Наука Практическая деятельность Цифровые данные
Немецкий ученый Готфрид Ахенваль (1719 - 1772) впервые употребил слово "статистика" в его современном значении. Слова "статистический" и "статистика" в XVIII в. немецкие ученые стали использовать, подразумевая под ними совокупность знаний о государственных достопримечательностях или описании разных государств (государствоведение). Статистические исследования проводят в 3 этапа:
Сбор статистических данных
Сводка и группировка статистических данных
Расчет обобщающих статистических показателей, их анализ и прогнозирование
Задание 1. Проведение сводки и группировки данных.
Сводка
Сводка – переход от единичных фактов к общим положениям. Статистическая сводка – систематизация единичных фактов, позволяющая перейти к обобщающим показателям. Результатом сводки является группировка.
Группировка
Под группировкой понимают разделение единиц статистической совокупности на группы, однородные в каком-либо существенном отношении, и характеристику таких групп системой показателей в целях выделения типов явлений, изучения структуры и взаимосвязей.
Виды группировок
Структурные – это разделение однородной совокупности на группы, характеризующие ее структуру по определенному группировочному признаку.
Типологические предназначены для выявления качественно однородных групп совокупностей, т.е. объектов, близких друг к другу одновременно по всем группировочным признакам.
Аналитические предназначены для выявления зависимости между признаками.
Техника проведения группировки
Включает в себя следующие этапы:
Выбор группировочного признака или их комбинаций
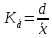
Определение оптимального количества групп, которое осуществляется на основе формулы Стерджесса
,
где n – количество групп,
N – численность совокупности
Расчет величины интервала
,
где Xmax,
Xmin –
максимальное/минимальное значение
признака у единиц статистической
совокупности
Определение границ интервалов
Оформление результатов группировки в статистическую таблицу
После проведения группировки изучают вариацию признака в совокупности (различие в величине признака) и корреляцию, т.е. зависимость результатов показателя от фактора величины.
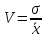
Для изучения вариации применяется система абсолютных и относительных показателей.
Относительная величина – показатель, получаемый путем отношения 2 социально-экономических показателей.
Размах вариации
,
где Xmax,
Xmin –
максимальное/минимальное значение
признака у единиц статистической
совокупности
Среднее линейное отклонение
- для не сгруппированных данных
– для сгруппированных данных
где f – частота повтора признака в каждой группе
Дисперсия
- для не сгруппированных данных
– для сгруппированных данных
Среднее квадратичное отклонение

Относительное линейное отклонение

Коэффициент вариации

Если V > 33%, то совокупность считается разнородной.
Корреляционная связь – это тип связи, которая между факторным и результативным признаком проявляется лишь в среднем при массовом статистическом наблюдении.
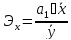
Все социально-экономические явления подвержены корреляционным связям. В них нет чистого соответствия между изменением результата показателя и изменением факторной величины. Для изучения корреляции используется метод построения уравнения регрессии, которая для 2х признаков (x – факторный, y – результативный признак) имеет следующий вид:

Параметр a1 называют коэффициентом регрессии, который показывает направление связи между признаками.
Если a1
> 0, то связь прямая (при
)
Если a1 < 0, то связь
обратная (при
)
Экономическое содержание коэффициента регрессии состоит в том, что он показывает на сколько единиц в натуральном выражении измеряется результативный показатель при изменении факторного признака на 1 натуральную единицу своего измерения.
На основе уравнения регрессии рассчитывается коэффициент эластичности, который показывает на сколько % изменится результативный признак при изменении факторного на 1%.

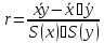
Корреляция может быть изучена на основе линейного коэффициента корреляции:


где S(x), S(y) – среднее квадратичное отклонение для факторов x и y.
В соответствии со шкалой Чеддока, если r находится в границах:
|
Значение коэффициента корреляции при наличии |
Теснота связи |
|
|
Прямой связи |
Обратной связи |
|
|
0,1 – 0,3 |
(-0,3) – (-0,1) |
Слабая |
|
0,3 – 0,5 |
(-0,5) – (-0,3) |
Умеренная |
|
0,5 – 0,7 |
(-0,7) – (-0,5) |
Заметная |
|
0,7 – 0,9 |
(-0,9) – (-0,7) |
Тесная |
|
0,9 – 0,99 |
(-0,99) – (-0,9) |
Очень тесная |
|
№ |
x |
y |
|
1 |
43 |
81 |
|
2 |
64 |
199 |
|
3 |
94 |
343 |
|
4 |
115 |
486 |
|
5 |
135 |
617 |
|
6 |
146 |
774 |
|
7 |
105 |
382 |
|
8 |
197 |
1218 |
|
9 |
248 |
2458 |
|
10 |
53 |
121 |
Определить оптимальное количество группы
n = 1 + 3,3322 ln N
n = 1 + 3,3322 ln 10 = 4
Расчет величины интервала (по X)

