Материал: курсач

Внимание! Если размещение файла нарушает Ваши авторские права, то обязательно сообщите нам

3.1 Постановка завдання

Організувати перевалку вантажів без складування в пунктах взаємодії можливо по трьох варіантах:

  • без затримки РС j-го виду транспорту;

  • із затримкою РС j-го виду транспорту;

  • з використанням бункерних складів.

По першому варіанту можлива робота пункту взаємодії при строгому узгодженні розкладів і узгодженому надходженні РС j-го та і-го видів транспорту. Проте здійснити повне узгодження, а головне виконання графіка руху j-го та і-го видів транспорту з високою точністю менше однієї години неможливо. Тому в пунктах взаємодії використовують різні способи згладжування нерівномірності надходження транспортних потоків, накопичення вантажів в кількості необхідної для компенсації неузгодженості в підході суден, вагонів без перевалки. Для підвищення частки вантажів, які перенавантажуються по прямому варіанту доступні наступні способи:

  • склад на колесах – вантаж накопичується у вагонах, які можуть належати залізниці або відноситися до загального парку того або іншого господарюючого суб’єкта;

  • склад на плаву – накопичення вантажу або порожнього тоннажу здійснюється затримкою суден;

  • використання бункерних складів – споруджують в пунктах взаємодії, в портах, на залізничних станціях, вантажних дворах і так далі. Вони входять до складу механізованих технологічних ліній, що перенавантажують вантажів.

Вибір способу підвищення об’єму перенавантаження по прямому варіанту здійснюється за приведеними витратами:

де Еjсклад, Еісклад – приведені витрати на перевантаження в варіантах;

 - частка вантажу, перевантаженого по прямому варіанту;

Epcj, Epci – приведені витрати по утриманню рухомого складу j-го та і-го виду транспорту;

Ej-i – витрати на перевантаження по прямому варіанту з j-го та і-го вид транспорту.

Заходом, що дозволяє підвищити частку вантажу, що перенавантажується по прямому варіанту і скоротити витрати на перевезення вантажів є вибір оптимальної тривалості сумісної роботи обробки РС j-го та і-го видів транспорту.

3.2 Визначення економічно виправданого терміну затримки вагонів і вантажів для організації прямого варіанту перевалки

В результаті нерівномірного прибуття вагонів і автомобілів в пункти їх взаємодії відбувається випадкове коливання залишків вантажів. Для підвищення стабільності роботи пунктів взаємодії і частки вантажу, що переробляється по прямому варіанту, доводиться затримувати вагони в результаті перевалки.

Економічно виправданий термін затримки вагону встановлюється виходячи з рівності відносних витрат на зберігання однієї тонни вантажу на колесах і переробки по прямому варіанту з витратами на зберігання вантажу на складі з подальшою його перевалкою:

де Zp – розрахунковий залишок вантажу, що виникає в результаті нерівномірного підходу вагонів і автомобілів;

 - частка вагонів з вантажем, що затримуються для організації прямого варіанту перевалки;

Q – годинна продуктивність вантажно-розвантажувальних машин, т/год.

Te= 2213,930,625682/600=2,3

Середньоквадратичне відхилення вагонопотоків визначається:

де а, с – емпіричні коефіцієнти, для пиломатеріалів а = 1,232, с = 0,676;

В – інтенсивність вагонопотоку;

T – розрахунковий період взаємодії, год.

в=1,232  7,16  240,5=43,21

Інтенсивність вагонопотоку визначається за формулою:

де qB – вантажопідйомність вагону, qB=64т;

Qдоб – добове надходження вантажів в пункт взаємодії, т;

t – час, в перебігу якого поступає вантаж, t = 24 год.

в=11000/(6424)=7,16

Середньоквадратичне відхилення потоків автомобілів розраховується за формулою:

де Р – ймовірність подачі автомобілів.

а=(1-0,5)7,1624=9,26

де qa – вантажопідйомність автомобіля, т.

а=11000/(2424)=19,09

Розрахункова кількість вантажу, що осів в пункті взаємодії, визначається за формулою:

Zp=0,798(64243,212+2429,262)=2213,93

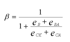
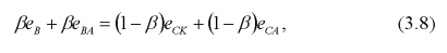
Параметр  повинен вибиратися так, щоб питомі витрати на зберігання однієї тонни вантажу на колесах і його подальшу перевалку дорівнювали витратам на зберігання вантажу на складі і його подальшу перевалку на автомобіль:

0,6256820,4+0,62568214=(1-0,625682)0,07+(1-0,625682)24

де ев – приведена вартість зберігання однієї тонни вантажу у вагоні за 1 годину, т/год;

ева – вартість перевантаження по прямому варіанту вагон – автомобіль, т;

eск – питома вартість зберігання однієї тонни вантажу на складі, т/доб;

еса – питомі витрати на перевалку з вагона на склад і далі з складу в автомобіль, т;

Вирішуючи рівняння відносно , виходить:

(3.9)

Розрахункова кількість вагонів, яку виправдано затримувати в пункті взаємодії, для організації прямого варіанту, визначається за формулою:

mp=2213,930,625682/64=21,64

На підставі наведених вище формул, визначається економічно виправданий термін затримки вагонів і вантажів.

