Вид документа Mathcad Prime:
Упражнение 2 |
|
Решить систему нелинейных уравнений с помощью функции |
: |
xy2 −1 = 0
y + ex = 0
Порядок выполнения:
1.Вставьте блок решения.
2.Введите начальные приближения
и
.
3.Введите заданные уравнения, используя логический оператор сравнения
из вкладки Математика/Операторы/Сравнение.
4.Для получения решения, введите функцию 
, и затем
обычный знак равенства .
Вид документа Mathcad Prime:
56
|
|
|
Индивидуальные задания |
1. |
Решить |
систему |
линейных уравнений матричным способом |
|
x := A−1 B (Табл. 1). |
||
2. |
Решить систему линейных уравнений с помощью встроенной |
||
|
функции |
(Табл. 2). |
|
3. |
Решить систему нелинейных уравнений с помощью, встроенных |
||
|
функции |
и |
(Табл. 3). |
Таблица 1
|
№ |
Система уравнений |
№ |
Система уравнений |
|||||||||
|
|
|
|
|
|||||||||
|
1 |
4x1 + x2 + 4x3 =138 |
2 |
3x1 + 4x2 + 2x3 =162 |
|||||||||
|
|
|
|
+ 4x2 + 6x3 = 225 |
|
|
+ 5x2 + 3x3 = 200 |
||||||
|
|
2x1 |
|
x1 |
|||||||||
|
|
x + 2x |
|
+ x |
= 80 |
|
x |
+ 2x =110 |
|||||
|
|
1 |
|
2 |
3 |
|
|
2 |
|
3 |
|
|
|
|
|
|
|
|
|||||||||
|
3 |
2x1 + 6x2 + x3 = 470 |
4 |
2x1 + 2x2 + 5x3 = 345 |
|||||||||
|
|
|
+ 3x2 + 2x3 = 305 |
|
|
|
+ 3x2 |
+ 6x3 = 520 |
|||||
|
|
x1 |
|
3x1 |
|||||||||
|
|
x |
+ x |
=109 |
|
|
4x + 3x |
|
+ 4x = 455 |
||||
|
|
2 |
|
3 |
|
|
|
|
|
1 |
2 |
3 |
|
|
|
|
|
|
|||||||||
|
5 |
2x1 + x2 + 3x3 =110 |
6 |
2x1 + 3x2 + 4x3 = 655 |
|||||||||
|
|
|
|
+ 7x2 + 6x3 = 315 |
|
|
|
+ x2 + 4x3 = 588 |
|||||
|
|
8x1 |
|
3x1 |
|||||||||
|
|
|
|
+ 4x2 + 2x3 =115 |
|
|
+ 2x2 + 2x3 = 360 |
||||||
|
|
3x1 |
|
x1 |
|||||||||
|
7 |
2x1 + 6x2 + x3 = 225 |
8 |
3x1 + 4x2 |
=180 |
||||||||
|
|
|
+ 3x2 + 2x3 = 225 |
|
|
|
+ 5x2 |
+ x3 = 255 |
|||||
|
|
x1 |
|
4x1 |
|||||||||
|
|
x |
+ x |
=120 |
|
|
2x + 3x |
|
+ 3x = 200 |
||||
|
|
2 |
|
3 |
|
|
|
|
|
1 |
2 |
3 |
|
|
|
|
|
|
|
||||||||
|
9 |
x1 + 2x2 + x3 = 200 |
10 |
2x1 + 2x2 |
=125 |
||||||||
|
|
|
+ 2x2 + 4x3 = 315 |
|
|
|
+ 4x2 |
+ x3 = 305 |
|||||
|
|
x1 |
