плиты, которая опирается на балочную клетку, состоящую из системы главных и второстепенных взаимно перпендикулярных балок. Плита перекрытия и балки монолитно связаны между собой, что достигается одновременным бетонированием всех элементов перекрытия.
Монолитная плита работает вдоль короткой стороны как многопролетная
неразрезная балка, опирается на второстепенные балки и монолитно связана с
ними. Второстепенные балки воспринимают нагрузку от монолитной плиты и передают
ее на главные балки, монолитно связанные с ними. Главные балки опираются на
колонны и наружные стены. Колонны и наружные стены опираются на монолитные
фундаменты
Исходные данные
1. Тип пола: пол из керамических плит по шлакобетонному утеплителю,
2. Размеры здания в плане: A=5,4 м х 3 = 16,2 м; B=6 м х 6=36 м.
3. Полезная нагрузка: 10 кН/м².
4. Этажность: 3 этажа, высота этажа 4,2 м.
5. Расчетное сопротивление грунта 160 кН/м².
1.
Компоновка балочного перекрытия и назначение основных размеров элементов
Выполним предварительное назначение габаритов элементов исходя из опыта проектирования.
Пролеты главных балок lгб принимаются равными расстояниям между осями колонн. Дли обеспечения большей жесткости каркаса главные балки расположены по меньшим пролетам и вдоль короткой стороны здания.
Из опыта проектирования высота главной балки hгб составляет:
Принимаем высоту главной балки hгб=600 мм. Ширина балок составляет 1/2…1/3 ширины:
Принимаем ширину главной балки bгб=250 мм.
Из опыта проектирования высота второстепенной балки hвб составляет:
Принимаем высоту второстепенной балки hгб=500 мм.
Принимаем ширину второстепенной балки bвб=200 мм.
Для того, чтобы свести проектирование плиты к проектированию балочной
плиты разделим участок между колоннами, равный пролету главной балки 5,4 м, на
три равные части, которые определяют пролет балочной плиты:
Высота плиты составляет:
Согласно действующим нормам [1] минимальная толщина монолитных балочных
плит междуэтажных перекрытий для производственных зданий составляет 60 мм.
Предварительно принимаем высоту плиты hпл=60 мм.
2. Проектирование балочной плиты
2.1 Статический расчет балочной плиты
Статический расчет плиты начинается с установления расчетной схемы и подсчета нагрузок. При расчете из перекрытия мысленно условно вырезается (перпендикулярно второстепенным балкам) полоса шириной один метр, которая рассматривается как многопролетная неразрезная балка, несущая постоянную и временную (полезную) нагрузки.
Постоянная нагрузка включает в себя собственный вес плиты и вес пола.
Согласно заданию на проектирование используется чистый цементный пол по
шлакобетонному перекрытию.
Рис. 1. Схема пола
Таблица 1. Сбор нагрузок на плиту перекрытия
|
Наименование нагрузки |
Нормативна я нагрузка, кН/м² |
Коэф. надежности по нагрузке |
Расчетная нагрузка, кН/м² |
|
Пол |
1,62 |
1,3 |
2,106 |
|
Плита (=2500 кг/м3; h=0,06 м) |
1,5 |
1,1 |
1,65 |
|
Постоянная нагрузка g: |
3,756 |
||
|
Временная (полезная) нагрузка p: |
10 |
1,2 |
12 |
Таким образом расчетные постоянная нагрузка составляет g = 3,756 кН/м2, временная нагрузка p = 12 кН/м2.
При обычном статическом расчете неразрезных балок предполагается шарнирное опирание их на опоры, не препятствующее повороту опорных сечений. Плита же ребристого перекрытия, будучи монолитно связанной с балками, не может свободно поворачиваться на промежуточных опорах. Это упругое защемление плиты на промежуточных опорах отражается главным образом на изгибающих моментах в сечениях средних пролетов. Для
косвенного учета упругого защемления плиты во второстепенных балках в
качестве условной расчетной и временной нагрузок принимают:
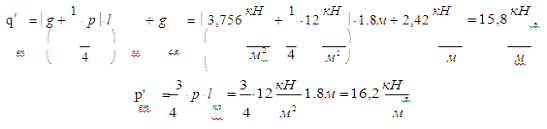
g’ = g* + 0,5 p*, p’ = 0,5 p*,
где g* = gb и p* = pb - соответственно постоянная и временная расчетные нагрузки, подсчитаны с учетом коэффициентов перегрузки, действующие на 1 п. м. балки шириной b = 1 м:* = 3,756 кН/м; p* = 12 кН/м’ = 10,432 кН/м; p’ = 6 кН/м.
