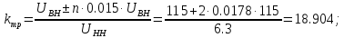
Пределы регулирования ТРДНС-25000/110
Устанавливаем 2 отпайку РПН. Коэффициент
трансформации расщепленной обмотки
РТСН, подключенной к резервной секции
А с.н., будет следующим:

Коэф. трансформации расщепленной обмотки РТСН, подключенной к резервной секции Б с.н., будет таким же, как и у расщепленной обмотки РТСН, подключенной к резервной секции А с.н.

Рисунок 9 – Отрегулированные напряжения в узлах

Рисунок 10 – Данные ветвей после регулирования напряжения
Произведены мероприятия по регулированию напряжения в узлах. Далее необходимо перейти к расчету переходного режима двигателей с.н.
В процессе эксплуатации на шинах с.н. возможны кратковременные понижения или даже полное исчезновение напряжения на время перерыва питания, что не должно приводить к расстройству технологического процесса электростанции. Для этого необходимо, чтобы электродвигатели ответственных механизмов, затормозившиеся при нарушении нормального питания, вновь развернулись до нормальной частоты вращения, т.е., чтобы состоялся самозапуск электродвигателей с.н. Максимальное время успешного самозапуска двигателей с.н. составляет [Голоднов]: для ТЭС высокого давления – 25 с;
Рассмотрим различные ситуации исчезновения или перерыва напряжения в следующей последовательности:
Короткое замыкание на электродвигателе (КН, узел 34).
Короткое замыкание на секции шин (узел 5).
Короткое замыкание на трансформаторе собственных нужд при срабатывании защиты этого трансформатора.
Короткое замыкание на трансформаторе с.н. при отказе
дифференциальной защиты и срабатывании резервной.
Отказ АВР и обеспечение запуска двигателей при помощи резервного трансформатора.
КЗ в двигателе с последующим отключением его токовой отсечкой. Выбран самый маломощный двигатель (ВГД шины А) для исследования наиболее тяжелого режима самозапуска наиболее мощных ЭД.

Рисунок 11 – Действия автоматики при КЗ в двигателе

Рисунок 12 – Графики переходного процесса для напряжений на шинах с.н. и скольжения АД
Как видно из графиков, поврежденный двигатель полностью остановится за 1 секунду и практически никак не повлияет на работу остальных двигателей.
КЗ на шине с.н. Далее произошло отключение низкой стороны ТСН максимальной токовой защитой с последующим действием АВР и включением выключателя Q10.

Рисунок 13 – Действие автоматики при КЗ на шине с.н.

Рисунок 14 - Графики переходного процесса для напряжений на шинах с.н. и скольжения АД
При срабатывании резервной защиты
(МТЗ)
,
и переключении питания на РТСН с помощью
АВР, самозапуск двигателей осуществляется
за примерно 4 с, что удовлетворяет условию
самозапуска двигателей с.н.
КЗ на высокой стороне трансформатора с.н. Сработала основная защита трансформатора (диф. защита), полностью отключив рабочий ТСН от сети.

Рисунок 15 – Графики переходного процесса для напряжений на шинах с.н. и скольжения АД

Рисунок 16 - Действие автоматики при КЗ в ТСН
В данном случае произошло быстрое отключение ТСН от сети и запитка шин с.н. от резервного ТСН. Самозапуск двигателей при переключении питания осуществлен успешно и быстро.
КЗ на высокой стороне трансформатора с.н. Отказала основная защита трансформатора (диф. защита), сработала резервная защита, полностью отключив рабочий ТСН от сети.

Рисунок 17 - Графики переходного процесса для напряжений на шинах с.н. и скольжения АД при срабатывании МТЗ

Рисунок 18 - Действие автоматики при КЗ в ТСН и срабатывании МТЗ
Как видно из графиков, при срабатывании резервной защиты трансформатора (МТЗ), увеличивается время действия КЗ, тем самым усложняя самозапуск двигателей. Но несмотря на увеличение времени самозапуска двигателей, все АД запустились менее чем за 5 с.
В данном случае основная защита
трансформатора (диф. защита ТСН) с
временем срабатывания
(c учетом времени срабатывания
выключателя) полностью отключила его
от сети, но отказал АВР. Тем самым приводя
к полному исчезновению питания секций
с.н. и полному останову всех двигателей
с.н.

Рисунок 19 – Графики переходного процесса при отказе АВР
Как видно из графиков, полная остановка двигателей произошла через 72.5 секунд спустя начала КЗ. Через 5 с после остановки АД рабочий персонал запустил резервный ТСН. Запущена секция А с.н. Для облегчения самозапуска мощных ответственных АД были отключены неответственные АД.

Рисунок 20 – График переходного процесса при отказе АВР

Рисунок 21 – Действия автоматики при отказе АВР
Как видно из графиков, персонал ввел в работу резервный ТСН, так как откзал АВР, момент 77.5 с после отключения защитой ТСН. В первый момент были запущены только мощные ответственные АД. Их запуск оказался успешным.

