





10
10


a1 = 10,485 > 0, значит связь прямая. При увеличении x, y увеличивается.
На основе уравнения оценить тесноту корреляционной связи, рассчитав коэффициент корреляции (r) и эластичности (Эx).
Коэффициент корреляции:

x̅ = 120; y̅ = 667,9 x̅y̅ = 1196703 / 10 = 119670,3


Следовательно, тесная связь.
Коэффициент эластичности:

При увеличении расходов предприятия на тех. нужды на 1% получаемая прибыль возрастает на 1,88%.
В таблице приведены данные о динамике розничного товарооборота коммерческой фирмы за 10 лет.
|
1997 |
1998 |
1999 |
2000 |
2001 |
2002 |
2003 |
2004 |
2005 |
2006 |
|
62 |
69 |
82 |
104 |
96 |
110 |
124 |
139 |
146 |
147 |
Решение
I. Используя метод Ирвина, выявим наличие (отсутствие) в изучаемом динамическом ряду аномальных уровней. Для этого:
1. Определим среднее значение ряда динамики:

2. Рассчитаем среднее квадратическое отклонение:

3. Найдем расчетные значения
для каждого уровня временного ряда,
начиная со второго:

Аналогичным образом определяются показатели для других уровней ряда. В результате расчетов получаются следующие значения:
;
;
;
;
;
.
При уровне значимости α = 0,05 и числа
степеней свободы n – 1 =
10 – 1 = 9 табличное значение критерия
Ирвина составляет 1,5. Сравнивая полученные
значения показателей
с табличными, можно сделать вывод, что
аномальным уровнем в изучаемом ряду не
является ни один из показателей.
II. Определим наличие тренда в изучаемом ряду динамики:
* методом проверки разностей средних уровней, для это:
1. Исходный временной ряд разобьем на две равные по числу ровней части:

2. Для каждой из этих частей вычислим средние значения и дисперсии:




3. Проверим гипотезу об однородности дисперсий обеих частей ряда с помощью F-критерия Фишера. Для этого рассчитаем показатель F, разделив дисперсию первой части на дисперсию второй половины временного ряда:

При уровне значимости α = 0,05 табличное
значение
равное 3,07, больше расчетного, значит,
гипотеза о равенстве дисперсий
принимается, и можно перейти к следующему
этапу.
4. Проверим гипотезу об отсутствии тренда с использованием t-критерия Стьюдента, для чего рассчитаем показатель t:

При уровне значимости α = 0,05 и числа степеней свободы n1 + n2 – 2 = 5 + 5 – 2 = 8 табличное значение критерия Стьюдента составляет 2,23. Оно является ниже расчетного, следовательно, гипотеза об отсутствии тренда отклоняется и делается вывод, что тренд в исследуемом временном ряду есть;
*методом Фостера-Стюарта
1. Сформируем две числовые последовательности:


2. Рассчитаем величины s и d:

3. Определим расчетные значения критерия Стьюдента для величин s и d.

Табличное значение критерия Стьюдента для числа степеней свободы, равной восьми, и при уровне значимости α = 0,05 составляет 2,23. Оно меньше и ts и td, следовательно, гипотеза об отсутствии тенденции опровергается, и можно сделать вывод, что в изучаемом динамическом ряду тренд есть.
Задание
1. Построить
трендовую прямолинейную модель

2. Оценить её качество критериями серий и пиков
3. Построить прогноз измерения изучаемого показателя на последующие 2 года.
В таблице 1 приведены данные о динамике численности населения региона за десять лет.
|
1997 |
1998 |
1999 |
2000 |
2001 |
2002 |
2003 |
2004 |
2005 |
2006 |
|
62 |
69 |
82 |
104 |
96 |
110 |
124 |
139 |
146 |
147 |
Решение
Проведем выравнивание временного ряда
по прямой:

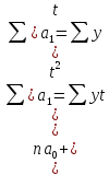
Параметры a0 и a1 находятся в результате решения системы нормальных уравнений, сформированной на основе метода наименьших квадратов:

где n – длина временного ряда.
Для удобства расчеты, необходимые для определения параметров модели, оформим в виде таблицы 2.
|
Показатель времени, t |
Уровни ряда, y |
????2 |
yt |
ŷ |
y-ŷ |
Серии |
(y-ŷ)2 |
|
1 |
2 |
3 |
4 |
5 |
6 |
7 |
8 |
|
1 |
62 |
1 |
62 |
62,54 |
-0,54 |
+ |
0,29 |
|
2 |
69 |
4 |
138 |
72,62 |
-3,62 |
- |
13,10 |
|
3 |
82 |
9 |
246 |
82,7 |
-0,70 |
- |
0,49 |
|
4 |
104 |
16 |
416 |
92,78 |
11,22 |
+ |
125,89 |
|
5 |
96 |
25 |
480 |
102,86 |
-6,86 |
- |
47,06 |
|
6 |
110 |
36 |
660 |
112,94 |
-2,94 |
- |
8,64 |
|
7 |
124 |
49 |
868 |
123,02 |
0,98 |
+ |
0,96 |
|
8 |
139 |
64 |
1112 |
133,1 |
5,90 |
+ |
34,81 |
|
9 |
146 |
81 |
1314 |
143,18 |
2,82 |
+ |
7,95 |
|
10 |
147 |
100 |
1470 |
153,26 |
-6,26 |
- |
39,19 |
|
Итого / 55 |
1079 |
385 |
6766 |
|
|
|
278,38 |
Используя данные граф 2, 3, 4, можно построить следующую систему нормальных уравнений:








Таким образом, функция, описывающая изучаемый временной ряд, будет иметь вид:

Подставив в нее соответствующие значения показателей времени, можно определить расчетные значения уровней динамического ряда (гр. 5 табл. 2)
Например, для первого уровня ряда расчетное значение численности населения составит:

для второго:

Оценка качества трендовых моделей предполагает установление их адекватности исследуемому явлению. При этом следует понимать, что точного соответствия модели реально существующему процессу быть не может. Другими словами, речь идет об адекватности свойств модели, позволяющих исследовать существенные стороны изучаемого явления.
Для анализ трендовых моделей возможно использование следующих критериев оценки:
1. Критерий серий. При его применении вычисляются разности отклонений фактических значений временного ряда от выровненных по соответствующей кривой:

После этого величины
располагают в возрастающем порядке и
находят медиану полученного вариационного
ряда. Затем каждое исходное значение
сравнивают с медианой: если оно превышает
медианное, оно опускается. Таким образом,
формируется последовательность,
включающая «плюсы» и «минусы», общее
количество которых не превосходит длину
временного ряда. Последовательность
подряд идущих «плюсов» и «минусов»
называется серией.
Если обозначить протяженность самой длинной серии через Kmax, а общее число серий – через v, то трендовая модель, удовлетворяющая двум перечисленным ниже условиям, признается адекватной с 5%-ным уровнем значимости.

2. Критерии пиков. При его использовании
определяется число так называемых
«поворотных точек», которое мы будем
обозначать через p.
Точка считается поворотной, если уровень
больше (или меньше) двух рядом стоящих
уровней, то есть
или
.