Материал: Модели стационарных временных рядов

Внимание! Если размещение файла нарушает Ваши авторские права, то обязательно сообщите нам

Модели стационарных временных рядов















КУРСОВАЯ РАБОТА

по курсу: Эконометрика

на тему: МОДЕЛИ СТАЦИОНАРНЫХ ВРЕМЕННЫХ РЯДОВ













СОДЕРЖАНИЕ

Введение

. Модели стационарных временных рядов

1.1 Особенности стационарных временных рядов и тесты на стационарность

2. Параметрические тесты стационарности

2.1 Тестирование математического ожидания

.2 Тестирование дисперсии

.3 Тестирование коэффициентов автокорреляции

3. Непараметрические тесты стационарности

3.1 Тест Манна-Уитни

.2 Тест Сиджела-Тьюки

.3 Тест Вальда-Вольфовитца

4. Практическое задание

Заключение

Список использованных источников

ВВЕДЕНИЕ


Существующие модели временных рядов широко используются в процессе изучения динамики реальных явлений различной природы. Они зачастую применяются в исследованиях динамики грузо - и пассажиропотоков, товарных и складских запасов, миграционных процессов, анализе химических процессов, моделировании разнообразных природных событий. Наиболее активно модели временных рядов применяются в анализе финансовых рынков, при оценке изменений финансовых показателей, прогнозировании цен на различные товары, курсов акций, соотношений курсов валют и т. п.

Широкий круг реальных общественных и естественных процессов обычно может быть представлен набором последовательных значений оцениваемого показателя у1, у2,..., уt,..., уТ, которые фиксируются в определенные моменты времени t=1,2,... Т, так что интервал (t, t+1) является постоянным. Указанный набор значений уt, t=1,2,... обычно называется временным рядом (временной серией). Такой ряд представляет собой дискретный временной процесс.

Изменения значений уt во времени в реальной жизни обычно происходят под воздействием каких-либо причин, факторов. Однако их многообразие, сложность измерения, неопределенность в предположениях о существовании взаимосвязей с переменной у значительно затрудняет обоснование и построение «подходящей» для описания процесса уt, t=1,2,... многофакторной эконометрической модели классического типа. Поэтому часто выдвигается предположение о том, что совокупное влияние этих факторов формирует внутренние закономерности в отношении процесса уt.

Такое предположение направлено на применение для описания реальных временных процессов эконометрических моделей из специфического класса моделей временных рядов.

1. МОДЕЛИ СТАЦИОНАРНЫХ ВРЕМЕННЫХ РЯДОВ


1.1 Особенности стационарных временных рядов и тесты на стационарность


Все модели временных рядов имеют общее свойство, которое основано на предположении значительной зависимости текущего значения уровня показателя yt от его предыстории. Иными словами уровень показателя yt генерируется значениями yt-1, yt-2,... на базе характерных для данного временного ряда закономерностях.

Указанное допущение выражается общим уравнением:

yt = f(yt-1, yt-2, …) + et  (1.1)

где et - ошибка модели в момент t.

Здесь функция f отражает характер взаимосвязей, существующих в рассматриваемом временном ряду уt, t=1,2,... Удачный подбор функции f обусловливает высокую степень приближения правой «детерминированной» части выражения (1.1) к реальным значениям ряда. Степень этого приближения обычно характеризуется оценками и свойствами ошибки ряда et, t=1,2,... в данном случае имеется в виду, прежде всего минимальная дисперсия, соответствие белому шуму и т. п.

Для широкого круга процессов функция f имеет линейный вид. Например,

yt = а1yt-1 + аnyt-n + et.

Линейные модели временных рядов применяются, как правило, для описания стационарных процессов, при этом имеются в виду стационарные процессы второго порядка. У стационарного процесса n-го порядка значения всех своих моментов порядка n и ниже на всех временных отрезках, входящих в интервал t=1,2,..., Т отличаются постоянством. Строго стационарные процессы отличаются тем, что у них моменты всех порядков постоянны. Из сказанного следует, что для любых двух интервалов времени (Т1, Т2) и (Т3, Т4) для стационарного процесса второго порядка уt должны выполняться условия:

равенство математических ожиданий;

равенство дисперсий;

равенство однопорядковых коэффициентов автокорреляций.

