Трендовая модель с доверительной вероятностью 95% считается адекватной, если выполняется равенство:

где
– математическое ожидание числа точек
поворота,
– дисперсия числа точек поворота.

После подтверждения адекватности построенной модели оценивается ее точность, например, путем расчета коэффициента детерминации и средней относительной ошибки аппроксимации.
Проверим адекватность построенной трендовой модели, используя, например, критерий серий. Для этого:
1. Рассчитаем отклонения исходных уровней ряда от выровненных (гр. 6 табл. 2)
2. Расположим их в возрастающем порядке и вычислим медиану вариационного ряда:
-6,86; -6,26; -3,62; -2,94; -0,7; -0,54; 0,98; 2,82; 5,9; 11,22
Положение медианы определяется ее номером (где n – число единиц совокупности):


То есть медиана равна средней арифметической из 5-го и 6-го значений признака и составляет -0,62.
3. Сравним каждое значение отклонения, занесенного в гр. 6 таблицы 2 с медианным: в случае, если оно превосходит (больше -0,62), будем ставить «+», если не превышает (меньше -0,62), то «-».
Таким образом, количество серий составляет 3, максимальная длина серии равна 3.
4. Проведем проверку соблюдения условий, необходимых для признания трендовой модели адекватной:


Оба необходимых условия соблюдаются, следовательно, построенная трендовая модель может считаться адекватной исследуемому экономическому процессу.
Также проверим адекватность построенной трендовой модели с помощью критерий пиков.
1. Рассчитаем число поворотных точек

2. Рассчитаем значение математического ожидания числа точек поворота

3. Рассчитаем дисперсию числа точек поворота

4. Проверим выполнения
равенства


Трендовая модель с доверительной вероятностью 95% считается адекватной, если выполняется равенство:


Следовательно, можно сделать вывод, что модель адекватная.
Прогнозирование экономических процессов на базе их трендовых моделей осуществляется на основе идеи экстраполяции, то есть возможности продления в будущее тенденции, наблюдавшейся в прошлом.
При этом, как правило, при построении прогноза оперируют не точечной оценкой (в виде конкретного значения прогнозируемого показателя, получаемого путем подстановки в трендовую модель величины времени, соответствующей периоду упреждения), а интервальной, определяя так называемые доверительные интервалы прогноза – границы значений, в которых с определенной вероятностью можно ожидать появление фактического значения прогнозируемого экономического показателя.
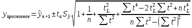
Для прямолинейного тренда доверительные интервалы прогноза определяются по следующей формуле:

где L
– период упреждения;
– точечный прогноз по трендовой модели
на (n+L)-й
момент времени; n
– количество наблюдений во временном
ряду;
– стандартная ошибка оценки прогнозируемого
показателя, определенная для числа
параметров модели, равного двум;
– табличное значение t-критерия
Стьюдента при уровне значимости α
и числе степеней свободы, равного n-2.
Среднеквадратическая ошибка оценки прогнозируемого показателя определяется по следующей формуле:

где
– фактическое значение уровня ряда
динамики для времени t;
– расчетная оценка соответствующего
показателя по модели; n –
длина временного ряда; k
– число параметров в уравнении тренда.
Для тренда, выраженного полином второго или третьего порядка, доверительные интервалы прогноза определяются следующим образом:

Аналогичным образом определяются доверительные интервалы прогноза для экспоненциальной и других кривых роста.
Построим прогноз измерения численности населения на 2007-2008 гг.
1. Определим
точечные значения прогноза, подставив
в построенную трендовую модель
соответствующие значения переменных
времени для 2008 и 2009 годов:


2. Рассчитаем среднеквадратическую ошибки оценки прогноза:

3. Найдем доверительные интервалы прогноза:


Таким образом, прогнозные значения численности населения региона в последующие два года будут находиться в границах:


Основные результаты, полученные в ходе решения задачи
Динамический ряд,
представленный в таблице 1, характеризующий
изменение численности населения региона
за 1997-2006 гг., содержит тренд, который
наилучшим образом может быть аппроксимирован
полином первой степени. Трендовую модель
вида
,
построенную для изучаемого временного
ряда, согласно принятых критериев,
следует считать адекватной исследуемой
тенденции изменения численности
населения региона, прогнозные значения
которой с вероятностью 95% будут находиться
в границах от 147,42 до 179,26 тыс. человек в
2007 г. и составят не менее 435,08 тыс. человек,
но и не превысят 455,98 тыс. человек в 2008
г.
В процессе изучения экономических явлений широкое применение получил балансовый метод. Особенность которого состоит в сопоставлении взаимосвязанных экономических показателей с целью выяснения и измерения их взаимного влияния, а также подсчет резервов, повышение эффективности экономического объекта.
При применении балансового метода связь между показателями выражают в форме равенства итогов, получаемых в результате разнообразных математических действий.
Способом реализации балансового метода является баланс уравнений – это форма представления связи между отдельными экономическими показателями.
В экономических исследованиях применяются следующие системы баланса:
Натуральные (материальные);
Стоимостные (денежные);
Трудовые.
На уровне всей национальной экономики строят межотраслевой баланс (МОБ). Он позволяет:
проводить системный счет основных макроэкономических показателей;
анализ взаимосвязей между отраслями;
изучать особенности ценообразования.
Межотраслевой баланс состоит из 3х частей (квадрантов). Схематично его вид можно представить следующим образом:
|
Промежуточное потребление |
Конечное использование |
|
Валовая добавленная стоимость |
|
Промежуточное потребление характеризует промежуточное потребление в отраслях экономики. В графах по каждой отрасли показаны затраты на производство продукции (стоимость сырья, материалов, топлива, энергии), а в строках – распределение продукции между отраслями.
В квадранте «Конечное использование» строки соответствуют отраслям потребителей, а колонки представляют собой категории конечного использования:
Конечное потребление домашних хозяйств, НКО и государственного управления
Валовое накопление (основного капитала, изменение запасов материальных оборотных средств, чистое потребление ценностей)
Сальдо экспорта/импорта товаров и услуг
Квадрант «Валовая добавленная стоимость» отображает стоимостную структуру ВВП. В колонках указываются отрасли производства, а в строках – основные стоимостные компоненты валовой добавленной стоимости.
Рассмотрим пример построения схемы межотраслевого баланса. Имеем условные данные о хозяйственных операциях по 4 отраслям экономики. Необходимо:
Составить счета отраслей экономики
Построить межотраслевой баланс
|
|
Отрасли |
|||||
|
1 |
2 |
3 |
4 |
|||
|
|
Реализовано: |
|
||||
|
кредит |
– населению |
25 |
90 |
60 |
90 |
|
|
кредит |
– отрасли 1 |
– |
50 |
15 |
– |
|
|
кредит |
– отрасли 2 |
– |
– |
– |
40 |
|
|
кредит |
– отрасли 3 |
– |
– |
– |
65 |
|
|
кредит |
– отрасли 4 |
45 |
15 |
5 |
– |
|
|
дебет
кредит |
Запасы готовой продукции: – на начало года – на конец года |
|
|
|
|
|
|
– |
– |
10 |
– |
|||
|
– |
– |
15 |
– |
|||
|
дебет дебет дебет дебет дебет |
Куплено материалов: – у отрасли 1 – у отрасли 2 – у отрасли 3 – у отрасли 4 Выплачено работникам |
|
||||
|
|
|
|
|
|||
|
– |
– |
– |
45 |
|||
|
50 |
– |
– |
15 |
|||
|
15 |
– |
– |
5 |
|||
|
– |
40 |
65 |
– |
|||
|
30 |
20 |
50 |
5 |
|||
Решение:
Счет отрасли состоит из двух частей – дебетовой (в ней отображаются все затраты, связанные с осуществлением деятельности) и кредитовой, показывающей доходы, получаемые за работу. Разница между дебетом и кредитом счета характеризует финансовый результат за период: если поступления от деятельности превышают расходы – имеет место прибыль, и наоборот, в случае если расходы больше доходов – отрасль имеет убытки. При составлении счета должно соблюдаться равенство итогов: сумма оборотов по дебету должна быть равна сумме оборотов по кредиту.
Распределим хозяйственные операции каждой отрасли, основываясь на их экономическом содержании (в дебете счета отобразим использование, в кредите – ресурсы).
|
Отрасль 1 |
|||
|
Дебет |
Кредит |
||
|
ЗГП на начало года |
0 |
ЗГП на конец года |
0 |
|
Куплено у второй отрасли |
50 |
Реализовано населению |
25 |
|
Куплено у третьей отрасли |
15 |
Реализовано отрасли 2 |
0 |
|
Куплено у четвертой отрасли |
0 |
Реализовано отрасли 3 |
0 |
|
Выплачено работникам |
30 |
Реализовано отрасли 4 |
45 |
|
Всего |
95 |
Всего |
70 |
|
Убыток |
-25 |
||
|
Итого |
95 |
Итого |
95 |
|
Отрасль 2 |
|||
|
Дебет |
Кредит |
||
|
ЗГП на начало года |
0 |
ЗГП на конец года |
0 |
|
Куплено у первой отрасли |
0 |
Реализовано населению |
90 |
|
Куплено у третьей отрасли |
0 |
Реализовано отрасли 1 |
50 |
|
Куплено у четвертой отрасли |
40 |
Реализовано отрасли 3 |
0 |
|
Выплачено работникам |
20 |
Реализовано отрасли 4 |
15 |
|
Всего |
60 |
Всего |
155 |
|
95 |
Прибыль |
||
|
Итого |
155 |
Итого |
155 |