Материал: Модели стационарных временных рядов

Внимание! Если размещение файла нарушает Ваши авторские права, то обязательно сообщите нам

Если оказывается справедливым соотношение

К< К(p*, п,n1), (2.16)

то гипотеза о постоянстве дисперсии временного ряда уt, t=1,2,..., Т принимается с вероятностью p*.

Более мощным по сравнению с критерием Кокрена, но и одновременно более чувствительным по отношению к отклонениям от нормального вида закона распределения значений временного ряда уt, t=1,2,...,Т является критерий Бартлетта. Этот критерий обычно используется при проверке гипотезы о постоянстве дисперсии нормально распределенного ряда при разбиении на интервале (1,Т) на число частей, превышающее два.

Критерий Бартлетта основан на использовании распределения Пирсона - c2. Согласно этому критерию случайная величина l, рассчитанная на основе следующего выражения:


Где n - оценка дисперсии на i-м интервале;

 - средняя дисперсия на п интервалах;

ni=Ti-1 - число степеней свободы на i-м интервале.

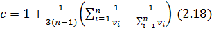
Величина с рассчитывается согласно следующей формулы:

 

При больших значениях ni , с »1.

Для частного случая, когда n1=n2=...=nn=n и, таким образом, =T-n,


где с=1+[(n+1)/3k×n].

Если расчетное значение l не превышает табличного значения c2(p*,n), где p* - уровень доверительной вероятности и n=п-1 - число степеней свободы, то гипотеза о равенстве дисперсий s12 =s22=...=s2 на рассматриваемых частях временного интервала (1,Т), т. е. гипотеза о постоянстве дисперсии временного ряда уt, t=1,2,..., Т принимается. В противном случае, когда l³c 2 (p* , п -1), эта гипотеза отвергается.

.3 Тестирование коэффициентов автокорреляции

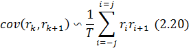
Для проверки гипотезы о постоянстве коэффициентов автокорреляции используются те же процедуры (критерии), что и для проверки аналогичных гипотез для средних (автокорреляция) и дисперсии (автоковариация). К результатам такой проверки следует относиться с определенной осторожностью, особенно при использовании критерия Стьюдента. Это обусловлено тем, что дисперсии выборочных коэффициентов автокорреляции определяются с достаточно большой погрешностью, которая увеличивается с ростом значений самого коэффициента автокорреляции. Рост погрешности вызван, прежде всего, усиливающимися в этой ситуации несимметричностью закона распределения выборочного коэффициента автокорреляции и его расхождением с нормальным распределением. Увеличивает погрешность и возрастающая с увеличением значений выборочных коэффициентов автокорреляции ковариационная связь между ними. В частности, Бартлетт показал, что между парами выборочных коэффициентов автокорреляции существует достаточно сильная статистическая связь. Ее величина при больших задержках приблизительно может быть оценена на основании следующего выражения:


где ri - значений i-го выборочного коэффициента автокорреляции.

Наличие такой связи может вносить существенные смещения в оценки значений, как самих коэффициентов автокорреляции, так и в их дисперсии.

В общем случае, величина дисперсии коэффициента автокорреляции может быть оценена с использованием формулы Бартлетта:


где индекс j зависит от длины ряда Т.

Его величина определяется требованием статистической достоверности используемых в выражении (2.21) значений коэффициентов автокорреляции, в первую очередь, значений .

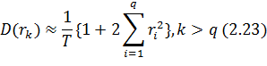
Для реальных временных рядов автокорреляционная функция часто имеет вполне определенный вид. Коэффициенты автокорреляции могут быть равны нулю после некоторой задержки, т. е. ri=0, i>k, затухать по экспоненте, rk=rik. В последнем случае, например, дисперсия первого коэффициента автокорреляции может быть определена приблизительно по следующей формуле:


При небольших значениях коэффициента автокорреляции его распределение является приблизительно нормальным. Его дисперсия в этом случае может быть приблизительно оценена по следующей формуле:


где индексы k принадлежат приближающимся к нулю коэффициентам автокорреляции после некоторой задержки q.

В практических расчетах используют упрощенную формулу дисперсии коэффициентов, имеющую следующий вид:


Выражения (2.23) и (2.24) могут быть применены при определении значимости (отличности от нуля) коэффициентов автокорреляции с использованием критерия Стьюдента. Его значение рассчитывается на основании следующей формулы:


3. НЕПАРАМЕТРИЧЕСКИЕ ТЕСТЫ СТАЦИОНАРНОСТИ


Параметрические критерии проверки стационарности достаточно неудобны в практических исследованиях и весьма ограничены в применении из-за своих достаточно строгих предположений относительно нормальности закона распределения временного ряда уt, t=1,2,... . Они требуют значительных вычислений.

На практике при проверке свойств стационарности процессов часто используются непараметрические критерии, которые не имеют подобных ограничений по закону распределения временного ряда уt, да и не столь сложны по своим вычислениям.

.1 Тест Манна-Уитни (тестирование математического ожидания)

Вместо критерия Стьюдента может быть использован непараметрический критерий Манна-Уитни (критерий и*). Он чуть слабее критерия Стьюдента в случае временных рядов с нормальным распределением, однако, имеет неоспоримые преимущества по сравнению с параметрическими критериями в случае, если распределение временного ряда отличается от нормального.

Критерий и* применяется для проверки идентичности распределений двух совокупностей (в нашем случае, временных последовательностей одного временного ряда уt, определенных на разных временных частях интервала t=1,..., Т).

Предположим, что первая совокупность образована Т1 последовательными значениями уt, а вторая - Т2 его последовательными значениями, и эти последовательности не пересекаются.

Все значения этих совокупностей объединяются в один ряд, в котором они располагаются в порядке возрастания с первого по (Т12)-й вне зависимости от принадлежности к той или иной последовательности. Вместе с тем, в этой единой последовательности символом у1 отмечаются элементы первой последовательности, а символом у2 - второй. В результате формируется структурный временной ряд, состоящий из Т12 элементов, в котором символы у1 1 элементов) и символы у2 2 элементов) оказываются перемешанными между собой.

Логика теста состоит в следующем. Если ряд стационарный, то последовательности у1 и у2 практически не отличаются одна от другой и их элементы перемешаны между собой. При этом появление каждой из возможных структур имеет равную вероятность. Если же ряд отличается от стационарного, то общая последовательность будет разделена на более или менее однородные массивы, состоящие в основном из единиц той или иной совокупности.

Тест Манна-Уитни осуществляет проверку гипотезы о стационарности временного ряда уt на основе расчета статистики и* (значения критерия), представляющей собой число случаев, когда элементы из совокупности у1 предшествуют элементам совокупности у2.

Значение и* рассчитывается либо через сумму рангов элементов первой совокупности, либо через сумму рангов элементов второй совокупности, с которыми оно связано следующими соотношениями:


где R1 и R2 - суммы рангов элементов первой и второй совокупностей соответственно, определяемых по их общей последовательности.

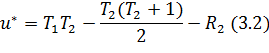
Для больших последовательностей (Т>50; 100) случайная величина и* распределена по нормальному закону с математическим ожиданием


и дисперсией

 

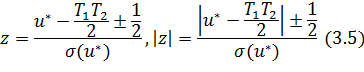
Таким образом, случайная величина z, определяемая как


является нормированной величиной с нулевым средним и единичной дисперсией, распределенной по стандартизованному нормальному закону, z~N(0,1).

В формуле (3.5) поправка 1/2 вводится для обеспечения непрерывности величины z.

Она прибавляется, если z<0, и вычитается, при z>0.

Если обе совокупности идентичны, и их элементы будут перемешаны между собой, то можно ожидать, что значения и* будут находиться недалеко от своего среднего уровня (соответственно z - около нуля). Гипотеза о стационарности процесса уt, t=1,2,..., Т в этом случае может быть принята с доверительной вероятностью p*, если будет выполнено следующее неравенство:

 (3.6)

где х1 и х2 определяются из следующего равенства:

 

где

В частности, при p*=0,95, расчетное значение z должно находиться в следующем интервале: -1,96£ z£1,96.

