![]()
Коэффициент нагрузки при расчете по изломным напряжениям
![]()
Коэффициент формы зуба передачи «1-2»
![]()
Модуль в среднем сечении
![]()
Число зубьев шестерни
![]()
Число зубьев колеса
![]()
Угол зацепления в торцевом сечении
![]()
Угол делительного конуса колеса
![]()
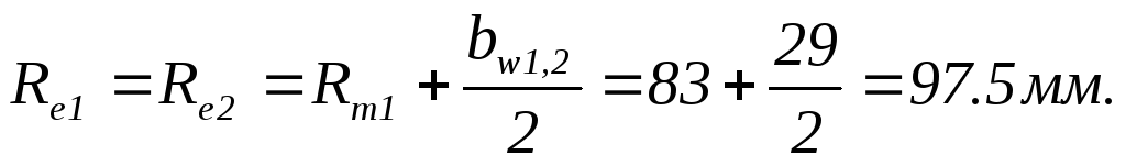
Среднее конусное расстояние
![]()
Внешнее конусное расстояние
![]()
Внешний делительный диаметр
![]()
Модуль на внешнем торце
![]()
Угол ножки зуба
![]()
Угол головки зуба
![]()
Угол конуса вершин зубьев
![]()
Угол конуса впадин
![]()
Высота головки зуба на внешнем торце
![]()
Высота ножки зуба
![]()
Внешний диаметр вершин зубьев
![]()
![]()
7 Проверочный расчет прочности конической передачи
7.1 Контактная прочность
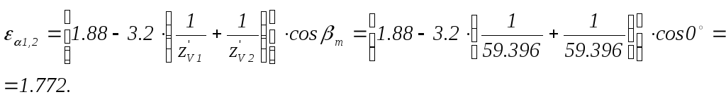
Эквивалентное число зубьев
![]()
Коэффициент торцевого перекрытия

Коэффициент неравномерности распределения нагрузки между зубьями по изгибу
![]()
Коэффициент нагрузки при расчете по изгибу
![]()
Коэффициент, учитывающий торцевое перекрытие при расчете по контактным напряжениям
![]()
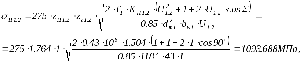
Коэффициент, учитывающий геометрию контактирующих тел
![]()
Контактные напряжения в зубьях

![]()


![]()
7.2 Изгибная прочность
Коэффициент формы зуба
![]()
Напряжение изгиба зуба
![]()
![]()
8 Ориентировочный расчет валов
Исходные данные:
[кр]=80...120 МПа;
=0.85.
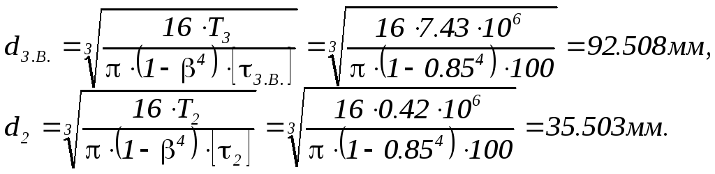
Диаметры валов



Примем для диаметров валов стандартные значения:
dвх= 55 мм;
dП = 100 мм;
d2 = 35 мм;
dЗ.В. = 90 мм.
9 Проектировочный расчет валов
9.1Определение усилий в зацеплениях
Входной вал:
Цилиндрическая прямозубая передача, следовательно, существует окружное и радиальное усилие.
Д
ля
второго вала:
9.2 Определение реакций в опорах валов
Р
ассчитаем
вал 1:
Сумарный изгибающий момент определяется по формуле:
![]()
Расчитаем вал в сечениях 1 и 2 :
Материал вала выберем Сталь 12Х2Н4А
принимаем nT = 1.9 тогда допускаемое напряжение при расчете на статическую
прочность :
Значения эффективных коэффициентов концентрации напряжений принимаем:
В сечении 1 : К = 2.5 (шлицы) ; В сечении 2 : К = 2.0 (Скользящая посадка).
Тогда допускаемые напряжения при расчете на усталостную прочность:
В сечении 1:
В сечении 2:
Задаемся коэфициентом = 0.8 ,который равен отношению внутреннего и внешнего диаметров.
Из расчета на статическую прочность:
В сечении 1:
В сечении 2:
Из расчета на усталостную прочность:
В сечении 1:
В сечении 2:
Расчитаем вал 2:
![]()
Сумарный изгибающий момент определяется по формуле:
![]()
Расчитаем вал в сечении 1 :
Материал вала выберем Сталь 12Х2Н4А
При расчете на статическую прочность :
Значения эффективных коэффициентов концентрации напряжений принимаем:
В сечении 1 : К = 2.5 (шлицы) .
Тогда допускаемые напряжения при расчете на усталостную прочность:
Задаемся коэфициентом = 0.6
Из расчета на статическую прочность:
Из расчета на усталостную прочность:
В
сечении 1:
Расчитаем вал 3: