Принимаем
![]()
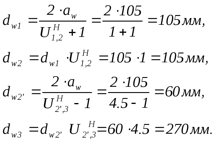
Диаметры начальных окружностей

Угол зацепления


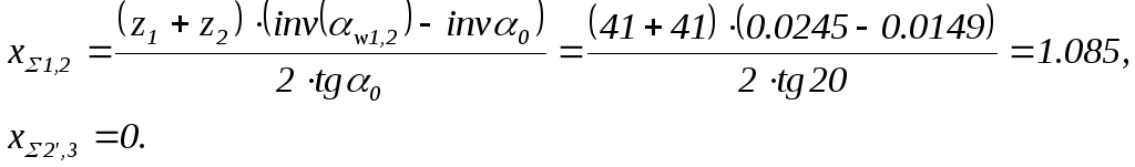
Коэффициенты смещения исходного контура

Разбиваем коэффициент коррекции из условия выравнивания скоростей скольжения в начале и в конце зацепления

![]()
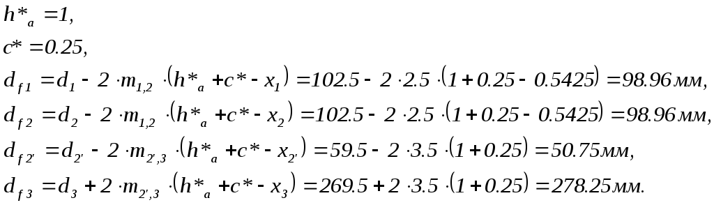
Диаметры впадин

Диаметры вершин

Шаг делительный
![]()
Шаг основной
![]()
Коэффициенты торцевого перекрытия



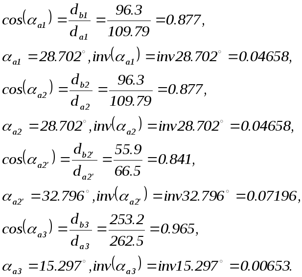
Углы давления в вершинах зубьев

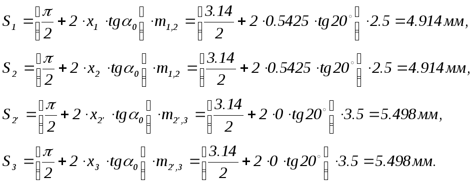
Толщины зубьев по делительным окружностям

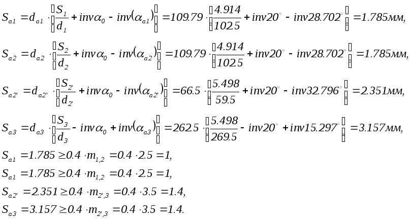
Толщины зубьев по наружному диаметру

Коэффициент ширины зубчатого венца относительно диаметра шестерни

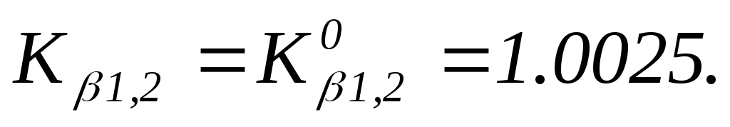
Начальное значение коэффициента неравномерности распределения нагрузки по ширине зубчатого венца
![]()
Эффективное значение коэффициента неравномерности распределения нагрузки по ширине зубчатого венца
![]()
Окружная скорость
![]()
![]()
Коэффициент динамической нагрузки
![]()
Коэффициент неравномерности распределения нагрузки между зубьями по контактным напряжениям
(при
=0о).
Коэффициент нагрузки при расчете по контактным напряжениям
![]()
Коэффициент неравномерности распределения нагрузки между зубьями по изгибу

Коэффициент нагрузки при расчете по изгибу
![]()
![]()
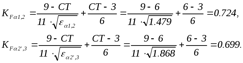
Коэффициенты, учитывающие торцевое перекрытие при расчете по контактным напряжениям