Рисунок 22 – Запуск неответственных АД секции А с.н.
Как видно из графиков, полный запуск секции А с.н. осуществился через 222 с после возникновения КЗ. Самый долгий запуск – это запуск АД дробилки из-за большой инерционности двигателя.

Рисунок 23 – Запуск секции Б с.н.
Как видно из графиков, запуск секции Б с.н. успешен и полный запуск всех мощных ответственных АД завершится через 245 с с момента начала КЗ.

Рисунок 24 – Запуск неответственных АД секции Б с.н.
Как видно из графиков, запуск всех двигателей произойдет через 272 с. Но появляется следующая проблема, напряжение на секции Б с.н. принимает значение 5.73 кВ ниже допустимого предела в 6 кВ, необходимо улучшить систему возбуждения генератора, чтобы достичь более высоких значений.

Рисунок 25 – Переходный процесс с измененным коэффициентом трансформации
После регулировки коэффициента трансформации РТСН, напряжение на шине А с.н. повысилось и теперь удовлетворяет уровню допустимого отклонения напряжения. Но при этом усложняется пуск АД РВ, хотя такое повышение напряжения на секции А с.н. никак не повлияет на запуск остальных двигателей секции А с.н.

Рисунок 26 – Действия автоматики при отказе АВР
Полный самозапуск двигателей успешен лишь спустя 5 минут. В данном случае была смоделирована тяжелая авария, в которой нельзя исключать полное нарушение технологического процесса на ТЭС, с последующим остановом генераторов и выпадением генераторов из синхронизма с энергосистемой, а это уже привод к тяжелой системной аварии.
Таблица 17 – Суточный график нагрузки
|
Часы |
Нагрузка |
Часы |
Нагрузка |
Часы |
Нагрузка |
|
1 |
0,69 |
9 |
1,29 |
17 |
0,78 |
|
2 |
0,72 |
10 |
1,13 |
18 |
0,83 |
|
3 |
0,77 |
11 |
0,98 |
19 |
0,89 |
|
4 |
0,85 |
12 |
0,92 |
20 |
0,92 |
|
5 |
0,96 |
13 |
0,86 |
21 |
0,9 |
|
6 |
1,15 |
14 |
0,8 |
22 |
0,85 |
|
7 |
1,3 |
15 |
0,75 |
23 |
0,8 |
|
8 |
1,33 |
16 |
0,75 |
24 |
0,69 |
Рисунок
27 – Суточный график нагрузки
Выделяем участок наибольшей перегрузки h’ = 5 часов (6-10 интервалы).
По оставшимся интервалам рассчитываем начальную нагрузку К1 эквивалентного графика.
Таблица 18 – Интервалы нагрузки для определения К1
|
|
|
|
|
|
|
1 |
1 |
0,69 |
0,476 |
0,476 |
|
2 |
0,72 |
0,518 |
0,518 |
|
|
3 |
0,77 |
0,593 |
0,593 |
|
|
4 |
0,85 |
0,723 |
0,723 |
|
|
5 |
0,96 |
0,922 |
0,922 |
|
|
11 |
0,98 |
0,960 |
0,960 |
|
|
12 |
0,92 |
0,846 |
0,846 |
|
|
13 |
0,86 |
0,740 |
0,740 |
|
|
14 |
0,8 |
0,640 |
0,640 |
|
|
15 |
0,75 |
0,563 |
0,563 |
|
|
16 |
0,75 |
0,563 |
0,563 |
|
|
17 |
0,78 |
0,608 |
0,608 |
|
|
18 |
0,83 |
0,689 |
0,689 |
|
|
19 |
0,89 |
0,792 |
0,792 |
|
|
20 |
0,92 |
0,846 |
0,846 |
|
|
21 |
0,9 |
0,810 |
0,810 |
|
|
22 |
0,85 |
0,723 |
0,723 |
|
|
23 |
0,8 |
0,640 |
0,640 |
|
|
24 |
0,69 |
0,476 |
0,476 |

Рассчитываем перегрузку К’2 эквивалентного графика нагрузки.
Таблица 19 – Интервалы нагрузки для определения К’2
|
|
|
|
|
|
|
6 |
1 |
1,15 |
1,323 |
1,323 |
|
7 |
1,3 |
1,690 |
1,690 |
|
|
8 |
1,33 |
1,769 |
1,769 |
|
|
9 |
1,29 |
1,664 |
1,664 |
|
|
10 |
1,13 |
1,277 |
1,277 |

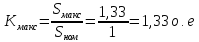
Полученное значение сравниваем с
.
Так как
,
то принимаем

Рисунок
28 – Двухступенчатый график нагрузки
трансформатора
Определим эквивалентную температуру охлаждающей среды и постоянную времени нагрева трансформатора, примем температуру охлаждающей среды:

Параметры для ТРДНС - 25000/10: