3. Определите пределы интервала изоляции и используйте их в функции .
Вид документа Mathcad Prime:
2. Решение уравнений с помощью ключевого слова 
Довольно значительное число уравнений поддаются аналитическому (символьному) решению – т.е. решению в обобщенном виде, когда корни уравнения представляются в виде какой-то формулы, выражающей их зависимость от входящих в уравнение функций и различных коэффициентов перед ними.
Для аналитического решения используется ключевое слово
из вкладки Символьные операции. Mathcad возвращает аналитические решения уравнения, если это возможно. В противном случае возвращаются численные решения. Если решаемое уравнение имеет несколько решений, Mathcad возвращает решения в виде вектора.
Чтобы решить уравнение, правая часть которого равна нулю, требуется ввести только левую часть уравнения и выбрать ключевое слово из вкладки Символьные операции.
Пример: x2 − 2x +1 = 0
46
Если уравнение содержит несколько переменных, укажите после ключевого слова
разделенный запятыми список переменных, относительно которых решается уравнение. Примеры:
Чтобы решить уравнение с учетом ограничения области определения переменной (например, решить уравнение для вещественных чисел),
используйте ключевые слова |
и модификатор с |
|
ключевым словом |
. |
|
Упражнение
Найти корни уравнения x4 −18x2 + 6 = 0.
Порядок выполнения: |
|
|
|
1. |
Введите левую часть уравнения |
. |
|
2. |
Выберите ключевое слово |
из вкладки Символьные операции, |
|
|
затем нажмите |
или щелкните мышью любое другое место. |
|
3. |
Для получения приближенных значений корней наберите знак =. |
||
47
Вид документа Mathcad Prime:
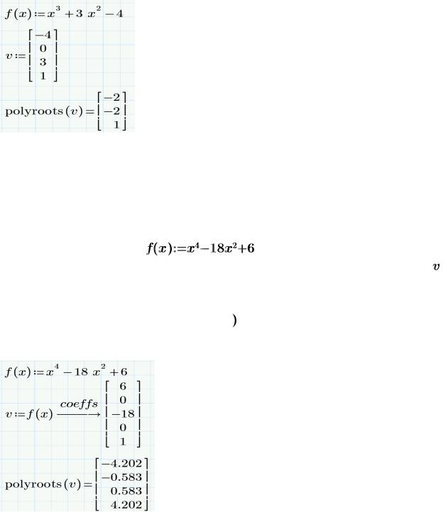
3. Решение уравнений с помощью функции 
Если функция |
f (x) в уравнении |
f (x) = 0 представляет собой полином |
|||||||
степени n , т. е. f ( x) = a |
xn + a |
n−1 |
xn−1 |
+ ... + a x1 |
+ a |
0 |
, то для решения можно |
||
|
n |
|
|
1 |
|
|
|
||
использовать |
встроенную функцию |
|
|
, Где, |
– вектор |
||||
коэффициентов полинома, в котором все компоненты располагаются в порядке возрастания степени:
|
a0 |
|
|
|
|
|
a 1 |
|
v := |
|
|
... |
|
|
|
an−1 |
|
|
|
|
|
an |
|
– возвращает вектор всех корней (как вещественных, так и комплексных) полинома –й степени, коэффициенты которого хранятся в массиве , длиной
.
Упражнение 1
Найти корни уравнения x3 + 3x − 4 = 0 .
Порядок выполнения:
1.Введите функцию 


.
2.Задайте вектор коэффициентов .
3.Запишите функцию
и затем знак равенства =.
48
Вид документа Mathcad Prime:
|
Упражнение 2 |
Найти корни уравнения x4 −18x2 + 6 = 0. |
|
Порядок выполнения: |
|
1. Введите функцию |
. |
2.Для автоматического формирования вектора коэффициентов ,
наберите 

и выберите ключевое слово
из вкладки
Символьные операции, затем нажмите 
3.Запишите функцию
и затем знак равенства =.