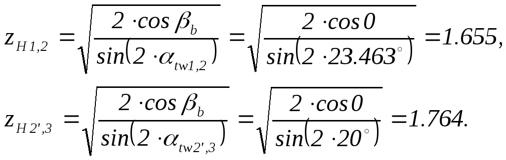
Коэффициенты, учитывающие геометрию контактирующих тел

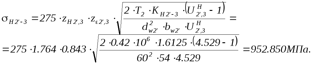
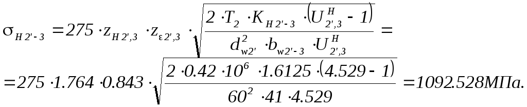
Контактные напряжения в зубьях


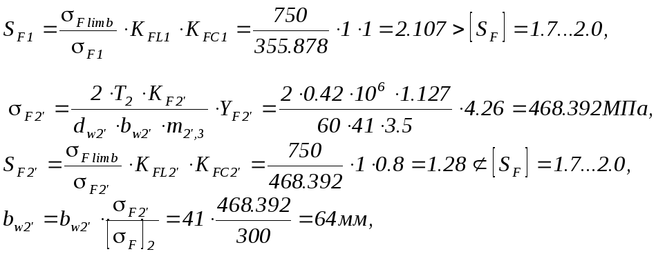
Запас контактной прочности
![]()



![]()
![]()
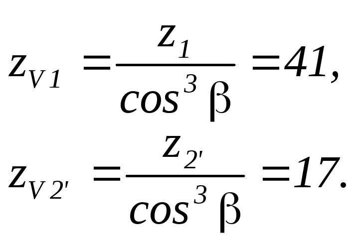
Эквивалентное число зубьев

Коэффициент формы зуба
![]()
Напряжение изгиба зуба
![]()

![]()
![]()
Выбираем седьмой класс точности зубчатых колес.
Угол наклона зубьев в среднем сечении
m=0.
Вспомогательный коэффициент
![]()
Угол между осями колес
=90.
Угол делительного конуса шестерни
![]()
Коэффициент нагрузки при расчете по контактным напряжениям
![]()
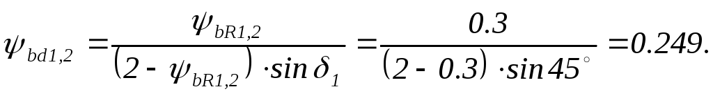
Коэффициент ширины зубчатого венца относительно конусного расстояния
![]()
Коэффициент ширины зубчатого венца относительно диаметра шестерни
![]()
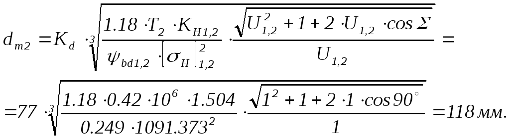
Средний делительный диаметр шестерни


Рабочая ширина зубчатого венца
![]()
![]()
Окружная скорость
![]()
![]()
Коэффициент динамической нагрузки
![]()
Коэффициент ширины зубчатого венца относительно диаметра шестерни

Начальное значение коэффициента неравномерности распределения нагрузки по ширине зубчатого венца
![]()
Эффективное значение коэффициента неравномерности распределения нагрузки по ширине зубчатого венца
![]()
Коэффициент неравномерности распределения нагрузки между зубьями по контактным напряжениям
(при
m=0о).
Коэффициент нагрузки при расчете по контактным напряжениям
![]()
![]()
Средний делительный диаметр шестерни


Рабочая ширина зубчатого венца
![]()
Окружная скорость
![]()
![]()
Коэффициент динамической нагрузки
![]()
Коэффициент ширины зубчатого венца относительно диаметра шестерни
![]()
Начальное значение коэффициента неравномерности распределения нагрузки по ширине зубчатого венца
![]()
Эффективное значение коэффициента неравномерности распределения нагрузки по ширине зубчатого венца
![]()
Коэффициент неравномерности распределения нагрузки между зубьями по контактным напряжениям
(при
m=0о).
Коэффициент нагрузки при расчете по контактным напряжениям
![]()