.2 Тест Сиджела-Тьюки

Вместо параметрического критерия Фишера (F-критерия) для проверки гипотезы о постоянстве дисперсии временного ряда уt на интервале t=1,2,...,Т используется непараметрический критерий Сиджела-Тьюки, который также основан на сопоставлении рангов элементов двух совокупностей из рассматриваемого интервала.

Исходный временной ряд уt, t=1,2,...,Т центрируется, т. е. определяются значения , где  - среднее значение ряда уt. Далее интервал (1,Т) разделяется на две части (желательно равные), так что на первой из них располагаются элементы первой центрированной совокупности у1, а на второй - элементы второй совокупности - у2. Далее элементы из двух центрированных совокупностей у1 и у2 объединяются в одной таблице с запоминанием “своей совокупности” согласно следующему правилу ранжирования:

·        Ранг 1 приписывается наименьшему отрицательному значению, которое располагается на первом месте вверху таблицы.

·        Ранг 2 приписывается наибольшему положительному значению, которое располагается на последнем месте внизу таблицы.

·        Ранг 3 приписывается значению, следующему за наименьшим, которое располагается на втором месте вверху таблицы.

·        Ранг 4 - значению, следующему за наибольшим, которое располагается в таблице на втором месте снизу. Ранг 5 приписывается третьему по порядку наименьшему значению. Оно располагается в таблице на третьем месте сверху.

·        Ранг 6 приписывается третьему по порядку наибольшему значению, которое располагается на третьем месте таблицы снизу и т. д.

Рассчитанная на основе этих рангов случайная величина w* оказывается приблизительно распределенной по нормальному закону с математическим ожиданием, оцениваемым как


и дисперсией


где R1 - сумма рангов элементов первой совокупности у1,

Т12 - количество элементов в первой и второй совокупности соответственно.

Из выражений (3.8) и (3.9) следует, что нормированная случайная величина z, определяемая как


Гипотеза о равенстве дисперсий рассмотренных совокупностей принимается, если для z удовлетворяется соотношение (3.6).

3.3 Тест Вальда-Вольфовитца

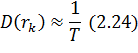
Для проверки гипотезы о стационарном характере процесса (имеется в виду стационарность второго порядка) может быть использованы достаточно универсальные относительно закона распределения значений ряда уt, t=1,2,..., Т непараметрические тесты, основанные на анализе закономерностей серий этих значений (сериальные критерии). Необходимым условием их применения является достаточно большой объем временного ряда, что позволяет с определенной обоснованностью считать обнаруженные закономерности устойчивыми (характерными для данного ряда). При этом серией называют последовательность значений, предшествующая или следующая за некоторым значением, характерный признак которого отличается от признака элементов, входящих в серию. В качестве такого признака часто рассматривается расположение элемента последовательности относительно ее медианы. В этом случае серии с положительным знаком образуют элементы по уровню выше медианы, и серии с отрицательным знаком - элементы, чей уровень не превосходит медианы. Здесь следует иметь в виду, что один элемент - это тоже серия.

Примером сериального критерия является критерий Вальда-Вольфовитца, основанный на подсчете общего числа серий. Среднее значение числа серий определяется согласно следующему выражению:


а его дисперсия - согласно формуле


где N1 - количество элементов с положительным знаком;2 - количество элементов с отрицательным знаком;1+N2=Т - количество элементов во временном ряду. Ns - число серий.

При большом объеме временного ряда Т нормированная переменная z , определяемая как


В этом случае для проверки гипотезы о стационарности используется двухсторонний критерий (3.6).

4. ПРАКТИЧЕСКОЕ ЗАДАНИЕ

В таблице 1 приводятся данные о размерах запасов компании А.

Таблица 4.1

наблюдение

наблюдение

наблюдение

1

235

21

255

41

240

2

320

22

285

42

275

3

115

23

250

43

225

4

355

24

300

44

285

5

190

25

225

45

250

6

320

26

285

46

310

7

275

27

250

47

220

8

205

28

225

48

320

9

295

29

125

49

215

10

240

30

295

50

260

11

355

31

250

51

190

12

175

32

355

52

295

13

285

33

280

53

275

14

200

34

370

54

205

15

290

35

250

55

265

16

220

36

290

56

245

17

400

37

225

57

170

18

275

38

270

58

175

19

185

39

180

59

270

20

370

40

270

60

225