Вид документа Mathcad Prime:
49
|
|
|
|
|
|
|
|
|
|
|
|
|
|
|
Индивидуальные задания |
|||||||
1. |
Найти решение нелинейных уравнений с помощью функции root и |
|||||||||||||||||||||
|
|
ключевого слова solve (Табл. 1). |
||||||||||||||||||||
2. Найти корни полиномов (Табл. 2). |
||||||||||||||||||||||
Таблица 1 |
|
|
|
|
|
|
|
|||||||||||||||
|
|
|
|
|
|
|
|
|
|
|
|
|
|
|
|
|
|
|
|
|
|
|
№ |
|
|
Уравнение |
№ |
Уравнение |
|
||||||||||||||||
1 |
|
2x + 5 = ( x − 2)2 ; |
9 |
3x2 − ln |
|
x |
|
=125; |
|
|||||||||||||
|
|
|
||||||||||||||||||||
|
|
cos( x −1) + 3x − 2 = 0. |
|
2(x −1)2 − 5ex = 0. |
|
|||||||||||||||||
|
|
|
|
|
|
|
|
|
|
|
|
|
|
|
|
|
|
|
||||
2 |
|
|
|
|
|
|
|
|
|
|
|
|
|
|
|
10 |
0,5x3 − 0,1ex = −100; |
|
||||
|
x x +1 = 1; |
|
||||||||||||||||||||
|
|
sin x − 2x +10 = 0. |
|
x2 −10sin x = 0. |
|
|||||||||||||||||
3 |
|
x2 − 2x −10x = 0; |
11 |
−5x2 − 0, 25ex = −120; |
|
|||||||||||||||||
|
|
3x + cos x +1 = 0. |
|
x2 − 4 sin x − 2 = 0. |
|
|||||||||||||||||
4 |
|
0,5ex − 5x3 = 2; |
12 |
−x2 + sin x = −10; |
|
|||||||||||||||||
|
|
sin(0,5x2 + 0, 2) − x2 = −5. |
|
(x − 25)2 = 0,5ex . |
|
|||||||||||||||||
5 |
|
ex − 2x5 = 1; |
13 |
2x − 3x = 20; |
|
|||||||||||||||||
|
|
0, 9x2 − ln |
|
x − 5 |
|
= 0. |
|
cos x + 0,5x3 −100 = 0. |
|
|||||||||||||
|
|
|
|
|
|
|||||||||||||||||
|
|
|
|
|
|
|
|
|
|
|
|
|
|
|||||||||
6 |
|
0,125ex + x3 = 125; |
14 |
2x + x2 = 25; |
|
|||||||||||||||||
|
|
5x2 − ln |
|
x −1 |
|
− 25 = 0. |
|
sin x + x3 − 50 = 0. |
|
|||||||||||||
|
|
|
|
|
|
|||||||||||||||||
|
|
|
|
|
|
|
|
|
|
|||||||||||||
7 |
|
x3 − 5− x = 50; |
15 |
x3 − cos x = 50; |
|
|||||||||||||||||
|
|
5x3 − ln |
|
x |
|
−125 = 0. |
|
4x3 − 0.25ex = 0. |
|
|||||||||||||
|
|
|
|
|
|
|||||||||||||||||
|
|
|
|
|
|
|||||||||||||||||
8 |
|
arctg(x) − 0,25x3 = 50; |
16 |
x3 − 0,05ex − 2x = 0; |
|
|||||||||||||||||
|
|
x(x +1)2 −125 = 0. |
|
0,5x + 2 = ( x −1)2. |
|
|||||||||||||||||
Таблица 2
№ |
Уравнение |
№ |
Уравнение |
1 |
x4 − x −1 = 0; |
|
4x4 − x2 −1 = 0; |
|
x3 − 4x2 + 5x − 3 = 0. |
|
x 3 −3x2 + 9x −10 = 0. |
2 |
2x4 + 9x2 − 60x +1 = 0; |
10 |
x4 + 4x3 −8x2 −17 = 0; |
|
x3 − 2x + 2 = 0. |
|
x3 + 3x −1 = 0. |
3 |
3x4 + 4x3 −12x2 −5 = 0; |
11 |
3x4 +8x3 + 6x2 −10 = 0; |
|
x3 + 2x2 + 2 = 0. |
|
x3 + 0, 4x2 + 0, 6x −1, 6 = 0. |
4 |
x4 −18x2 + 6 = 0; |
12 |
x4 −18x2 + 6 = 0; |
|
x3 − 0,1x2 + 0, 4x +12 = 0. |
|
x3 − 0, 2x2 + 0,5x −1 = 0. |
|
|
|
50 |