Материал: Методичка

Внимание! Если размещение файла нарушает Ваши авторские права, то обязательно сообщите нам

31

Si(1)

 

 

 

 

w(1)

 

 

 

 

i

 

 

Si-1

p1

w(2)

W i (Si1 )

p2

i

 

 

 

 

 

 

 

 

 

 

 

 

p3

 

 

 

xi

w(n)

 

 

 

 

 

 

 

i

W i+1 (Si(1))

Si(2)

W i+1 (Si(2))

Si(n)

W i+1 (Si(n))

Рис.2.10

Так как вариантов управления на i–м шаге может быть несколько, т.е. xi может принимать разные значения xi {xi(1), xi(2),K, xi(p)}, то мы выбираем то из них, при котором W i (Si1 | xi ) становится минимальным. При этом стохастическое обобщение основного рекуррентного уравнения (2.2) имеет вид

W i (Si1 )= min{Wi (Si1 | xi )}

xi

или в развернутой форме

W i (Si1 )= minx (wi(j ) +Wi+1 (Si(j ))) Ρ(Si(j )

i j

| Si1 , xi ) .

Так как мы применяем условные вероятности, то

Ρ(Si(j ) | Si1 , xi )=1. j

Решение задач методом стохастического динамического программирования рассмотрим на конкретных примерах.

Пример 2.3. Решается задача управляемого перевода организма из исходного состояния S0 в конечное состояние S3 (лечение, нормализация состояния оператора). При этом существуют промежуточные состояния S1(1), S1(2), S1(3), S2(1), S2(2) , а

возможные переходы их состояния в состояние изображены на рис.2.11 в виде ориентированного ациклического графа. На ребрах графа проставлено время, требуемое для перевода организма из одного состояния в другое. В каждом состоянии Si1 имеется несколько управляющих воздействий xi , которым соответствуют определенные наборы вероятностей перехода Ρ(Si | Si1 , xi ). Эти

32

наборы приведены в табл.2.2-2.5. В этих таблицах, как уже отмечалось, сумма чисел в каждой строке равна 1.

 

 

 

 

5

 

 

 

 

 

 

 

 

 

 

S1(1)

 

 

S2(1)

 

 

 

 

2

 

6

 

 

 

3

 

 

 

 

 

 

 

 

 

 

 

 

2

 

 

 

 

 

4

 

 

 

 

 

 

S0

 

S1(2)

 

 

 

S3

 

 

 

 

 

 

 

 

 

 

4

 

 

 

 

 

3

 

 

 

 

 

8

 

 

 

 

4

 

 

 

 

 

 

 

 

S1(3)

 

 

 

S2(2)

 

 

 

 

 

 

 

 

 

 

 

 

 

 

 

5

 

 

 

 

 

 

 

 

 

 

 

 

 

 

 

 

 

 

 

 

Рис.2.11

 

 

 

 

 

 

 

 

Таблица 2.2

x1

 

Ρ(S1 | S0 , x1 )

 

S1(1)

 

S1(2)

 

S1(3)

 

 

 

 

 

x(1)

0,6

 

0,4

 

0

 

1

 

 

 

 

 

 

x(2)

1

 

0

 

0

 

1

 

 

 

 

 

 

x1(3)

0,3

 

0,3

 

0,4

 

 

 

 

Таблица 2.3

x2

 

Ρ(S2 | S1(1), x2 )

 

 

 

 

S2(1)

S2(2)

 

x2(1)

 

 

 

0,2

0,8

 

x2(2)

 

0,5

0,5

 

x2(3)

 

0,6

0,4

 

 

 

 

 

 

 

 

 

 

Таблица 2.4

 

 

 

 

 

Таблица 2.5

x2

 

Ρ(S2 | S1(2), x2 )

 

x2

 

Ρ(S2 | S1(3), x2 )

 

 

S2(1)

 

S2(2)

 

 

S2(1)

 

S2(2)

 

 

 

 

 

 

 

 

 

x2(4)

 

0,5

 

0,5

 

x2(6)

 

0,1

 

0,9

 

x2(5)

 

0,3

 

0,7

 

x2(7)

 

0,6

 

0,4

 

Кроме

того,

в состоянии S2(1)

всегда применяется

управление x3(1) и

Ρ(S3 | S2(1), x3(1))=1 , а в состоянии S2(2) всегда применяется

x3(2)

и Ρ(S3 | S2(2), x3(2))=1.

Требуется каждому состоянию сопоставить одно оптимальное управляющее воздействие, при котором общее среднее время перехода из S0 в S3 будет минимально, а также определить это время.

Согласно рис. 2.11 и принятым нами обозначениям времена перехода организма из состояния в состояние равны

33

w = 3,

w(1) = 2,

w(1)

= 2,

31

23

1

 

w = 8,

w(2) = 4,

w(2) = 4,

32

21

1

 

w(1) = 5,

w(2) = 4,

w(3) = 3

21

22

1

 

w22(1) = 6,

w23(2) = 5

 

 

Условную оптимизацию, как и раньше, начинаем с последнего, 3-го шага управления. Из условия задачи видно, что на 3-м шаге управление вынужденное, поэтому

W 3 (S2(1))= w31 = 3, W 3 (S2(2))= w32 = 8 .

Условную оптимизацию на 2-м шаге проводим с помощью рекуррентного уравнения, которое на этом шаге приобретает вид

 

 

2

(S1 )= min (w2(j ) +

 

3 (S2(j ))) Ρ(S2(j )

W

W

 

 

 

x2 j

Допустим, что S1

= S1(1), тогда x2 {x2(1), x2(2), x2(3)}и

W 2 (S1(1) | x2 )= 2 (w21(j ) +W 3 (S2(j ))) Ρ(S2(j )

j=1

| S1 , x2 ) .

| S1(1), x2 );

W 2 (S1(1) | x2(1))= (5 +3) 0,2 +(4 +8) 0,8 =11,2 ;

W 2 (S1(1) | x2(2))= (5 +3) 0,5 + (4 +8) 0,5 =10,0 ;

W 2 (S1(1) | x2(3))= (5 +3) 0,6 + (4 +8) 0,4 = 9,6 ;

W 2 (S1(1))= min{W 2 (S1(1) | x2 )}=W 2 (S1(1) | x2(3))= 9,6 . x2

Аналогично можно найти W 2 (S1(2))=10,5 и W 2 (S1(3))= 8,2 . Далее оптимизируем 1–й шаг. Для него x1 {x1(1), x1(2), x1(3)}и

W (S0 | x1 )= 3 (w1(j ) +W 2 (S1(j ))) Ρ(S1(j ) | S0 , x1 );

j=1

W 1 (S0 | x1(1))= (2 +9,6) 0,6 +(4 +10,5) 0,4 =12,8 ;

W 1 (S0 | x1(2))= (2 +9,6) 1 =11,6 ;

34

W 1 (S0 | x1(3))= (2 +9,6) 0,3 + (4 +10,5) 0,3 +(3 +8,2) 0,4 =12,3 ;

W1 (S0 )= min{W1 (S0 x1 )}=W1 (S0 x1(2))=11,6 x1

Результат условной оптимизации показан на рис.2.12. В кружках проставлены значения условных минимумов Wi (Si1 ). Из рисунка видно, что оптимальное управление на 1-м шаге равно x1(2). Оно детерминированно переводит систему в S1(1),

где наилучшее управление заключается в применении x2(3). При этом система переходит в S2(1) или в S2(2) с вероятностями, равными 0,6 и 0,4 соответственно. Если переход осуществлен в S2(1), то дальше надо применять x3(1), если же в S2(2), то оптимальное шаговое управление здесь x3(2). В обоих случаях система переходит в

S3 . Состояния S1(2) и S1(3) остаются незадействованными. Минимальное среднее время перехода из S0 в S3 составляет 11,6 единиц времени.

 

 

S(1)

 

 

 

S(1)

 

 

1

 

0,6

2

 

 

9,6

 

 

 

3,0

 

 

 

 

 

 

 

 

x(3)

0,5

 

 

x(1)

 

 

2

 

 

3

 

 

1

 

 

1

 

 

 

 

0,6

S

0

S(2)

 

 

 

S3

 

1

 

 

 

 

 

 

 

 

 

 

11,6

10,5

 

 

 

 

 

x(2)

x(4)

 

0,4

 

 

 

 

1

 

2

 

 

 

 

 

 

 

 

 

 

1

 

 

S1(3)

0,5

 

 

S2(2)

 

 

8,2

 

 

 

8,0

 

 

 

0,4

 

 

 

 

 

 

 

x3(2)

 

 

x2(7)

 

 

 

Рис. 2.12

Пример 2.4. в течение ближайших 3-х дней больному необходимо сделать срочную операцию. Для уменьшения риска неблагоприятного исхода желательно, чтобы состояние больного непосредственно перед операцией было наилучшим. С помощью медицинских обследований состояние больного оценивают по трехбалльной шкале,

35

причем оценка 1 соответствует наихудшему состоянию S1 , 2 – промежуточному S2 , 3 – наилучшему S3 . Надо рассчитать оптимальную стратегию врача (т.е. в какой из трех дней лучше всего делать операцию), если вероятности наступления состояний

S1 , S2 и S3 в любой день не зависят от состояния больного в предыдущий день и равны

p1 = P(S1 )= 0,3; p2 = P(S2 )= 0,5; p3 = P(S3 )= 0,2.

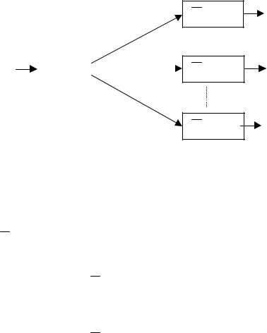
Для решения этой задачи составим дерево альтернатив, изображенное на рис.2.13.

Пусть zi - оценка состояния больного, а xi - принимаемое решение в i -й день. Тогда после измерения состояния больного в 1-й день (Изм1), еслиz1 = 3 , то x1 = Оп , т.е.

принимается решение оперировать; если z1 =1 , то x1 = Жд - ждать следующего дня, а если z1 = 2 , то возникает неопределенность (может быть принято как одно, так и другое решение). Аналогичная ситуация возникает и на второй день после процедуры Изм2, если в 1-й день принято решение Жд . Таким образом задача заключается в выработке рекомендаций о принятии оптимальных решений, если в 1-

йили во 2-й день состояние больного будет оценено как 2.

Вкачестве критерия оптимальности (целевой функции) будем использовать среднеожидаемую оценку состояния оперируемого больного, которую необходимо

максимизировать. Пусть wi(j ) - значение целевой функции на i -й день при zi= j .

Допустим, больного решили оперировать лишь на 3-й день. В этом случае среднеожидаемая оценка состояния больного перед операцией будет равна

(рис. 2.14).

w3 = w3(1) p1 + w3(2) p2 + w3(3) p3 =1 0,3 + 2 0,5 +3 0,2 =1,9 .

Этот результат показывает, что если на 2-й день мы получили z2 = 2 , то (так как это больше, чем 1,9) наилучшим будет решение x2 =< Оп > и для второго дня дерево альтернатив представляется в виде рис. 2.15. Из рисунка видно, что w2(1) = w3 .

Рассуждая аналогично, среднеожидаемая оценка состояния больного на 2-й день