КОМПЛЕКСНЫЕ СОЕДИНЕНИЯ
Доц. Сидун М.С.
Содержание
I.Понятие о комплексных соединениях с точки зрения теории Льюиса.
II. Координационная теория А.Вернера и современные представления о строении комплексных соединений.
III. Равновесие в растворах комплексных соединений.Устойчивость комплексных соединений.
IV. Железо-, кобальто-, медь- и цинксодержащие комплексы. Функциональное строение порфиринов:
1)гемоглобин – строение,механизмы работы;
2)общий путь образования тетрапиррольных предшественников (синтез основы);
3)синтез гемоглобина;
4)биосинтез хлорофиллов.
V. Комплексоны и их применение в медицине (хелатотерапия).
І. Понятие о комплексных соединениях с точки зрения теории Льюиса.
Комплексными соединениями (КС) называют соединения, в узлах кристаллических решеток которых распределяются комплексные ионы, способные к существованию в растворе.
С точки зрения теории Льюиса КС – это такие соединения, которые образуются при взаимодействии с кислотами Льюиса и основаниями Льюиса по донорно-акцепторному механизму.
Например: В (1s22s22p1)
2p1
2s2
1s2
C молекулой фтора бор образует ковалентную связь BF3, но у бора есть свободная орбиталь. На эту свободную орбиталь претендует ион фтора F-, образуется комплексный йон [BF4]-. Бор является кислотой Льюиса, а ион
1
фтора F-, который имеет свободную пару электронов, – основанием Льюиса. Например,
BF3 + F- ↔ [BF4]- |
Co 3+ + 6NO2- ↔ [Co(NO2)6]3- |
|
кислота основание |
кислота |
основание |
Льюиса Льюиса |
Льюиса |
Льюиса |
II. Координационная теория А.Вернера и современные представления о строении комплексных соединений.
Впервые теоретическое обоснование и объяснение комплексные соединения получили в координационной теории А. Вернера (1893г.). В 1913 г. за координационную теорию Вернеру присуждена Нобелевская Премия. Согласно теории Вернера:
1) комплексные ионы состоят из:
а) центрального атома (комплексообразователя);
б) лигандов (аддендов).
Центральные атомы – ионы металлов Pt, Fe, Co, Ni, Cu с переменной валентностью, реже – атомы неметалла (B+3, S+4, P+4)
Лиганды – нейтральные молекулы воды, аммиака, а также анионы Cl-, F-, NO2- и другие кислотные остатки.
2)комплексообразователи кроме главных валентностей, обладают побочной
валентностью, за счет которой и образуются комплексные ионы. Например: [PtCl6]2-
Вэтом комплексном ионе 4 связи Pt–Cl образованы за счет главной валентности (ковалентная связь), а 2 связи за счет побочной валентности (по донорно-акцепторному механизму).
2-
Cl
Cl |
Cl |
Pt

Cl Cl
Cl
3)каждый центральный атом имеет свое координационное число (КЧ) - это число δ-связей, которые образует центральный атом в комплексном ионе (число лигандов).
Например, в комплексном ионе [Co(NO2)6]3- катион Co3+ – центральный атом (ц.а.); КЧ=6; группа NO2- – лиганд.
2
Координационное число бывает равно 4 или 6, но иногда может быть равно 2, 3, 8. КЧ изменяется с изменением степени окисления комплексообразователя: Pt2+ → КЧ=4; Pt4+ → КЧ=6
4)каждый лиганд характеризуется дентатностью – это число координационных мест (количество связей), которое занимает обычный лиганд.
Обычно: 1 лиганд – 1 координационное место (монодентатные), но есть лиганды, занимающие 2 координационных места (полидентатные).
Лиганд, образующий одну связь с комплексообразователем, - монодентатный: Cl-; I-; OH-; H2O; NH3 и т.д. Например, в комплексном ионе [HgI4]2- анион I- – монодентатный лиганд:
2-
I I
Hg
I I
Бидентатные лиганды: SO42-; CO32-; C2O42-, т.е. анионы двухосновных кислот. Например, в комплексном ионе [Hg(С2O4)2]2- оксалат анион (C2O42-) – бидентатный лиганд:
2-
O
C O O C
O
+2
Hg
O
C O O C
O
Пример полидентатного лиганда – ЭДТА (этилендиаминтетраацетат) или трилон Б.
Это кислота – четырехосновная, кроме того, возможно образование еще 2 связи по двум азотам (свободные электронные пары). ЭДТА – гексадентатный лиганд. ЭДТА является комплексом, который образует водорастворимые внутрикомплексные (хелатные) соединения.
-OOC |
|
CH2 |
CH2 |
|
COO- |
||
|
|
||||||
|
|
N CH2 |
|
CH2 N |
|
|
+ Ca2+ |
|
|
|
|||||
-OOC |
|
CH2 |
CH2 |
|
COO- |
||
3
-OOC CH2 |
H2C |
CH2 |
CH2 COO- |
|
N |
|
N |
CH2 |
Ca |
CH2 |
|
|
|
||
|
O |
O |
|
|
C |
|
C |
|
|
|
|
|
O |
|
O |
5)комплексообразователь и лиганды составляют внутреннюю среду комплекса (в квадратных скобках). Ионы, нейтрализующие заряд внутренней сферы – внешняя сфера комплекса.
n±
L L
An Me
LL
А– внешняя сфера; Ме – центральный атом; L – лиганды; [ ] – внутренняя
сфера
Например,
K4[Fe(CN)6]
K – внешняя сфера; Fe – ц.а.; CN – лиганды
III. Равновесие в растворах комплексных соединений. Устойчивость комплексных соединений.
Рассмотрим комплексную соль K4[Fe(CN)6]. Эта соль – сильный электролит, поэтому диссоциирует полностью:
K4[Fe(CN)6] → 4K+ + [Fe(CN)6]4-
Комплексный ион – слабый электролит, и диссоциирует ступенчато. Устойчивость комплекса характеризуется диссоциацией комплексного иона, т.е. диссоциацией внутренней сферы.
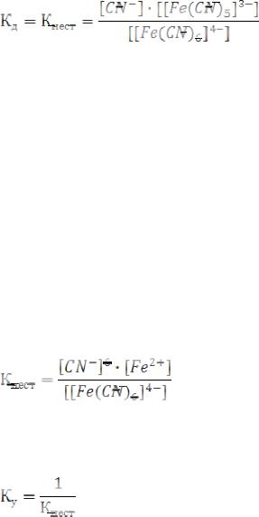
I ступень [Fe(CN)6]4- ↔ [Fe(CN)5]3- + CN-
4
Константа диссоциации комплексного иона называется константа нестойкости:
II ступень [Fe(CN)5]3- ↔ [Fe(CN)4]2- + CN-
III ступень [Fe(CN)4]2- ↔ [Fe(CN)3]- + CN-
IV ступень [Fe(CN)3]- ↔ [Fe(CN)2] + CN-
V ступень [Fe(CN)2] ↔ [Fe(CN)]+ + CN-
VI ступень [Fe(CN)]+ ↔ Fe2+ + CN-
Суммарный процесс диссоциации:
[Fe(CN)6]4- ↔ Fe2+ + 6CN-
Общее значение константы нестойкости определяется произведением величин Кнест всех ступеней диссоциации:
Кнест = Кнест1 × Кнест2 × Кнест3 × Кнест4 × Кнест5 × Кнест6
Чем меньше величина Кнест, тем прочнее соединение.
Константа устойчивости – величина обратная константе нестойкости:
Константа устойчивости комплекса связана с термодинамическими функциями уравнения изотермы:
Go = -2.3RT·lgKy
Go – изменение стандартной энергии Гиббса (изобарно-изотермический потенциал)
Go = Ho – T So = -2.3RT·lgKy
Ho – стандартная энтальпия реакции;
So – изменение энтропии реакции.
5