Материал: Курсовой_целиком

Внимание! Если размещение файла нарушает Ваши авторские права, то обязательно сообщите нам

Определенное значение порогового напряжения U0 и рассчитанное значение удельной крутизны транзистора b представим в таблице 2.2.1.

Таблица 2.2.1

Параметр

U0

b

Единицы измерения

В

мА/В2

Значение

3,000

2,952

 

 

 

Определенное значение порогового напряжения соответствует заданному для модели: U0= VTO =3,0 В (таблица 1).

Рассчитанное значение удельной крутизны превышает заданное для модели: b > KP=2,75 мА/В2 (таблица 1).

Определение значения координат рабочей точки и напряжения питания усилителя

Принимаем, что значение сопротивления в цепи стока RC меньше, чем заданное значение сопротивления нагрузки RН =18 кОм. Рассчитаем значение сопротивления RC с учетом понижающего коэффициента 0,2:

RC = 0,2 × RН = 0,2 × 18 × 103 = 3,600 кОм

Полученное значение удовлетворяет условию, что значение сопротивления RC должно находиться в интервале 103÷104 Ом [2].

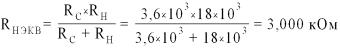
Обозначим RHЭКВ сопротивление параллельно соединенных резисторов RC и RН. Рассчитаем значение сопротивления RHЭКВ:

Таблица 2.2.2

Параметр

RС, кОм

RНЭКВ, кОм

Значение

3,600

3,000

 

 

 

6

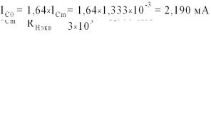
Рассчитаем значение тока стока IСm для минимального заданного выходного напряжения UНm = 4 В по закону Ома:

Принимаем, что значение тока стока рабочей точки в 1,64 раза больше, чем значение рассчитанного тока стока IСm. Рассчитаем значение тока стока в рабочей точке:

Сравним полученное значение тока стока в рабочей точке с заданным предельно допустимым значением тока IСдоп = 70 мА (таблица 1):

IС0 < IСдоп

Предельно допустимое значение тока не превышено.

Принимаем минимальное значение напряжения сток-исток UСИmin равным 1 В, так как транзистор маломощный: предельно допустимая заданная мощность РСмак = 0,2 Вт (таблица 1) < 0,3 Вт [3]. Рассчитаем напряжение между стоком и истоком в рабочей точке с учетом коэффициента запаса 1,4:

UСИ0 = 1,4UНm + |UСИmin| = 1,4 × 4 + 1 = 6,6 В.

Значение напряжения питания усилителя можно рассчитать по второму закону Кирхгофа:

UП = UСИ0 + IС0 × (Rc + Rи)

Учитывая, что сопротивление истока намного меньше сопротивления стока: RИ<<RC, рассчитаем напряжение питания:

UП UСИ0 + IС0 × Rc = 6,6 + 2,190×10-3×3,6×103 = 14,48 В

Округляя полученное значение напряжения питания до ближайшего большего значения номинального ряда, принимаем напряжение питания:

UП = 15,00 В.

7

Пересчитаем значение рабочего напряжения сток-исток с учетом принятого значения напряжения питания:

UСИ0 = UП - IС0 × Rc = 15 - 2,190×10-3×3,6×103 = 7,116 В

Сравним полученное значение напряжения UСИ0 с суммой минимальных значений заданного выходного напряжения (UHm = 4 В) и напряжения затвор-исток (UЗИmin = U0 = 3 В (таблица 2.2.1)):

7,116 В > UHm + |UЗИmin| = 4 + 3 = 7 В,

Значение рабочего напряжения сток-исток превышает сумму минимальных значений заданного выходного напряжения и напряжения затвор-исток.

С помощью программы Design Lab 8.0 для схемы на рисунке 2.2.1 снимаем выходные характеристики транзистора для заданных параметров модели при интервале изменения напряжения между стоком и истоком UСИ от 0 до 15 В с шагом 0,1 В, с интервалом изменения напряжения между затвором и истоком UЗИ от 3 до 5 В с шагом 0,2 В. Результаты представлены на рисунке 2.2.3.

Рисунок 2.2.3 - Выходные характеристики транзистора МДП-N-25

8

В режиме холостого хода ток стока IС=0, следовательно, UСИ = UП =15 В.

Отметим на графике выходных характеристик транзистора рабочую точку А (UСИ0=7,116 В; IС0=2,190 мА) и точку напряжения питания усилителя UП=15 В при нулевом токе стока. Проведем через эти точки нагрузочную прямую. Результаты представим на рисунке 2.2.4.

Рисунок 2.2.4 - Выходные характеристики транзистора МДП-N-25 и нагрузочная кривая

На пересечении нагрузочной прямой с осью тока стока IC получим максимальное значение тока стока:

ICmax = 4,167 мА

Сравним полученное значение максимального тока стока с заданным предельно допустимым значением тока стока ICдоп = 70 мА (таблица 1):

ICmax < ICдоп

Предельно допустимое значение тока не превышено.

Сравним полученное значение напряжения питания UП = 15 В с заданным предельно допустимым значением напряжения между стоком и истоком UСИдоп = 45 В (таблица 1):

UП < UСИдоп.

Предельно допустимое значение напряжения между стоком и истоком не превышено.

9

Рассчитаем мощность, рассеиваемую на транзисторе:

Р = IС0 × UСИ0 = 2,190 × 10-3 × 7,116 =15,58 мВт

Сравним полученное значение мощности с заданным предельно допустимым значением мощности РСмакс = 200 мВт (таблица 1):

Р < РСмакс

Предельно допустимое значение мощности не превышено.

Определим рабочее напряжение затвор-исток из выходных характеристик транзистора

(рисунок 2.2.4): UЗИ0 = 4,218 В

Определенные значения координат рабочей точки и напряжения питания представим в таблице 2.2.3.

Таблица 2.2.3

Параметр

UЗИ0, В

IС0, мА

UСИ0, В

UП, В

Значение

4,218

2,190

7,116

15,00

 

 

 

 

 

Расчет малосигнальной крутизны и выходного сопротивления транзистора

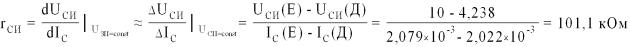
На построенной выходной характеристике транзистора (рисунок 2.2.4), ближайшей к рабочей кривой, при постоянном значении напряжения UЗИ = 4,2 В поставим точки D и E с двух сторон от рабочей точки А.

Спомощью программы Design Lab 8.0 определим в точках D и E ток стока: Iс(D) = 2,022 мА,

Iс(E) = 2,079 мА.

Спомощью программы Design Lab 8.0 определим в точках D и E напряжение между стоком и истоком:

Uси(D) = 4,238 В, Uси(E) = 10,00 В.

Рассчитаем выходное сопротивление транзистора [1]:

10