81
ром j; xij – объем груза, перевозимого от i-го отправителя к j-му полу-чателю; k
– число производителей лесоматериалов.
Критерий при принятых обозначениях примет вид
m p |
p n |
m n |
|
Зпр cik xik |
ckj xkj |
cij xij min . |
(3.31) |
i 1 k 1 |
k 1 j 1 |
i 1 j 1 |
|
При следующих ограничениях:
1. Условия несбалансированности предложения и спроса на лесоматериа-
лы:
p |
n |
|
|
|
qk |
bj |
(3.32) |
k 1 |
j 1 |
|
|
в соответствии с условиями о соотношении объемов производства у поставщи-
ков Аi и потребителей Qk и Вj :
m |
p |
n |
|
|
ai |
|
qk |
b j . |
(3.33) |
i 1 |
k 1 |
j 1 |
|
|
2. Объем поставок продукции предприятиям Bj должен быть равен спросу каждого из них:
p |
m |
|
|
|
|
xkj |
xij |
b j ( j 1, n) . |
(3.34) |
||
k 1 |
i 1 |
|
|
|
|
3. Объем поставок от поставщиков сырья не должен превосходить мощ-
ности каждого из них:
p |
n |
|
|
|
|
xik |
xij |
ai (i 1, m) . |
(3.35) |
||
k 1 |
j 1 |
|
|
|
|
4. Суммарный объем поставок сырья предприятиям, вырабатывающим промежуточную продукцию, должен быть равен мощности каждого из них, а
поставки от этих предприятий не должны превосходить установленного верх-
него предела их мощности:
m |
|
n |
|
|
|
|
|
|
xik |
X k |
xij |
qk (k 1, p) . |
(3.36) |
||||
i 1 |
|
j 1 |
|
|
|
|
|
|
82 |
|
5. Ограничения на неотрицательность всех неизвестных: |
|
xik ≥ 0; xkj ≥ 0; хij ≥ 0 (i = 1, m ; k = 1, p ; j =1, n ). |
(3.37) |
Выражения (3.31)... (3.37) представляют собой математическую модель рассматриваемой задачи.
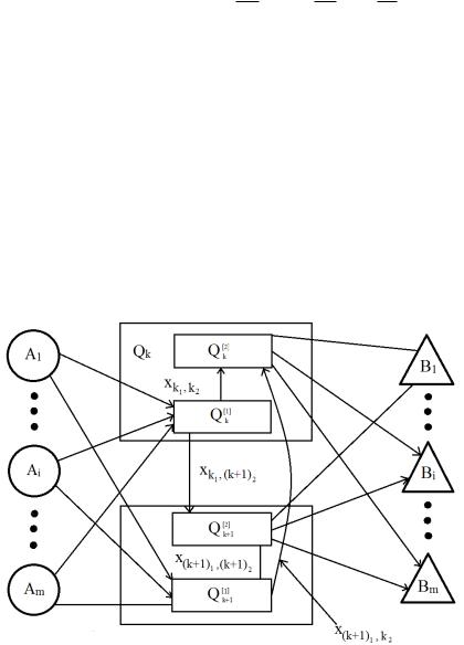
Необходимо преобразовать модель к закрытому виду и снять двусторонние ограничения. В рассматриваемой модели предприятия Qk выступают одновременно в двух качествах. С одной стороны, они потребители (сырья), а с другой – поставщики (промежуточной продукции). В соответствии с этим каждое такое предприятие условно делится на два – Qk[1] и Qk[2] – с предельно допустимыми мощностями, равными установленным верхним пределам.
Рис. 3.1. Схема условного разделения предприятий среднего звена при преобразовании многоэтапной модели поставок лесоматериалов
Появление новых поставщиков и потребителей лесоматериалов приводит к необходимости введения новых схем поставок от этих поставщиков к новым потребителям. Обозначим такие поставки через xk1,k2, затраты на поставку – ck1,k2. Поскольку номер k присваивается любому предприятию Qk, то возможны два варианта сочетания номеров k1 и k2. Первый из них отвечает случаю, когда номера предприятий совпадают (индекс k у них одинаковый, Q9[1] и Q9[2]) – их объем обозначим x k1,k2 . Это означает, что схемы поставки осуществляются
83
внутри одного предприятия. Второй вариант отвечает случаю, когда схемы поставки осуществляют от одного предприятия Qk[1] к другому Qk[2].
Поставки xk1,k2 недопустимы в однопараметрической модели, так как одно из предприятий, изготавливающих промежуточные лесоматериалы, не может отправлять их другому – производящему ту же продукцию. С этой целью величины ck1,k2 принимаются равными большой величине ck1,k2 =M.
Для реализации модели необходимо иметь предварительно подготовленную сводную матрицу исходных данных, которая представлена в табл. 3.5.
Таблица 3.5 Сводная матрица исходных данных для многоэтапной модели
Сырья
Промежуточной продукции
|
|
|
|
|
|
|
|
|
|
|
|
|
|
|
|
|
|
Потребители и их спрос |
|
|
|
|
|||||||
Поставщики |
|
|
|
|
|
|
Сырья |
|
|
|
|
|
Промежуточных лесоматериалов |
||||||||||||||||
|
и их |
|
|
|
|
|
|
Qk[1] |
Qk[1] |
••• |
Qk[1] |
|
••• |
Qk[1] |
В1 |
В2 |
••• |
Вj |
••• |
Вn |
Вn+1 |
||||||||
мощности |
|
|
|
|
|
|
••• |
|
|
|
|
••• |
|
|
|
b1 |
b2 |
••• |
bj |
••• |
bn |
b n+1 |
|||||||
qk |
qk |
qk |
|
qk |
|||||||||||||||||||||||||
|
|
|
|
|
|
|
|
|
|||||||||||||||||||||
|
А1 |
|
|
|
|
а1 |
|
c11 |
|
c12 |
••• |
|
c1k |
|
••• |
|
c1p |
М |
М |
••• |
М |
••• |
М |
0 |
|||||
|
А2 |
|
|
|
|
а2 |
|
c21 |
|
c22 |
••• |
|
c2k |
|
••• |
|
c2p |
М |
М |
••• |
М |
••• |
М |
0 |
|||||
|
• |
|
|
|
|
• |
|
|
• |
|
|
• |
|
|
|
• |
|
|
|
|
• |
• |
• |
|
• |
|
• |
• |
|
|
• |
|
|
|
|
• |
|
|
• |
|
|
• |
I |
|
|
• |
|
|
|
|
• |
• |
• |
IV |
• |
|
• |
• |
|
|
• |
|
|
|
|
• |
|
|
• |
|
|
• |
|
|
|
• |
|
|
|
|
• |
• |
• |
|
• |
|
• |
• |
|
|
Аi |
|
|
|
|
аi |
|
ci1 |
|
ci2 |
••• |
|
cik |
|
••• |
|
cip |
М |
М |
••• |
М |
••• |
М |
0 |
|||||
|
• |
|
|
|
|
• |
|
|
• |
|
|
• |
|
|
|
• |
|
|
|
|
• |
• |
• |
|
• |
|
• |
• |
|
|
• |
|
|
|
|
• |
|
|
• |
|
|
• |
|
|
|
• |
|
|
|
|
• |
• |
• |
|
• |
|
• |
• |
|
|
• |
|
|
|
|
• |
|
|
• |
|
|
• |
|
|
|
• |
|
|
|
|
• |
• |
• |
|
• |
|
• |
• |
|
|
Аm |
|
аm |
|
cm1 |
|
cm2 |
••• |
|
cmk |
|
••• |
|
cmp |
М |
М |
••• |
М |
••• |
М |
0 |
||||||||
|
Q1[2] |
|
|
|
|
|
|
0 |
|
М |
••• |
|
М |
|
••• |
|
М |
c11 |
c11 |
••• |
c11 |
••• |
c11 |
М |
|||||
|
|
qk |
|
|
|
|
|||||||||||||||||||||||
|
|
|
|
|
|
|
|
|
|
|
|
|
|
|
|
|
|
|
|
|
|
|
|
|
|||||
|
|
|
|
|
|
|
|
|
|
|
|
|
|
|
|
|
|
|
|
|
|
|
|
|
|||||
|
Q2[2] |
|
|
|
|
|
|
|
М |
0 |
••• |
|
М |
|
••• |
|
М |
c11 |
c11 |
••• |
c11 |
••• |
c11 |
М |
|||||
|
|
qk |
|
|
|
|
|||||||||||||||||||||||
|
|
|
|
|
|
|
|
|
|
|
|
|
|
|
|
|
|
|
|
|
|
|
|
|
|
|
|
|
|
|
• |
|
|
|
|
• |
|
|
• |
|
|
• |
|
|
|
• |
|
|
|
|
• |
• |
• |
|
• |
|
• |
• |
|
|
• |
|
|
|
|
• |
|
|
• |
|
|
• |
II |
|
|
• |
|
|
|
|
• |
• |
• |
III |
• |
|
• |
• |
|
|
• |
|
|
|
|
• |
|
|
• |
|
|
• |
|
|
|
• |
|
|
|
|
• |
• |
• |
|
• |
|
• |
• |
|
|
Qk[2] |
|
|
|
|
|
|
|
М |
|
М |
••• |
0 |
|
••• |
|
М |
c11 |
c11 |
••• |
c11 |
••• |
c11 |
М |
|||||
|
|
qk |
|
|
|
|
|||||||||||||||||||||||
|
• |
|
|
|
|
• |
|
|
• |
|
|
• |
|
|
|
• |
|
|
|
|
• |
• |
• |
|
• |
|
• |
• |
|
|
• |
|
|
|
|
• |
|
|
• |
|
|
• |
|
|
|
• |
|
|
|
|
• |
• |
• |
|
• |
|
• |
• |
|
|
• |
|
|
|
|
• |
|
|
• |
|
|
• |
|
|
|
• |
|
|
|
|
• |
• |
• |
|
• |
|
• |
• |
|
|
Qp[2] |
|
|
|
|
|
|
М |
М |
••• |
М |
|
••• |
0 |
c11 |
c11 |
••• |
c11 |
••• |
c11 |
М |
||||||||
|
qk |
|
|||||||||||||||||||||||||||
Верхняя левая четверть (I квадрат) включает удельные приведенные затраты, связанные с поставками сырья предприятиями Аi потребителям Qk. Здесь указаны действительные значения величин cik. Нижняя левая четверть
84
(II квадрат) содержит удельные приведенные затраты при поставках лесоматериалов между условными предприятиями Qk[l] и Qk[2]. Одни и те же предприятия соответствуют клеткам, лежащим на главной диагонали этого квадрата. Все остальные поставки здесь запрещены. Поэтому во всех других клетках стоит М. Таблицу с главной диагональю во II квадрате назовем матрицей с фиктивной диагональю.
Нижняя правая четверть (III квадрат) содержит удельные приведенные затраты при поставках промежуточной продукции от предприятий Qk к потребителям этих лесоматериалов – предприятиям Bj. Такие поставки имеют место, поэтому здесь стоят реальные значения величин Ckj. В клетках, отвечающих вероятностному потребителю, проставляются М.
Верхняя правая четверть (IV квадрат) должна содержать значения удельных приведенных затрат при поставках сырья от предприятий Аi к потребителям Bj. Но так как в однопараметрической модели такие поставки запрещены, то во всех клетках этого квадрата проставляются М, кроме клеток, отвечающих вероятностному потребителю, где указываются нули.
В результате решения задачи должны быть заполнены клетки в I и IV квадратах. Полученные значения неизвестных xik и xkj дадут схемы оптимального прикрепления предприятий типа Qk к поставщикам сырья Ai и предприятий Bj к поставщикам промежуточных лесоматериалов Qk. На главной диагонали II квадрата будут указаны излишние мощности предприятийпроизводителей промежуточных лесоматериалов, а в правом столбце IV квадрата – излишние мощности поставщиков сырья. Если поставки к вероятностному потребителю xk2,n+1 не будут запрещены, то величины, стоящие на главной диагонали IV квадрата, вынужденно окажутся меньшими, чем следует. В результате оптимизируемые мощности предприятий Qk будут завышены. Разработанная модель, методы ее преобразования и построения сводной матрицы исходных данных обладают достаточной универсальностью, то есть преобразуются для большого количества звеньев в системе потребления лесоматериалов.
85
Но так как условному разделению подлежат все промежуточные предприятия (лесозаготовительные предприятия, предприятия по выпуску древесных плит, комбинаты мебельных деталей и т. д.), то матрица исходных данных приобретает большую размерность. Данная математическая модель применима для решения оптимизационных задач размещения и концентрации производства специализированных (технологически) и кооперированных предприятий лесной отрасли [122].
Предполагалось, что все предприятия-поставщики производят продукцию только одного вида (сырье, промежуточную продукцию) и что все потребители нуждаются только в лесоматериалах этого вида. Однако в большинстве случаев лесоперерабатывающие предприятия являются комбинированными и вырабатывают широкую номенклатуру лесоматериалов. Лесозаготовительные предприятия поставляют древесное сырье различных пород и сортименты различных размеров, что уже является продукцией различных видов.
При этом одни виды сырья или промежуточных лесоматериалов могут заменять друг друга полностью, другие – частично, третьи не взаимозаменяемы вообще. Рассмотрим только одноэтапную задачу в звене k—j.
Имеется p предприятий типа Qk(k=1,p), выпускающих промежуточную продукцию (существуют и действуют, существуют и предполагаются к возможной реконструкции, не существуют, но могут быть созданы). Каждое из предприятий Qk производит lk видов лесоматериалов (rk=1, lk ). Объем выпуска,
ограниченный сверху q rkk , устанавливается для каждого предприятия по каждому виду продукции деревопереработки. Нижний предел мощностей не устанавливается. Имеется n предприятий Bj (j=1, n ), изготавливающих конечные лесоматериалы. Каждое из таких предприятий нуждается в lj(rj=1,l j ) видах промежуточных лесоматериалов. Спрос каждого предприятия на каждый вид такой продукции известен и составляет b rjj . Однако не каждое предприятие должно выпускать весь ассортимент промежуточных лесоматериалов, и не каждый потребитель должен нуждаться во всех видах выпускаемой