Указанному перераспределению нагрузки соответствует уменьшение поворота опорных сечений, которое тем самым как бы учитывает упругое защемление плиты на опорах.
При статическом расчете плиты (балки шириной b = 1м) можно не строить эпюру М, достаточно определить моменты в пролетах и на опорах.
Моменты в плите и других элементах монолитного перекрытия определяются либо по упругой стадии, либо с учетом образования пластических шарниров. Для перекрытий промышленных сооружений, подверженных действию динамических нагрузок, можно рекомендовать расчет по упругой стадии. В этом случае при равных пролетах неразрезной балки или пролетах, отличающихся друг от друга не более чем на 10%, изгибающие моменты можно определить с помощью готовых таблиц. В противном случае, если пролеты отличаются друг от друга более, чем на 10%, необходимо пользоваться общими методами строительной механики.
Если пролетов более пяти, то моменты в крайних пролетах (первом и
последнем) определятся как моменты в первом пролете пятипролетной балки;
моменты во вторых от края пролетах - втором и предпоследнем - как моменты во
втором пролете, а во всех промежуточных - как в среднем (третьем) пролете
пятипролетной балки. Аналогично определяются изгибающие моменты на опорах.
Рис. 3. Общий вид балочной плиты.
Рис. 4. Расчетная схема пятипролетной балки
Таким образом, в плите с пятью пролетами и более необходимо найти пять значений изгибающих: М1, М2, М3, МВ, МС.
Моменты М1, М2, М3 - наибольшие положительные моменты (Мmax) соответственно в 1, 2 и 3-м пролетах, а моменты МВ и МС - наибольшие отрицательные моменты (Мmin) соответственно на 2 и 3-й опорах. Значения этих моментов определяют с учетом невыгоднейшего расположения временной нагрузки. Схемы невыгоднейшего расположения нагрузки устанавливаются с помощью линий влияния.
Изгибающие моменты в расчетных сечениях определим из формулы
где: a* - коэффициенты влияния от действия постоянной нагрузки g’;
b* - коэффициенты влияния от действия временной полезной
нагрузки p’.
Таблица 2. Расчет изгибающих моментов в плите
|
Сечение |
Схема загружения |
a* |
a*·g’·l2пл, кН·м |
b* |
b*·p’·l2пл, кН*м |
M = Mg’ + Mp’, кН·м |
|
1 |
1 |
0,0779 |
2,63 |
0,0989 |
1,92 |
4,56 |
|
2 |
2 |
0,0329 |
1,11 |
0,0789 |
1,53 |
2,65 |
|
3 |
1 |
0,0461 |
1,56 |
0,0855 |
1,66 |
3,22 |
|
B |
3 |
-0,1053 |
-3,56 |
-0,1196 |
-2,33 |
-5,88 |
|
Вгр |
|
|
|
|
|
-4,41 |
|
C |
4 |
-0,0799 |
-2,70 |
-0,1112 |
-2,16 |
-4,86 |
|
Сгр |
|
|
|
|
|
-3,38 |
Выполним расчет значений изгибающих моментов на гранях второстепенных
балок. Это делается потому, что над ребрами перекрытия в работу включается
часть ребра. Моменты над гранями ребер можно приближённо рассчитать по формуле:
Например, для ребра B граневый момент равен:
Для плиты монолитного ребристого перекрытия примем бетон класса(Rb = 14,5 МПа) и арматуру класса Вр-I (Rs = 415 МПа).
Полезную высоту плиты уточним по наибольшему пролетному или моменту на
грани опоры. Задавшись процентом армирования µ=0,75%, исходя из оптимального
процента армирования µ=0,6..0,9%, определим относительную высоту сжатой зоны:
Соответствующее значение A0=0,203.
Из пяти найденных расчетных моментов наибольший по абсолютной величине
момент возникает на опоре В. Определим полезную высоту плиты и полную высоту
плиты по соответствующему граневому моменту:
Общая высота плиты hпл составит:
h = h0 + a = 39 мм+20 мм = 59 мм где a = 20 мм толщина защитного слоя бетона.
Полученную толщину плиты округлим до целого значения в большую сторону и
получим hпл = 60 мм. Эту
толщину плиты сохраним во всех пролетах.
