Утверждение доказано.
Перепишем
условие:
в виде ограничения в форме конуса второго порядка:
Как
уже было показано ранее, ![]()
является
нормой ![]()
,
следовательно задача принимает вид:

Что можно считать задачей с ограничением в виде конуса второго порядка.
Введем
функцию ![]()
,
Заметим,
что ограничение ![]()
является
ограничением в виде конуса. Обозначим множество, удовлетворяющее данному
условию ![]()
.
Нетрудно понять, что это множество является правильным конусом, т.к. оно
выпукло, замкнуто, имеет внутренние точки, и из того, что ![]()
следует,
что ![]()
;
Введем
функцию ![]()
Тогда
поставленную задачу можно переписать в следующем виде:

(3)
Где
![]()
, что
является задачей оптимизации с ограничениями в виде конусов. Для дальнейшего
изучения задачи докажем несколько утверждений.
Утверждение 3
Множество:
является правильным конусом.
Для
доказательства этого утверждения проверим выполнение свойств, характеризующих
множество ![]()
как
правильный конус.
.
Выпуклость ![]()
можно
доказать по определению. Если
то
так как
.
Докажем, что ![]()
-
замкнутое множество. Рассмотрим сходящуюся последовательность ![]()
: ![]()
, где ![]()
.
Пусть
![]()
, ![]()
Предположим,
что ![]()
, т.е. ![]()
. Из
сходимости ![]()
следует,
что
![]()
.
Следовательно
для некоторого небольшого ![]()
существует
натуральное ![]()
выполнено
![]()
. Но ![]()
,
следовательно ![]()
, таким
образом: ![]()
, т.е. ![]()
,
следовательно ![]()
не
сходится к ![]()
,
следовательно ![]()
не
сходится к ![]()
.
Получаем противоречие. Значит наше предположение, что ![]()
неверно,
значит ![]()
, т.е.
множество содержит все свои предельные точки, значит оно замкнуто.
.
Понятно, что ![]()
имеет
внутренние точки, если существуют ![]()
. Такие
точки, очевидно, существуют.
![]()
, но тогда ![]()
может
принадлежать конусу ![]()
, только
если ![]()
, что
означает, что и ![]()
.
Таким
образом, выполняются все необходимые свойства характеризующие конус ![]()
как
правильный конус. Утверждение доказано.
Утверждение 4.
Функция
![]()
является
![]()
-выпуклой.
Для
этого покажем, что
![]()
.
Распишем
отдельно левую и правую часть неравенства:

Таким
образом,
![]()
,
значит
и
функция ![]()
является
![]()
-выпуклой.
Утверждение доказано.
Из
предыдущих пунктов становится понятно, что для того, чтобы в задаче (3)
выполнялось условие Слейтера необходимо, чтобы существовал такой вектор ![]()
, что
Иначе говоря, требуется, чтобы множество допустимых точек имело хоть одну внутреннюю точку. Воспользуемся Утверждением 1, чтобы сформулировать утверждение об условии Слейтера для задачи (3).
Утверждение 5.
В
задаче (3) выполняется условие Слейтера, если ![]()
Где
![]()
Опираясь
на все доказанные в предыдущих пунктах утверждения, сформулируем необходимые и
достаточные условия существования решения для задачи (3). Из теоремы о
необходимых и достаточных условиях решения задачи оптимизации с ограничением в
виде конусов следует, что если в задаче выполнено условие Слейтера, то ![]()
является
решением задачи тогда и только тогда, когда существуют ![]()
, которые
вместе с ![]()
удовлетворяют
условиям Каруша-Куна-Таккера. Ранее было показано в каких случаях выполняется
условие Слейтера в задаче (3). Для того, чтобы определить условия
Каруша-Куна-Таккера, выпишем функцию Лагранжа.
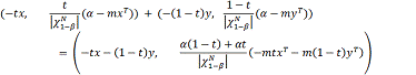
Одним
из условий ККТ является равенство нулю градиента функции Лагранжа по ![]()
,
следовательно:
Теперь, объединяя полученные результаты, сформулируем теорему о необходимых и достаточных условиях существования решения задачи (3).
Теорема 1(о необходимых и достаточных условиях существования решения задачи (3)).
Если
в задаче (3) ![]()
, то ![]()
является
решением задачи тогда и только тогда, когда существуют ![]()
,
которые вместе с ![]()
удовлетворяют
условиям Каруша-Куна-Таккера:
Где
![]()
.
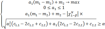
Рассмотрим
случай n=2. Начнем с
исследования множества допустимых значений. Вектор распределения денежных
средств ![]()
. Тогда
исходная задача примет вид:
Где
![]()
-
элементы матрицы ковариаций.
На
граничных точках неравенство будет принимать вид: ![]()
и ![]()
в точках
![]()
соответственно.
Стоит заметить, что если выполнено: ![]()
, то весь
отрезок [0,1] является допустимым, а значит, в силу линейности целевой функции,
оптимальный портфель будет (1,0) либо (0,1) в зависимости от знака ![]()
.
Очевидно, что такой пример не представляет научного интереса. Подберем такие
параметры, чтобы не все множество ![]()
являлось
допустимым. Рассмотрим задачу, где матрица ковариаций имеет вид: ![]()
, вектор
математических ожиданий доходностей активов ![]()
,
параметр ![]()
. Будем
измерять параметр ![]()
и
следить за тем, как меняется вектор ![]()
.
Начальным значением параметра ![]()
выберем 0,735.
Далее, будем увеличивать это значение на 0,005. Ниже приведены результаты
численного решения данной задачи.