Требуется: 1. Провести тестирование ряда на постоянство математического ожидания и дисперсии с помощью параметрических тестов на основе: А) критерия Стьюдента;
Б) критерия Фишера;
В) критерия Кокрена;
Г) критерия Бартлетта.
. Провести тестирование ряда на постоянство математического ожидания и дисперсии с помощью следующих непараметрических тестов:
А) Манна-Уитни;
Б) Вальда-Вольфовитца;
В) Сиджела-Тьюки.
Решение:
.
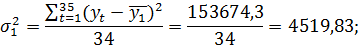
А) Ряд разбивается на две части, в первую из которых войдут наблюдения с 1 по 35, а во вторую - с 36 по 60.
Определение математических ожиданий:
Расчет дисперсий:
Расчетное значение критерия Стьюдента определяется по формуле:
Так как
то гипотеза о постоянстве математического ожидания
принимается.
Б) Расчет отношения дисперсий:
Полученное значение сравнивается с табличным значением критерия Фишера с 34 и 24 степенями свободы.
)
Из данного неравенства следует, что гипотеза о постоянстве дисперсии отвергается с вероятностью ошибиться 0,05.
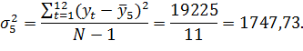
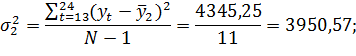
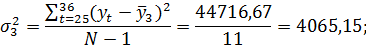
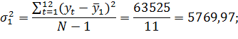
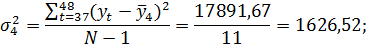
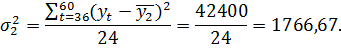
В) Разбиваем ряд на пять равных по количеству наблюдений подвыборок. N - число наблюдений в подвыборке (N = 12). Для каждой из подвыборок
рассчитывается дисперсия.
Статистика критерия Кокрена определяется следующим образом:
Расчет критического значения:
Поскольку расчетное значение меньше критического значения, нельзя отвергнуть гипотезу о постоянстве дисперсии.
Расчет средних значений для подвыборок:
Расчет дисперсий:
Расчет общей дисперсии:
Расчет критерия Бартлетта:
Статистика критерия Бартлетта имеет распределение
с 2 степенями свободы.
6,083<7,378=
(0,975;2), поэтому гипотеза о постоянстве дисперсии
принимается.
.
А) Для проведения теста Манна-Уитни данные делятся на две подвыборки, в первую из которых войдут наблюдения с 1 по 35, а во вторую - с 36 по 60. Элементы выборки сортируются по возрастанию, запоминая, к какой из подвыборок они относятся (табл.2).
стационарный временный ряд математический
Таблица 4.2
|
Отсортированные значения ряда |
Принадлежность к подвыборке |
Ранги критерия Манна-Уитни |
Ранги критерия Сиджела-Тьюки |
|
115 |
1 |
1 |
1 |
|
125 |
1 |
2 |
3 |
|
170 |
2 |
3 |
5 |
|
175 |
1 |
4 |
7 |
|
175 |
2 |
5 |
9 |
|
180 |
2 |
6 |
11 |
|
185 |
1 |
7 |
13 |
|
190 |
1 |
8 |
15 |
|
190 |
2 |
9 |
17 |
|
200 |
1 |
10 |
19 |
|
205 |
1 |
11 |
21 |
|
205 |
2 |
12 |
23 |
|
215 |
2 |
13 |
25 |
|
220 |
1 |
14 |
27 |
|
220 |
2 |
15 |
29 |
|
225 |
1 |
16 |
31 |
|
225 |
1 |
17 |
33 |
|
225 |
2 |
18 |
35 |
|
225 |
2 |
19 |
37 |
|
225 |
2 |
20 |
39 |
|
235 |
1 |
21 |
41 |
|
240 |
1 |
22 |
43 |
|
240 |
2 |
23 |
45 |
|
245 |
2 |
24 |
47 |
|
250 |
1 |
25 |
49 |
|
250 |
1 |
26 |
51 |
|
250 |
1 |
27 |
53 |
|
250 |
1 |
28 |
55 |
|
250 |
2 |
29 |
57 |
|
255 |
1 |
30 |
59 |
|
260 |
2 |
31 |
60 |
|
265 |
2 |
32 |
58 |
|
270 |
2 |
33 |
56 |
|
270 |
2 |
34 |
54 |
|
270 |
2 |
35 |
52 |
|
275 |
1 |
36 |
50 |
|
275 |
1 |
37 |
48 |
|
275 |
2 |
38 |
46 |
|
275 |
2 |
39 |
44 |
|
280 |
1 |
40 |
42 |
|
285 |
1 |
41 |
40 |
|
285 |
1 |
42 |
38 |
|
285 |
1 |
43 |
36 |
|
285 |
2 |
44 |
34 |
|
290 |
1 |
45 |
32 |
|
290 |
2 |
46 |
30 |
|
295 |
1 |
47 |
28 |
|
295 |
1 |
48 |
26 |
|
295 |
2 |
49 |
24 |
|
300 |
1 |
50 |
22 |
|
310 |
2 |
51 |
20 |
|
320 |
1 |
52 |
18 |
|
320 |
1 |
53 |
16 |
|
320 |
2 |
54 |
14 |
|
355 |
1 |
55 |
12 |
|
355 |
1 |
56 |
10 |
|
355 |
1 |
57 |
8 |
|
370 |
1 |
58 |
6 |
|
370 |
1 |
59 |
4 |
|
400 |
1 |
60 |
2 |
Сумма рангов для элементов первой подвыборки равна 1148.
Статистика критерия Манна-Уитни имеет стандартное нормальное распределение. Значение квантиля стандартного нормального распределения для уровня значимости α=0,05 равно 1,96. Так как -1,96≤z≤1,96, то нулевая гипотеза о постоянстве математического ожидания не отклоняется.
Б) При тестировании по критерию Вальда-Вольфовитца, производится сортировка всех элементов выборки по их возрастанию и определяется медиана:
Возвращаясь к исходному ряду, рассчитывается разность между каждым элементом и медианой. Напротив элемента меньшего медианы ставится знак « - », в противном случае - «+».
Полученные данные записываем в таблицу 3:
Таблица 4.3
|
1- |
2+ |
3- |
4+ |
5- |
6+ |
7+ |
8- |
9+ |
10- |
11+ |
12- |
13+ |
14- |
|
16- |
17+ |
18+ |
19- |
20+ |
21- |
22+ |
23- |
24+ |
25- |
26+ |
27- |
28- |
29- |
|
31- |
32+ |
33+ |
34+ |
35- |
36+ |
37- |
38+ |
39- |
40+ |
41- |
42+ |
43- |
44+ |
|
46+ |
47- |
48+ |
49- |
50+ |
51- |
52+ |
53+ |
54- |
55+ |
56- |
57- |
58- |
59+ |
Общее число серий v=51,
протяженность самой длинной серии
. Рассчитаем:
Так как v>[23,47]=23, а
, то согласно критерию
Вальда-Вольфовитца нельзя отклонить гипотезу о постоянстве математического
ожидания.
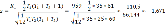
В) По критерию Сиджела-Тьюки выборка разбивается на две подвыборки, в первую из которых входит 35 наблюдений, во вторую - 25. Элементы всей выборки сортируются в порядке возрастания. Ранги составляются следующим образом: 1 - наименьшему элементу, 2 - наибольшему, 3 - следующему за наименьшим, 4 - следующему за наибольшим и т.д.
Просуммируем ранги, присвоенные элементам первой подвыборки, получим 959.
Рассчитаем:
Статистика критерия Сиджела-Тьюки имеет стандартное нормальное
распределение. Значение квантиля стандартного нормального распределения для
уровня значимости α=0,05 равно 1,96. Так как -1,96≤z≤1,96, то нулевая гипотеза о
постоянстве дисперсии не отклоняется.
В настоящее время в эконометрической науке значительное внимание уделяется анализу экономических временных рядов. Это вызвано тем, что далеко не всегда значения временного ряда формируются под воздействием некоторых факторов.
Зачастую протекание разных процессов определяется его внутренними закономерностями, а отклонения от детерминированного процесса вызываются наличием ошибок при измерениях или случайными флуктуациями.
Для оценки поведения временных рядов основной аспект заключается в точном описании и адекватном моделировании их структуры.
Цели таких исследований гораздо шире собственно моделирования, хотя модель временного ряда способна предоставить определенную информацию. Основываясь на рассчитанных параметрах модели можно делать предположения и строить гипотезы о выполнении тех или иных экономических законов (скажем, закона паритета покупательной способности).
Построенная модель временного ряда, как правило, применяется для экстраполяции или прогнозирования временного ряда, и тогда качество прогноза может служить полезным критерием при выборе среди нескольких моделей.
Построение моделей временного ряда хорошего качества необходимо и для
других приложений, таких, как корректировка сезонных эффектов и сглаживание.
Наконец, построенные модели могут использоваться для статистического
моделирования длинных рядов наблюдений при исследовании больших систем, для
которых временной ряд рассматривается как входная информация.
1. Кремер Н. Ш., Путко Б. А. Эконометрика: Учебник для вузов. - М.: ЮНИТИ-ДАНА, 2008
. Практикум по эконометрике: Учебн. пособие / Под ред. И.И. Елисеевой. - М.: Финансы и статистика, 2009
. Тихомиров Н.П., Дорохина Е.Ю. Эконометрика / Учебник. - М.: Изд-во Рос. экон. акад., 2008
. Эконометрика. Учебник. Под ред. Елисеевой И.И. М., Финансы и статистика, 2010