Таблица 3. Расчет армирования плиты
|
Сечение |
М, кН·м |
h0=h-a, м |
Ао |
h |
As расч.. мм2 |
Сортамент |
As факт, мм2 |
m% |
|
1 |
4,56 |
0,04 |
0,196 |
0,89 |
308 |
20Æ5 |
392 |
0,653 |
|
2 |
2,65 |
|
0,114 |
0,94 |
170 |
12Æ5 |
235,2 |
0,392 |
|
3 |
3,22 |
|
0,139 |
0,925 |
210 |
12Æ5 |
235,2 |
0,392 |
|
Вгр |
-4,41 |
|
0,190 |
0,893 |
297 |
20Æ5 |
392 |
0,653 |
|
Сгр |
-3,38 |
|
0,146 |
0,92 |
222 |
12Æ5 |
235,2 |
0,392 |
Пример расчет для пролета 1:
Расчетная площадь армирования As:

3. Расчет второстепенных и главных балок
Второстепенные балки ребристого перекрытия представляют собой многопролетные неразрезные балки. Нагрузка на них передается от плиты, причем при подсчете нагрузок неразрезностью плиты пренебрегаем.
С целью учета упругого защемления второстепенных балок на опорах
(вследствие жесткого сопряжения с главными балками) четверть временной нагрузки
p присоединятся к постоянной g (табл. 1):
Где gс.в.- собственный
вес второстепенной балки с учетом коэффициента перегрузки n:
Результирующие усилия определяются по формулам:
и заносятся в таблицы 4 и 5.
Граничные усилия на обрезах главных балок, по аналогии с плитой,
определяются:
Ввиду опирания крайнего пролета второстепенной балки на кирпичную стенку
его пролет определяется:
Таблица 4. Расчет изгибающих моментов M во второстепенной балке
|
x/l |
Влияние q |
Влияние p |
Расчетные моменты |
|||||
|
|
* |
Mq, кН·м |
*max |
*min |
Mpmax, кН·м |
Mpmin, кН·м |
Mmax, кН·м |
Mmin, кН·м |
|
0,2 |
0,0589 |
33,50 |
0,0695 |
-0,0105 |
42,03 |
-6,35 |
75,54 |
27,15 |
|
0,4 |
0,0779 |
44,31 |
0,0989 |
-0,0211 |
59,81 |
-12,76 |
104,12 |
31,55 |
|
0,6 |
0,0568 |
32,31 |
0,0884 |
-0,0316 |
53,46 |
-19,11 |
85,77 |
13,20 |
|
0,8 |
-0,0042 |
-2,39 |
0,0381 |
-0,0423 |
23,04 |
-25,58 |
20,65 |
-27,97 |
|
0,9 |
-0,0497 |
-28,27 |
0,0183 |
-0,0680 |
11,07 |
-41,13 |
-17,20 |
-69,40 |
|
1 |
-0,1053 |
-59,89 |
0,0144 |
-0,1196 |
8,71 |
-72,33 |
-51,19 |
-132,23 |
|
1гр |
|
|
|
|
|
|
|
-120,00 |
|
1,1 |
-0,0576 |
-32,76 |
0,0140 |
-0,0717 |
8,47 |
-43,36 |
-24,30 |
-76,13 |
|
1,2 |
-0,0200 |
-11,38 |
0,0300 |
-0,0500 |
18,14 |
-30,24 |
6,77 |
-41,62 |
|
1,4 |
0,0253 |
14,39 |
0,0726 |
-0,0474 |
43,91 |
-28,67 |
58,30 |
-14,28 |
|
1,5 |
0,0328 |
18,66 |
0,0789 |
-0,0461 |
47,72 |
-27,88 |
66,38 |
-9,22 |
|
1,6 |
0,0305 |
17,35 |
0,0753 |
-0,0447 |
45,54 |
-27,03 |
62,89 |
-9,69 |
|
1,8 |
-0,0042 |
-2,39 |
0,0389 |
-0,0432 |
23,53 |
-26,13 |
21,14 |
-28,52 |
|
1,9 |
-0,0366 |
-20,82 |
0,0280 |
-0,0646 |
16,93 |
-39,07 |
-3,88 |
-59,89 |
|
2 |
-0,0799 |
-45,45 |
0,0323 |
-0,1112 |
19,54 |
-25,91 |
-112,70 |
|
|
2гр |
|
|
|
|
|
|
|
-100,48 |
|
2,1 |
-0,0339 |
-19,28 |
0,0293 |
-0,0633 |
17,72 |
-38,28 |
-1,56 |
-57,57 |
|
2,2 |
0,0011 |
0,63 |
0,0416 |
-0,0405 |
25,16 |
-24,49 |
25,79 |
-23,87 |
|
2,4 |
0,0411 |
23,38 |
0,0855 |
-0,0385 |
51,71 |
-23,28 |
75,09 |
0,09 |
|
2,5 |
0,0461 |
26,22 |
0,0895 |
-0,0395 |
54,13 |
-23,89 |
80,35 |
2,33 |