Задача нахождения оптимального инвестиционного портфеля, впервые сформулированная во второй половине XX-го века, является объектом изучения портфельной теории Марковица. Несмотря на сравнительную новизну теории, за короткое время она приобрела такую популярность, что сейчас уже сложно найти область инвестирования, в которой бы она не использовалась. Основным принципом подхода Марковица является рандомизация доходностей и рисков инвестиционного портфеля, что позволяет построить математическую модель задачи. В настоящее время задача оптимального инвестирования насчитывает немалое количество формулировок, таких как наличие или отсутствие коротких продаж, т.е. возможность брать денежные суммы в долг, ограничения на среднюю доходность или же отсутствие такового, минимизация риска при фиксированной средней доходности и т.д. Все это свидетельствует об актуальности и значимости проблемы оптимального инвестирования для современного общества и является поводом для более подробного исследования методов ее решения. Очевидно, что в экономике фирмы необходимость решения задачи о распределении денежных средств между активами появляется постоянно. Одним из типов задачи инвестирования является многошаговый вариант, в котором подразумевается, что инвестиции производятся многократно на протяжении длительного периода времени. Решение такой задачи способно существенно увеличить конкурентное преимущество фирмы, обеспечив ей стабильность в долгосрочной перспективе. В век информационных технологий на практике подавляющее большинство задач решаются с помощью численных методов специально разработанными для этого программами и математическими пакетами. Более глубокое изучение задачи поможет не только найти решение аналитически, но и, возможно, значительно упростит алгоритм численного нахождения решения.
Целью данной работы является исследование задачи нахождения оптимального инвестиционного портфеля в случае, когда суммарный возврат инвестиций является случайной нормально распределенной величиной. В силу разнообразия формулировок задачи инвестирования, само понятие оптимального портфеля требует уточнения. Существует два подхода к выбору наилучшего портфеля. Первый метод - выбор эффективных решений, когда один из портфелей лучше другого по некоторому критерию только в том случае, если по другому параметру этот портфель хуже. Второй метод - определение ведущего критерия и его максимизация, при некоторых условиях, наложенных на оставшиеся параметры. В данной работе будет использоваться второй подход. Таким образом, в качестве главного критерия будет выбрана средняя доходность инвестиционного портфеля, а риск отклониться от среднего значения будет параметром, на который накладываются дополнительные условия.
В соответствии с описанной целью были поставлены следующие задачи:
. Построение математической модели задачи. Обзор существующих методов решения поставленной задачи.
.Анализ применения метода конусного программирования к поставленной задаче. Формулировка необходимых и достаточных условий оптимальности инвестиционного портфеля. Изучение множества допустимых точек, формулировка и доказательство критерия их существования.
.Исследование задачи с использованием численных методов решения. Анализ
множества допустимых точек в тривиальном случае инвестиционного портфеля с
двумя активами.
Задача
нахождения оптимального портфеля ценных бумаг при условии, что возвращающаяся
сумма является случайной нормально распределенной величиной, формулируется
следующим образом. На рынке имеется n-ое
количество ценных бумаг. У инвестора в распоряжении имеется некоторый начальный
капитал ![]()
, который
распределяется между активами. Пусть![]()
- вектор
долей вложенного капитала, т.е. ![]()
- доля
начального капитала, которая вложена в i-ый актив.
Таким образом, ![]()
. При
этом ![]()
.
Доходностью i-ого актива будем называть выручку в следующий период
времени, полученную с одной денежной единицы, вложенной в этот актив. Будем
считать, что доходности ценных бумаг являются случайными величинами. Обозначим
вектор доходностей как ![]()
.
Полагается, что известны математические ожидания доходностей ценных бумаг![]()
, где ![]()
-
математическое ожидание доходности i-того актива, и матрица
ковариаций ![]()
. Для
удобства, будем считать, что матрица ковариаций является положительно
определенной. Наложим следующее ограничение на вектор распределения денежных
средств:
![]()
,
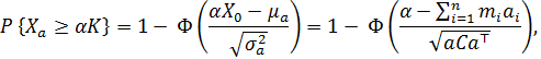
где
![]()
-
суммарный доход инвестора. Иными словами, будем требовать, чтобы суммарный
доход с вероятностью ![]()
превышал
некоторое значение ![]()
,
определяющееся параметром ![]()
.
Основной задачей является нахождение портфеля с максимальным математическим
ожиданием суммарного дохода, удовлетворяющего при этом описанным ранее
условиям. Такой портфель будем считать оптимальным. Очевидно, что
математическое ожидание суммарного дохода в наших обозначениях можно
представить таким образом: ![]()
. В таком
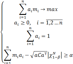
случае, математическая модель данной задачи имеет следующий вид:
![]()
является
целевой функцией задачи от вектора ![]()
,
условия, накладываемые на этот вектор, являются ограничениями задачи. Множество
векторов ![]()
,
удовлетворяющих заданным ограничениям будем называть допустимым множеством
задачи.
Обзор существующих методов решения поставленной задачи
Задача поиска оптимального портфеля с описанными выше ограничениями классифицируется как задача нелинейного программирования. В теории оптимизации существует ряд методов, используемых для решения подобного рода задач, но в нашем случае следует выделить следующие два:
Первым
методом является классический метод решения задачи выпуклого программирования с
использованием функции Лагранжа и теоремы Куна-Таккера. Трудность данного
метода заключается в том, что для начала необходимо доказать, что задача
действительно является задачей выпуклого программирования, для этого нужно
переформулировать условие ![]()
таким
образом, чтобы функция в левой части неравенства была выпуклой, кроме этого
требуется доказать, что допустимое множество также является выпуклым. Именно с
этой целью вводится допущение, что суммарная доходность портфеля является
случайной величиной с нормальным распределением. В виду сложности функции
ограничения, затруднительным также может оказаться вычисление частных
производных функции Лагранжа, что необходимо для использования теоремы
Куна-Таккера. Данный метод является самым распространенным и досконально
изученным, в связи с чем не представляет научного интереса.
Вторым
методом является решение исходной задачи как задачи конусного программирования.
Для его использования необходимо доказать, что ограничения на допустимое
множество представимы в виде конусов в ![]()
.
Преимущество данного метода в том, что используя теоремы из теории выпуклого
программирования и несколько утверждений из теории двойственности, можно
сформулировать необходимые и достаточные условия оптимальности портфеля, но уже
в терминах конусного программирования, что значительно упрощает вид этих
условий. Трудность метода заключается в том, чтобы свести условие ![]()
к
ограничению в виде конуса. На самом деле, нетрудно показать, что это условие
является конусом второго порядка. Самым трудоемким пунктом решения задачи
является переход от задачи с ограничением такого типа к задачи конусного
программирования, а затем применение утверждений из теории двойственности. Оба
изложенных метода будут рассмотрены в следующей главе.
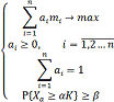
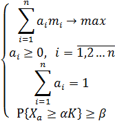
В предыдущей главе, построив математическую модель мы сформулировали
задачу оптимального инвестирования таким образом:
Приведем несколько определений, знание которых потребуется в дальнейшем.
Пусть задана следующая задача оптимизации:

(1)
Где
![]()
-
переменная, по которой производится оптимизация. Будем говорить, что задача (1)
является выпуклой если ![]()
, ![]()
-
выпуклые функции, ![]()
.
Говорится,
что в выпуклой задаче (1) выполнено условие Слейтера, если существует такой ![]()
, что
![]()
, ![]()
.
Теперь
приведем ограничения в исходной задаче к виду выпуклых функций от вектора ![]()
.
Используя предположение, что суммарный возврат - это нормально распределенная
случайная величина, производим следующий переход:
где
![]()
-
математическое ожидание суммарного дохода, при распределении начального
капитала в соответствии с вектором долей ![]()
, а ![]()
-
среднее квадратичное суммарного дохода.
Таким образом,
где
![]()
-
квантиль стандартного нормального распределения. Логично предположить, что ![]()
близок к
единице, в силу того, что инвестору предпочтительней, чтобы вероятность
получить определенную часть дохода была больше. Известно, что при ![]()
, ![]()
, а
значит и в нашем случае квантиль является отрицательной величиной. Тогда
исходная задача эквивалентна данной:
Докажем, что эту задачу можно интерпретировать как задачу выпуклого программирования.
Заметим,
что функция ![]()
,
задающая одно из ограничений, является вогнутой функцией. Член ![]()
является
линейной функцией от вектора ![]()
,
следовательно для доказательства вогнутости функции ![]()
,
остается показать, что ![]()
является
выпуклой функцией от вектора ![]()
.
Вспомним, что матрица ковариаций является положительно определенной
симметричной матрицей, значит ее можно представить в виде: ![]()
, где
матрица ![]()
также
симметрична и неотрицательно определена. В таком случае,
![]()
,
в
силу симметричности матрицы ![]()
. Но это
есть ни что иное, как евклидова норма вектора ![]()
.
Следовательно должно выполнятся неравенство треугольника, значит ![]()
:
![]()
= ![]()
.
Таким
образом, функция ![]()
является
выпуклой, откуда следует, что функция ![]()
вогнута.
Заметим,
что ограничения ![]()
, можно
также интерпретировать как ![]()
вогнутых
функций. Помимо прочего, целевая функция является линейной, а значит она тоже
является вогнутой. Тогда можно переписать исходную задачу в следующем виде: