Материал: Курсовой_целиком

Внимание! Если размещение файла нарушает Ваши авторские права, то обязательно сообщите нам

Решив систему уравнений, найдем координаты рабочей точки. Результаты аналитического расчета значений координат рабочей точки представим в таблице 2.3.2.

Таблица 2.3.2

Параметр

UЗИ0, В

IС0, мА

UСИ0, В

Значение

4,214

2,170

7,188

 

 

 

 

Рабочий режим усилительного каскада практически совпадает с выбранным: UЗИО=4,218 В; IСО=2,190 мА; UСИО =7,116 В (таблица 2.2.3).

Аналитический расчет коэффициента усиления напряжения каскада с учетом внутреннего сопротивления источника сигнала

Малосигнальная схема замещения усилительного каскада с общим истоком приведена на рисунке 2.3.1.

Рисунок 2.3.1 - Малосигнальная схема замещения усилительного каскада с общим истоком

В соответствии со схемой на рисунке 2.3.1 запишем формулу для расчета выходного напряжения:

и формулу для расчета напряжения затвор-исток:

16

Рассчитаем сопротивление R12:

Рассчитаем коэффициент усиления напряжения с учетом внутреннего сопротивления источника сигнала:

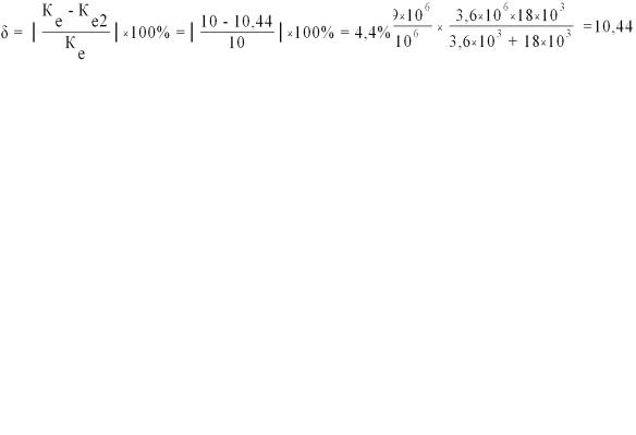
Рассчитаем относительную погрешность δ коэффициента усиления по напряжению с учетом внутреннего сопротивления источника сигнала:

где Ке = 10 – минимальный заданный коэффициент усиления.

Погрешность расчета не превышает 10%.

Определим значение входного сопротивления усилителя [2]: RВХ = R12 = 1,059 МОм

Определим значение выходного сопротивления усилителя [2]: RВЫХ RС = 3,6 кОм (таблица 2.3.1)

2.4. Графический расчет усилительного каскада

Выведем формулу для линии нагрузки. По второму закону Кирхгофа:

IС × RИ = UЗ - UЗИ

IС = (UЗ - UЗИ) / RИ

17

Перепишем формулу для тока стока с учетом формулы (2), получим формулу для линии нагрузки:

С помощью программы Design Lab 8.0 для схемы на рисунке 2.2.1 на графике стоко-затворной характеристики транзистора построим линию нагрузки по постоянному току.

Результаты представлены на рисунке 2.4.1.

Рисунок 2.4.1 - Стоко-затворная характеристика транзистора МДП-N-25 с линией нагрузки по постоянному току

Определяем координаты рабочей точки транзистора - точки пересечения стоко-затворной характеристики и нагрузочной прямой:

рабочий ток стока IСО = 2,169 мА,

рабочее напряжение затвор-исток UЗИО = 4,211 В.

Запишем формулу для линии нагрузки с учетом второго закона Кирхгофа и учитывая, что сопротивление истока намного меньше сопротивления стока: RИ<<RC:

18

С помощью программы Design Lab 8.0 для схемы на рисунке 2.2.1 на графике выходных характеристик транзистора построим линию нагрузки по постоянному току. Результаты представлены на рисунке 2.4.2.

Рисунок 2.4.2 – Выходные характеристики транзистора МДП-N-25 с линией нагрузки по постоянному току

Определяем координату рабочей точки транзистора – точки пересечения выходной характеристики транзистора для рабочего напряжения UЗИО=4,211 В и нагрузочной прямой:

рабочий ток стока IСО=2,168 мА,

рабочее напряжение сток-исток UСИО =7,195 В.

Результаты графического расчета усилительного каскада представим в таблице 2.4.1. Таблица 2.4.1

Параметр

UЗИ0, В

IС0, мА

 

UСИ0, В

Значение

4,211

2,169

 

7,195

 

 

 

 

 

 

 

 

19

2.5. Расчет конденсаторов

По заданной нижней границе полосы пропускания fН = 75 Гц рассчитаем значения емкости разделительных конденсаторов CP1, CP2 и конденсатора в цепи истока CИ [2]:

Округлим полученные значения емкости разделительных конденсаторов до ближайших из номинального ряда Е24:

CP1 = 0,022 мкФ; CP2 = 1 мкФ.

Округлим полученные значения емкости конденсатора в цепи истока до ближайшего из номинального ряда Е6:

CИ = 330 мкФ.

20