Математически данные условия выражаются соотношениями:

(1.2)

(1.3)

(1.4)

где - оценки математических ожиданий;

D1(y), D2(y) - оценки дисперсий;

- оценки коэффициентов автокорреляции i-го порядка процесса уt на 1-ом и на 2-ом интервалах соответственно;

- среднее значение процесса (оценка математического ожидания) на интервале (1,Т); (y) - оценка дисперсии процесса на интервале (1,Т).

При реальном изучении стационарных временных рядов равенства (1.2)-(1.4) рассматриваются в статистическом смысле. Это дает основания утверждать, что даже при неполном соответствии равенство  гипотеза о постоянстве математического ожидания процесса уt может быть принята в случае удовлетворения значений  и  определенному статистическому критерию.

С целью проверки соответствия временного ряда уt, t=1,2,... стационарному процессу и выполнимости условий (1.2)-(1.4) применяются различные тесты. Если результаты одного из них не дают возможности утверждать об истинности или ложности выдвинутой гипотезы, то может возникнуть необходимость использовать несколько тестов для проверки одного и того же условия.

Всю совокупность тестов на стационарность временных рядов можно разделить на три основные группы: непараметрические, полупараметрические и параметрические тесты.

Непараметрические тесты не выдвигают заранее каких-либо сведений о законе распределения тестируемого временного ряда, его параметрах. Они основаны на изучении взаимосвязей между порядками следования образующих его значений, позволяют выявить наличие или отсутствие закономерностей в продолжительности и (или) чередовании их серий, образованных, например, последовательностями единиц совокупности с одинаковыми знаками, сменой знаков у этих единиц и т.п.

В полупараметрических тестах используются относительно слабые предположения о характере распределения значений временного ряда. Они отражают общие свойства функции распределения приростов значений ряда - симметричности, расположения квантилей.

При использовании методов этой группы оценки параметров распределения оцениваются по порядковым статистикам: среднее по медиане, среднеквадратическое отклонение - по размаху уровней ряда и т. п.

Параметрические тесты используют при относительно строгих предположениях о законе распределения временного ряда и его параметров. Данные тесты позволяют оценить степень приближенности эмпирических (наблюдаемых) характеристик распределения временного ряда к рассчитанным теоретическим уровням.

Именно эта степень приближенности позволяет принять или отвергнуть гипотезу о соответствии свойств рассматриваемого ряда стационарному процессу.

2. ПАРАМЕТРИЧЕСКИЕ ТЕСТЫ СТАЦИОНАРНОСТИ


.1 Тестирование математического ожидания

При проверке гипотезы о постоянстве математического ожидания, интервал времени (1,Т) (и соответственно временной ряд уt, t=1,2,...Т) разбивается на две части, не обязательно одинаковые по количеству содержащихся в них значений уt, с количеством наблюдений Т1 (t=1,2,..., Т1) и Т2 (t=Т1+1,..., Т), Т2=Т-Т1.

Для каждой из частей определяются оценки  и ,  и  - выборочных математического ожидания и дисперсии переменной уt соответственно. Далее рассчитывается значение критерия Стьюдента по формуле:

 

если предполагается, что значения дисперсий на этих участках не равны между собой, т. е. ,

и по формуле


если  

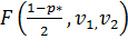
Если оказывается справедливым неравенство

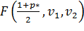
t < t* ( р* ,n), (2.3)

где р* - заданный уровень доверительной вероятности (р*=0,95; 0,97...); n=Т12-2 - число степеней свободы;

t**,n) - критическое значение критерия Стьюдента, соответствующее значениям р* и n. то гипотезу о постоянстве математического ожидания процесса уt целесообразно принять. Вероятность ошибки такого решения при этом составляет 1-р*. В противном случае, т. е. при t>t**,n), эта гипотеза отвергается.