|
5x1 |
|||||||||
|
|
|
|
+ 5x2 + 3x3 = 544 |
|
|
+ x2 + 2x3 =120 |
||||||
|
|
3x1 |
|
x1 |
|||||||||
|
11 |
3x1 + 5x2 + 5x3 =185 |
12 |
x2 + 2x3 = 140 |
|||||||||
|
|
|
|
+ x2 + 2x3 =185 |
|
|
|
+ x2 + x3 = 175 |
|||||
|
|
7x1 |
|
2x1 |
|||||||||
|
|
x + 6x |
|
= 80 |
|
|
3x + 7x |
2 |
+ x = 290 |
||||
|
|
1 |
|
2 |
|
|
|
|
1 |
|
3 |
||
|
|
|
|
|
|||||||||
|
13 |
3x1 + x3 = 115 |
14 |
3x1 + 3x2 + x3 =135 |
|||||||||
|
|
|
|
+ 7x3 = 150 |
|
|
|
+ 2x3 |
|
||||
|
|
2x2 |
|
6x2 |
=155 |
||||||||
|
|
x + 3x |
2 |
+ 2x = 143 |
|
x + 9x + 2x = 230 |
|||||||
|
|
1 |
|
|
|
3 |
|
1 |
|
2 |
|
3 |
|
|
|
|
|
|
|
|
|
|
|
|
|
|
|
57
15 |
|
|
3x1 + 5x2 + 6x3 = 640 |
16 |
|
2x1 + 2x2 + x3 = 50 |
|||||||||
|
|
|
|
|
|
|
|
|
|
|
|
|
|
|
|
|
|
|
2x1 + 4x2 + x3 = 380 |
|
|
|
3x1 + 5x2 + 3x3 =140 |
||||||||
|
|
|
|
|
|
|
|
|
|
|
|
|
|
|
|
|
|
|
3x1 + x2 + 3x3 =175 |
|
|
|
2x1 + 7x2 + x3 =125 |
||||||||
Таблица 2 |
|
|
|
|
|
|
|
|
|
|
|
||||
|
|
|
|
|
|
|
|
||||||||
№ |
|
|
Система уравнений |
|
№ |
|
Система уравнений |
||||||||
1 |
2x1 + x2 + 2x3 + 3x4 = 8 |
2 |
|
2x1 + x2 − 5x3 + x4 = −4 |
|||||||||||
|
|
|
+ 3x3 = 6 |
|
|
|
|
|
|
− 3x2 − 6x4 = −7 |
|||||
|
3x1 |
|
|
|
|
|
x1 |
||||||||
|
|
|
|
|
|
|
|
|
|
|
|
|
|
|
|
|
2x1 |
− x2 + 3x4 = 4 |
|
|
|
|
2x2 |
− x3 + 2x4 = 2 |
|
||||||
|
x + 2x − x + 2x = 4 |
|
|
|
x + 4x − 7x + 6x = −2 |
||||||||||
|
|
1 |
2 |
3 |
4 |
|
|
|
|
1 |
|
2 |
3 |
4 |
|
3 |
x1 + 2x2 + 3x3 + 4x4 = 22 |
4 |
|
x1 + 2x2 + 3x3 + 4x4 = 26 |
|||||||||||
|
|
|
+ 3x2 + x3 + 2x4 =17 |
|
|
|
|
|
+ 3x2 + 4x3 + x4 = 34 |
||||||
|
2x1 |
|
|
|
2x1 |
||||||||||
|
|
|
|
|
|
|
|
|
|
|
|
|
|
|
|
|
x1 + x2 + x3 − x4 = 8 |
|
|
|
|
3x1 |
+ 4x2 + x3 + 2x4 = 26 |
||||||||
|
x − 2x − 3x = −7 |
|
|
|
|
4x + x + 2x + 3x = 26 |
|||||||||
|
|
1 |
3 |
4 |
|
|
|
|
|
|
1 |
2 |
3 |
4 |
|
5 |
9x1 +10x2 − 7x3 − x4 = 23 |
6 |
|
2x1 −8x2 − 3x3 − 2x4 = −18 |
|||||||||||
|
|
|
− x3 − 5x4 = 37 |
|
|
|
|
|
− 2x2 + 3x3 − 2x4 = 28 |
||||||
|
7x1 |
|
|
|
|
x1 |
|||||||||
|
|
|
|
|
|
|
|
|
|
|
|
|
|
|
|
|
5x1 |
− 2x3 + x4 = 22 |
|
|
|
|
x2 |
+ x3 + x4 =10 |
|
||||||
|
4x + x + 2x + 3x = 26 |
|
|
|
11x + x + 2x = 21 |
||||||||||
|
|
1 |
2 |
3 |
4 |
|
|
|
|
|
|
2 3 |
4 |
|
|
7 |
6x1 − x2 +10x3 − x4 =158 |
8 |
|
2x1 − x2 + 4x3 + x4 |
= 66 |
||||||||||
|
|
|
+ x2 +10x3 + 7x4 |
|
|
|
|
|
|
− 6x2 + x4 = −63 |
|||||
|
2x1 |
=128 |
|
|
|
2x1 |
|||||||||
|
|
|
|
|
|
|
|
|
|
|
|
|
|
|
|
|
3x1 |
− 2x2 − 2x3 − x4 = 7 |
|
|
|
8x1 |
− 3x2 + 6x3 −5x4 =146 |
||||||||
|
x −12x + 2x − x =17 |
|
|
|
2x − 7x + 6x − x = 80 |
||||||||||
|
|
1 |
2 |
3 |
4 |
|
|
|
|
|
1 |
2 |
3 |
4 |
|
9 |
x1 − 2x2 + 6x3 + x4 = 88 |
10 |
|
2x1 − 3x3 − 2x4 = −16 |
|||||||||||
|
|
|
+ 2x3 − 3x4 |
|
|
|
|
|
|
|
− x2 +13x3 + 4x4 = 213 |
||||
|
5x1 |
= 88 |
|
|
|
|
2x1 |
||||||||
|
|
|
|
|
|
|
|
|
|
|
|
|
|
|
|
|
7x1 |
− 3x2 + 7x3 + 2x4 |
=181 |
|
|
|
3x1 |
+ x2 + 2x3 + x4 |
= 72 |
||||||
|
3x − 7x |
+ 5x |
+ 2x |
= 99 |
|
|
|
x −12x |
− 5x = −159 |
||||||
|
|
1 |
2 |
3 |
4 |
|
|
|
|
1 |
|
3 |
4 |
|
|
11 |
x1 − 2x2 −8x4 = −7 |
|
12 |
|
7x1 + 7x2 − 7x3 − 2x4 = 5 |
||||||||||
|
|
|
|
|
|
|
|
|
|
|
|
+ 4x2 + 5x3 + 8x4 = 60 |
|||
|
x1 + 4x2 − 7x3 + 6x4 = −8 |
|
|
|
3x1 |
||||||||||
|
|
|
|
|
|
|
|
|
|
|
|
|
|
|
|
|
x1 + x2 − 5x3 + x4 = −10 |
|
|
|
2x1 |
+ 2x2 + 2x3 + x4 = 27 |
|||||||||
|
2x − x + 2x = 7 |
|
|
|
|
2x − 2x − x = −1 |
|||||||||
|
|
1 |
2 |
4 |
|
|
|
|
|
|
1 |
3 |
4 |
|
|
13 |
2x1 + 2x2 + 6x3 + x4 =15 |
14 |
|
6x1 − 9x2 + 5x3 + x4 =124 |
|||||||||||
|
|
|
+ 2x3 + x4 =18 |
|
|
|
|
|
|
− 5x3 − x4 = −54 |
|||||
|
−x2 |
|
|
|
|
7x2 |
|||||||||
|
|
|
|
|
|
|
|
|
|
|
|
|
|
|
|
|
4x1 |
− 3x2 + x3 − 5x4 = 37 |
|
|
|
5x1 |
− 5x2 + 2x3 + 4x4 = 83 |
||||||||
|
3x − 5x + x − x = 30 |
|
|
|
3x − 9x + x + 6x = 45 |
||||||||||
|
|
1 |
2 |
3 |
4 |
|
|
|
|
|
1 |
2 |
3 |
4 |
|
|
|
|
|
|
|
|
|
|
|
|
58 |
|
|
|
|
15 |
4x1 − 5x2 + 7x3 + 5x4 =165 |
16 |
x1 + 2x2 + 2x3 + 4x4 = 30 |
|||||||
|
|
|
|
|
|
|
|
|
+ 2x2 − 3x3 + 4x4 =10 |
|
|
2x1 + x2 − 3x3 − x4 = −15 |
|
−x1 |
|||||||
|
|
|
|
|
|
|
|
|
|
|
|
