Материал: Манипулятор. Анализ кинематики и построение рабочей зоны

Внимание! Если размещение файла нарушает Ваши авторские права, то обязательно сообщите нам

 

Зависимость  от  представлена на рис. 1.5.

График 1 соответствует , при этом момент инерции манипулятора относительно оси О1 изменяется от  при q2=0 до

График 2 соответствует , при этом момент инерции манипулятора относительно оси О1 изменяется от  при q2=0 до

Вариация момента инерции манипулятора относительно оси О1, обусловленная изменением массы перемещаемого груза равна

;

;

Рис.1.5

Таким образом, можно утверждать, что изменение конфигурации манипулятора в значительно большей мере влияет на момент инерции манипулятора относительно оси О1, чем изменение массы перемещаемого груза.

электропривод груз локоть инерция

1.3 Построение диаграмм цикла движения звеньев

Цикл работы ПР содержит:

прямой ход с грузом;

паузу на ожидание и опускание груза;

обратный ход без груза;

паузу на ожидание и взятие груза.

Диаграммы цикла перемещения звеньев представляют собой зависимости перемещений, скоростей и ускорений звеньев от времени.

Диаграммы строят с учетом заданных в варианте перемещений звеньев  ,  , максимальных скоростей q̇max1 , q̇max2 и ускорений q̇˙max1 , q̇˙max2.

При этом в зависимости от заданного перемещения  и максимального ускорения q̇˙maxi форма тахограммы q̇i (t) может быть треугольной или трапецеидальной. Форму тахограммы можно определить, анализируя справедливость неравенства

 

где  - номер звена ( = 1, 2 );

 - заданное перемещение i-го звена, рад;

 -заданное максимальное ограничение скорости i-го звена, рад/с;

 - заданное максимальное ускорение-го звена, рад/.

Если условие (1.3) выполняется, то тахограмма имеет форму треугольника, если не выполняется, то тахограмма имеет форму трапеции.

Для 1-го звена:

 ,

 ;

Т.к. условие выполняется - график скорости -го звена имеет форму треугольника.

Для 2-го звена:

 ,

;

;

Условие не выполняется, поэтому график скорости для -го звена имеет форму трапеции.

Рассчитаем тахограмму -го звена.

Для 1-го звена при треугольной тахограмме движения определяем реальное максимальное значение скорости, до которой разгонится 1-е звено, двигаясь с ускорением  и перемещаясь на угол

 

где  - фактическое максимальное значение скорости, до которой разгонится звено при заданном перемещении  и заданном максимальном ускорении ,

 ,  -время разгона и торможения 1-го звена ПР, с..

 рад/с ;

 с.

Для 2-го звена при трапецеидальной тахограмме движения

 

где  ,  - время разгона и торможения , с;

 ,  - максимальное значение скорости (рад/с) и ускорения (рад/с2) второго звена.

;

Рассчитаем тахограмму 2-го звена.

.        Путь , пройденный при разгоне или при торможении 2-го звена

 

 

 

 

 

2.      Путь, пройденный звеном при установившемся движении (движение с постоянной скоростью  )

 ;

 рад.

Время установившегося движения звена

 с.

Заданное время цикла

 

 с;

Время работы в цикле-го звена

 

Время работы в цикле 1-го звена:

с;

Время работы в цикле 2-го звена:

 с ;

Т.к. время работы в цикле определяется по наибольшему времени работы звена, то выбираем

 с.

Суммарное время пауз:

 ,

Для 1-го звена ПР: ( 8 )

,

Для 2-го звена ПР:

 с ,

Выбираем суммарное время паузы

 с .

Время паузы на ожидание и отпускание груза  считают равным времени на ожидание и взятие груза  и принимают равным .

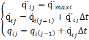
Блок-схема программы для расчёта диаграмм движения звеньев ПР приведены на рис.1.6, расчет которых произведен используя метод Эйлера согласно следующей системе уравнений

 

где , ,  - значения ускорения, скорости и перемещения -го звена на -м шаге расчета;

 - приращение времени процесса ().

Рис.1.6

На рис.1.7 показаны диаграммы движения 1-го звена манипулятора, а на рис.1.8 показаны диаграммы движения 2-го звена манипулятора. Сравнение этих графиков с техническим заданием показывает, что они полностью соответствуют техническому заданию.

Рис1.7

Рис.1.8

2. Вывод уравнений обобщенных сил

2.1.   Общие положения

Звенья роботов, их механические передачи и электрические двигатели представляют собой систему материальных тел, связанных между собой жесткими и упругими связями. Понятие статического и динамического режимов, которые обычно применяют для одномассового приведенного звена, для 2-х координатного электропривода неприемлемы. Здесь все режимы динамические, в большей мере обусловлены взаимным влиянием звеньев и электроприводов друг на друга.

Решение этой задачи удобно вести при использовании дифференциальных уравнений движения системы в обобщенных координатах, или при использовании уравнений Лагранжа 2-го рода.

 

где  - порядковый номер звена ПР;

 ,  - обобщенная координата и обобщенная скорость i -го звена;

- обобщенная сила или момент сил, приложенных к i -му звену;

 - суммарная кинетическая энергия манипулятора;

 - суммарная потенциальная энергия манипулятора.

Количество управлений равно количеству звеньев. В результате решения уравнений получают выражение обобщенных сил как функции от  ,  ,  ,  , .

2.2 Расчет кинетической энергии груза .

Кинетическая энергия груза определяется по формуле

 

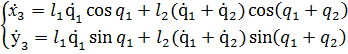
Если представить груз материальной точкой, расположенной в точке О3 (рис.1.3), то его координаты на плоскости х-у определяются системой двух уравнений

 

Продифференцируем систему уравнений по времени, чтобы определить проекции скорости груза на оси координат

 

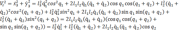
Скорость груза можно определить по формуле:

 

Кинетическая энергия груза может быть определена по формуле


2.3 Расчет кинетической энергии локтя

Локоть будем рассматривать как однородный стержень длиной , с площадью поперечного сечения  и плотностью материала

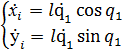
Выберем точку массой dm2 , находящейся на расстоянии  от  , тогда ее координаты будут определяться системой уравнений и длиной 2

 

Проекции скорости элемента локтя массой dm на оси х и у

 

Скорость элемента локтя массой dm определяется формулой:

 

Кинетическая энергия элемента локтя массой dm2, которая расположена на расстоянии  от точки О2

 

Элемент массой локтя можно представить в виде

 

где  - усреднённая плотность материала локтя ПР,

 - усреднённая площадь поперечного сечения локтя

 - длина элемента массы

Кинетическую энергию локтя получим в результате интегрирования локтя по его длине

 

Поскольку ось О2 проходит через конец локтя, то . С учетом этого получим

 ,

2.4   Расчет кинетической энергии плеча манипулятора

Плечо манипулятора будем рассчитывать как однородный стержень сечением  и . Выберем материальную точку длиной  и массой  расположенную на расстоянии  от  , тогда получим координаты элемента плеча манипулятора на оси х и у

 ;

Проекции скорости элемента плеча манипулятора на оси х и у:

 ;