Найдем границы интервала
43 --- 94
94 --- 146
146 --- 197
197 --- 248
(4 интервала, т. к. n = 4)
Статистическая таблица
|
Границы |
N предприятий |
Количество предприятий |
∑y |
y̅ |
|
43 --- 94 |
1, 2, 3, 10 |
4 |
744 |
186 |
|
94 --- 146 |
4, 5, 6, 7 |
4 |
2259 |
564,75 |
|
146 --- 197 |
8 |
1 |
1318 |
1218 |
|
197 --- 248 |
9 |
1 |
2458 |
2458 |
N – предприятия, значения которых входит в интервал
∑y – сумма y по N предприятий
y̅ = ∑y / количество предприятий
Вывод: аналитическая группировка позволяет выяснить, что с ростом расходов предприятия на тех. нужды происходит увеличение получаемой прибыли.
|
Границы |
Кол-во, f |
Серед. инт., x |
x * f |
|x-x̅| |
|x-x̅|* f |
(x-x̅)2 |
(x-x̅)2 * f |
|
43 --- 94 |
4 |
68,50 |
274,00 |
46,30 |
185,20 |
2143,69 |
8574,76 |
|
94 --- 146 |
4 |
120,00 |
480,00 |
5,20 |
20,80 |
27,04 |
108,16 |
|
146 --- 197 |
1 |
171,50 |
171,50 |
56,70 |
56,70 |
3214,89 |
3214,89 |
|
197 --- 248 |
1 |
222,50 |
222,50 |
107,70 |
107,70 |
11599,29 |
11599,29 |
|
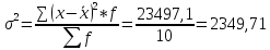
Итого |
10 |
582,50 |
1148,00 |
215,90 |
370,40 |
16984,91 |
23497,10 |


Размах вариации

Среднее линейное отклонение

Дисперсия

Среднее квадратическое отклонение

Относительное линейное отклонение

Коэффициент вариации

Совокупность разнородная.
|
f |
|
|
|
|
|
|
|
4 |
|
|
|
|
|
|
|
3 |
|
|
|
|
|
|
|
2 |
|
|
|
|
|
|
|
1 |
|
|
|
|
|
|
|
|
43 |
94 |
146 |
197 |
248 |
X |
Распределение доходов предприятия на тех. нужды неоднородно, т. к. показатель больше 33% (составляет 41%). Из графика видно, что наблюдается левосторонняя асимметрия.
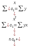
Выразим зависимость между результативным показателем и факторным признаком построив регрессионное уравнение.

Нахождение параметров данной модели возможно на основе решения следующей системы нормальных уравнений.

Проведем предварительные расчеты.
|
N |
x |
y |
x2 |
xy |
(x-x̅)2 |
(y-y̅)2 |
|
1 |
43 |
81 |
1849 |
3483 |
5929 |
344451,61 |
|
2 |
64 |
199 |
4096 |
12736 |
3136 |
219867,21 |
|
3 |
94 |
343 |
8836 |
32242 |
676 |
105560,01 |
|
4 |
115 |
486 |
13225 |
55890 |
25 |
33087,61 |
|
5 |
135 |
617 |
18225 |
83295 |
225 |
2590,81 |
|
6 |
146 |
774 |
21316 |
113004 |
676 |
11257,21 |
|
7 |
105 |
382 |
11025 |
40110 |
225 |
81738,81 |
|
8 |
197 |
1218 |
38809 |
239946 |
5929 |
302610,01 |
|
9 |
248 |
2458 |
61504 |
609584 |
16384 |
3204458,01 |
|
10 |
53 |
121 |
2809 |
6413 |
4489 |
299099,61 |
|
Итого |
1200 |
6679 |
181694 |
1196703 |
37694 |
4604720,9 |