9x1 + 4x3 − x4 |
=194 |
|
x2 − x3 + x4 |
= 3 |
|||||
|
x − x − 2x − 3x = −19 |
|
x + 5x + x + x =10 |
|||||||
|
|
1 |
2 |
3 |
4 |
|
1 |
2 |
3 4 |
|
Таблица 3 |
|
|
|
|
|
|
||||
|
|
|
|
|
||||||
№ |
|
Система уравнений |
№ |
Система уравнений |
||||||
1 |
5x + y2 = 9 |
|
2 |
2x2 |
+ 5 y2 = 3 |
|||||
|
|
|
|
|
|
|
|
|
|
|
|
−3x + y = −1 |
|
|
5x + 9 y = 3 |
||||||
3 |
2x − y = 3 |
|
|
4 |
3x2 |
+ 4 y2 = 4 |
||||
|
|
x |
2 |
+ y = 5 |
|
|
|
|
|
|
|
|
|
|
|
|
3x + 4 y = 2 |
||||
|
|
|
|
|
|
|
|
|
|
|
5 |
x − y = −8 |
|
|
6 |
5x2 |
+ 2 y2 = 4 |
||||
|
|
|
|
|
|
|
|
|
|
|
|
x2 |
+ y2 =10 |
|
|
2x + 7 y =1 |
|
||||
7 |
4x2 + y2 = 5 |
|
8 |
4x2 |
+ 5 y2 = 3 |
|||||
|
|
|
|
|
|
|
|
|
|
|
|
−7x + 3y = −4 |
|
5x + 3y =1 |
|
||||||
9 |
2x − y = 3 |
|
|
10 |
5x2 |
+ 6 y2 = 3 |
||||
|
|
|
|
|
|
|
|
|
|
|
|
x2 |
+ y = 5 |
|
|
|
7x + 3y =1 |
||||
11 |
−x2 + y2 = −3 |
12 |
3x2 |
+ 5 y2 = 3 |
||||||
|
|
|
|
|
|
|
|
|
|
|
|
4x |
+ 3y = −11 |
|
5x + 2 y = 2 |
||||||
|
|
|
|
|
|
|
|
|||
13 |
x2 |
− y = 2 |
|
|
14 |
7x2 |
+ 6 y2 = 3 |
|||
|
|
|
|
|
|
|
|
|
|
|
|
2x |
+ 3y =10 |
|
|
5x + 3y = 2 |
|||||
15 |
2x −3y = 2 |
|
16 |
5x2 |
+ 6 y2 = 3 |
|||||
|
|
x |
2 |
− y =14 |
|
|
|
|
|
|
|
|
|
|
|
|
3x + 2 y = 2 |
||||
|
|
|
|
|
|
|
|
|
|
|
59
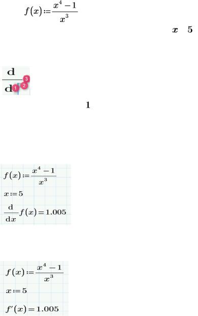
Лабораторная работа №5. Нахождение производных и интегралов
1. |
Вычисление производных |
|
|
|
|
|
|
Упражнение 1 |
|
|
|
|
|
Найти значение первой производной функции |
f (x) = |
x4 −1 |
|
в точке x = 5. |
||
x3 |
||||||
|
|
|
|
|||
Порядок выполнения: |
|
|
|
|
||
1. |
Запишите заданную функцию: |
|
|
|
|
|
2. Присвойте значение переменной := .
3.На вкладке Математика/Операторы выберите
, появится знак производной:
где,
– вставляют имя переменной;
– порядок производной, если производная -го порядка – это поле не заполняется;
– имя функции.
4. Для получения результата наберите знак равенства =.
Вид документа Mathcad Prime:
Эту же задачу можно решить пользуясь оператором
из вкладки
Математика/Операторы .
60