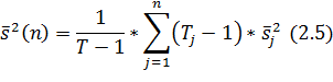
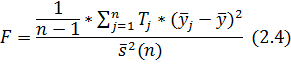
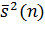
Для большей достоверности вывода о постоянстве математического ожидания временного ряда уt, t=1,2,...,Т интервал наблюдений разделяется на несколько частей (если количество наблюдений достаточно велико). В этом случае проверяется гипотеза о равенстве оценок средних значений ряда, рассчитанных на этих частях. Для этих целей используется критерий Фишера. Его расчетное значение в тесте определяется как отношение взвешенной суммы квадратов отклонений этих оценок от средней временного ряда в целом к средней дисперсии временного ряда:


где n - число частей разбиения интервала (1,Т);

Тj - число измерений переменной уt на j-й части; j=1,2,..., n;

- среднее значение временного ряда в целом;

 - средняя дисперсия, значение которой рассчитывается на основании следующей формулы:


Где  - дисперсия, рассчитанная на j-й части интервала (1,Т).

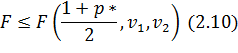
Если оказывается справедливым соотношение

F<F(р*,n1,n2), (2.6)

где F(р*,n1,n2) - табличное значение критерия Фишера для уровня доверительной вероятности p* и числе степеней свободы n1=n-1, n212+...+Тn-n то гипотеза о постоянстве математического ожидания временного ряда на всем интервале (1,Т) принимается с вероятностью р*. В противном случае она отвергается.

.2 Тестирование дисперсии

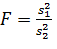
Проверка гипотезы о постоянстве дисперсии временного ряда уt, t=1,2,...,Т в случае разбиения исходного интервала на две части осуществляется с использованием двухстороннего критерия Фишера. Обязательным условием при этом также является нормальный закон распределения значений уt .

Расчетное значение критерия Фишера определяется по следующей формуле:

 (2.7)

где  и  - оценки дисперсии ряда на первой и второй частях соответственно с числом измерений Т1 и Т2.

Если для заданного уровня доверительной вероятности р* оказывается, что значение F удовлетворяет неравенству


то гипотеза о постоянстве дисперсии временного ряда может быть принята, т. е. предположение о том, что  является обоснованным с вероятностью р*.

В выражении (2.8) значения  и являются табличными (левосторонним и правосторонним) значениями критерия Фишера, соответствующими вероятности ошибки второго рода  с числом степеней свободы 1-1 и 2-1. Эти значения удовлетворяют следующему соотношению:


Вследствие этого обычно проверяется только соотношение:


при условии, что .

При средних (Т£100) и больших (Т>100) объемах временного ряда вместо критерия Фишера для проверки гипотезы о постоянстве его дисперсии используется стандартизованное нормальное распределение. В первом случае, т. е. при средних выборках, принимается во внимание, что закону N(0,1) подчиняется случайная величина, определяемая как


Во втором случае (при больших выборках) расчетное значение стандартизованной случайной величины оценивается следующим образом:

 ) (2.12)

В обоих случаях, если оказывается справедливым соотношение

|F|<F(р*), (2.13)

где F(р*) - табличное значение стандартизованного нормального закона, соответствующего доверительной вероятности р*то гипотеза о постоянстве дисперсии принимается.

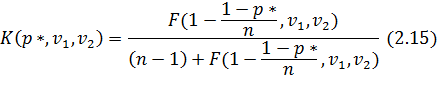
При разбиении временного ряда уt, t=1,2,...,Т на несколько частей (п>2) для проверки гипотезы о постоянстве дисперсий используется критерий Кокрена, основанный на распределении Фишера. Он обычно применяется в предположении, что объемы этих частей равны между собой, т. е. Т12=... =Тп=N. Расчетное значение этого критерия определяется по следующей формуле:

 (2.14)

где   

Табличное значение критерия Кокрена, соответствующее заданной доверительной вероятности и числам степеней свободы n1=п и n2=Т-1, определяется на основании табличного значения F-критерия следующим образом:


где p* - уровень доверительной вероятности, - табличное значение критерия Фишера, выбранное для уровня доверительной вероятности  и числа степеней свободы n1=N-1 и n2=(п -1)×n1.