Для побудови графіка Те (Qдоб) і mр (Qдоб), змінюючи добовий об’єм перевалки, визначається розрахункова кількість вагонів, яку виправдано затримувати в пункті взаємодії для організації прямого варіанту перевалки, і економічно виправданий термін затримки вагону. Всі розрахунки зводимо в таблицю 3.1 за отриманими результатами будуємо графік.

Таблиця 3.1 – Розрахунок показників при зміні добового об’єму перевалки вантажів

Qдоб, т

а, авт/год

а

в

в, ваг/год

Zр, т

mp, ваг.

Те, год

11000

19,09

9,26

43,21

7,16

2213,93

21,64

2,3

4 Розробка технічних режимів взаємодії автомобільного і залізничного видів транспорту

4.1 Підготовка початкових даних

Розробка контактних графіків взаємодії залізничного і автомобільного транспорту ведеться при наступних початкових даних:

  1. Добовий об’єм перевалки залізничного транспорту на автомобільний приймаємо Q'доб = 0,1Qдоб; Qдоб=11000 т.

  2. Час подачі вагонів і піввагонів під розвантаження – tпв = 7:30 годин;

  3. Час подачі автомобілів – tпа = 8:15 годин;

  4. Вантажопідйомність автомобіля qa = 24 т;

  5. Вантажопідйомність вагону qв = 64 т;

  6. Продуктивність ПРМ Qгод = 380 т/год;

  7. Час навантаження автомобіля ta = 0,19 год;

  8. Час розвантаження складу, виходячи з продуктивності ПРМ:

Tроз=0,111000/380=2,89 год.

  1. Кількість автомобілів, які необхідні для вивозу вантажу:

Ka=1100/24=46 авт.

  1. Час, потрібний на завантаження автомобілів:

Taзав=460,19=8,74 год.

  1. Кількість вантажу, розвантаженого на склад за час простою вагону в очікуванні приходу автомобілів:

t1 – час вивантаження вагонів до прибуття автомобілів.

Qt1=3800,75=285 т

  1. Кількість вантажу, що залишився у вагоні:

Qваг=380-285=95 т.

  1. Час необхідний на пряме перенавантаження вагон – автомобіль:

  • з використанням складу стаціонарного:

tпр1=(95/24)0,19=0,75 год.

  • з використанням складу на колесах (вагони):

tпр2=(1100/24)0,19=8,7 год.

  1. Час на завантаження склад – автомобіль:

tск-а=(285/24)0,19=2,25 год.

  1. Загальний час розвантаження вагонів:

  • з використанням складу стаціонарного:

TAроз=0,75+0,75=1,5 год.

  • з використанням складу на колесах (вагони):

tоч – час очікування на розвантаження до прибуття автомобілів.

Tроз=0,75+8,7=9,45 год.

Контактні графіки взаємодії залізничного і автомобільного транспорту приведені на рисунку 4.1 (при використанні буферного складу) і рисунку 4.2 (при використанні «складу на колесах»).

Рисунок 4.1 – Контактний графік взаємодії залізничного і автомобільного транспорту при використанні буферного складу

Рисунок 4.2 – Контактний графік взаємодії залізничного і автомобільного транспорту при використанні «складу на колесах»

4.2 Порівняльна оцінка режимів взаємодії залізничного і автомобільного транспорту по варіантах організації роботи

На підставі графіків зображених на рисунках 4.1 і 4.2 загальний час розвантаження вагонів по прямому варіанту склада 3,15 год. При використанні буферного складу складає 1,5 год.

Таким чином, виходячи з порівняння контактних планів-графіків можна зробити наступні висновки: при використанні вагонів, як склад на колесах зростає час простою вагонів під розвантаженням, що говорить про доцільність варіанту перевантаження з використанням буферного складу.

Висновок

У даній курсовій роботі на тему «Вдосконалення режимів взаємодії різних видів транспорту» були вирішені поставленні завдання:

  1. За заданих умов, при виділенні асигнувань у розмірі «В» максимальний ефект досягається при розподілі їх по 0,2В між всіма видами транспорту.

  2. Найбільш раціональна черговість обробки: П  В  Б, вартістю 3 623,11 у.о.

  3. Із збільшенням добового об’єму перевалки вантажів економічно виправданий термі затримки вагону і розрахункова кількість вагонів збільшуються.

В результаті побудови контактних графіків взаємодії залізничного і автомобільного транспорту отриманні наступні результати: час розвантаження вагонів по прямому варіанту складає 3,15 год, а при використанні буферного складу час розвантаження вагонів 1,5 год. Таким чином, виходячи з порівняння контактних планів-графіків можна вважати доцільним перевантаження з використанням буферного складу.