Кафедра ОКМ
Пояснительная записка к курсовой работе по курсу “Детали машин” Вариант №18-3
Выполнил студент группа 2305 Проверил преподаватель Курушин М. И.
Самара 20
1 Кинематический и энергетический расчет дифференциального редуктора 3
2 Допускаемые напряжения зубьев зубчатых колес 5
3 Определение основных параметров планетарного редуктора в проектировочном расчете 8
4 Геометрический расчет параметров прямозубых цилиндрических зубчатых колес 11
5 Проверочный расчет прочности передачи 14
6 Геометрический расчет параметров прямозубых конических зубчатых колес 17
7 Проверочный расчет прочности конической передачи 22
8 Ориентировочный расчет валов 23
9 Проектировочный расчет валов 25
Начальные условия:
Pвых=1900 кВт;
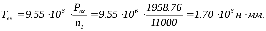
nвх=n1=11000 об/мин;
nвых=n3=nП=1100 об/мин;
th=1100 ч.
Передаточное число редуктора
![]()
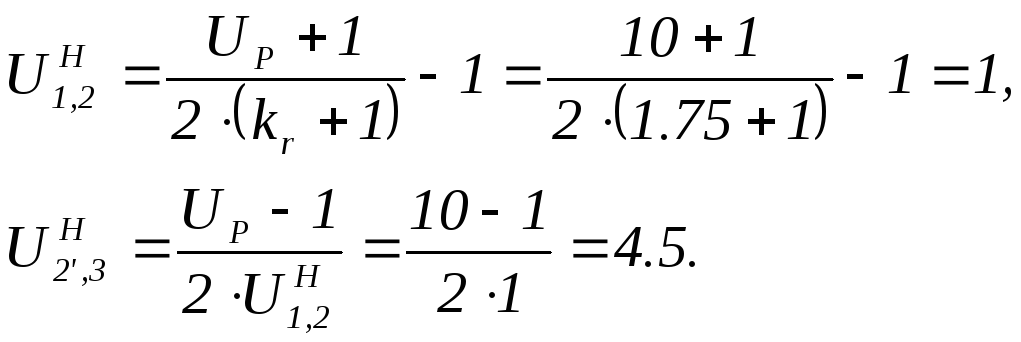
Принимаем отношение диаметров зубчатых колес сателлита kr=1.75.
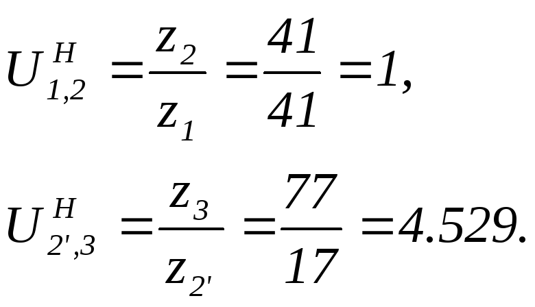
Передаточные числа ступеней в относительном движении (при остановленном водиле)

Обороты зубчатых колес в относительном движении (при остановленном водиле)

Принимаем шестую степень точности зубчатых колес.
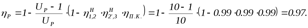
КПД в зацеплениях при относительном движении

где П.К.- КПД подшипников сателлитов.
КПД редуктора (суммарный)
![]()
Мощности на валах:
-мощность на входе в редуктор
![]()
-мощность на вале переднего винта

-мощность на вале заднего винта
![]()
Крутящий момент на входе (приводной вал)
![]()
Крутящий момент на выходе (валы винтов)

Зададим число зубьев солнечного колеса в запас из условия отсутствия подреза z1o=17.
Расчетное число сателлитов (из условия соседства)

Принимаем целое число сателлитов из условия размещения перемычек водила между сателлитами ас=5.
Коэффициент неравномерности распределения нагрузки по сателлитам kнер=1.25- гибкое наружное колесо и «плавающее» солнечное колесо.
Расчетный крутящий момент в зацеплении на солнечном колесе
![]()
Крутящий момент на сателлите
![]()
Исходные данные:
T1=TH, n1=nH, th1=0.55thП,
T2=0.87TH, n2=1.15nH, th2=0.25thП,
T3=0.83TH, n3=1.2nH, th3=0.20thП.
Выберем материал.
Принимаем цементируемую сталь 12Х2Н4А со свойствами:
твердость на поверхности 56..63 НRСЭ,
твердость сердцевины 35..40 НRСЭ.
Базовый предел контактной усталости
Hlim b=23HRCЭ,

Базовое число цикла
NHO=12107.
Коэффициент эквивалентности по контактным напряжениям

Эквивалентное число циклов перемены контактных напряжений

Коэффициент долговечности по контактным напряжениям
![]()
Если NHE>NHO , то KHl=1,
NHЕ <NHO , то по формуле 1KHl <1.8,
KHL1=1,
KHL2=1,
KHL3=1.
Запас контактной прочности
[SH]=1.2…1.35.
Принимаем [SH]ср=1.275.
Допускаемое контактное напряжение

Передачи 1-2 и 2’-3 выполняются по шестому классу точности.
Вспомогательные коэффициенты при определении размеров передачи
Ka 1,2=Ka 2’,3=49.5,
KH 1,2=KH 2’,3=KF 1,2=KF 2’,3=1.4,
коэффициенты ширин ba 1,2=0.45.
Межосевое расстояние из расчета на выкрашивание (зацепление: солнечное колесо- сателлит)
Контактная
ширина в зацеплении: солнечное колесо-
сателлит
![]()
Принимаем ширину зубчатого венца «2» сателлита
bw 2=46 мм.
Ширина зубчатого венца солнечного колеса
![]()
Коэффициент формы зуба зацепления «1-2» для шестой степени точности
![]()
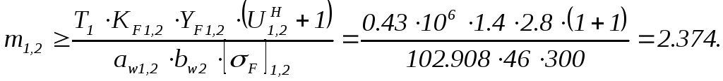
Модуль зацепления: солнечное колесо- сателлит

Принимаем m1,2=2.5.
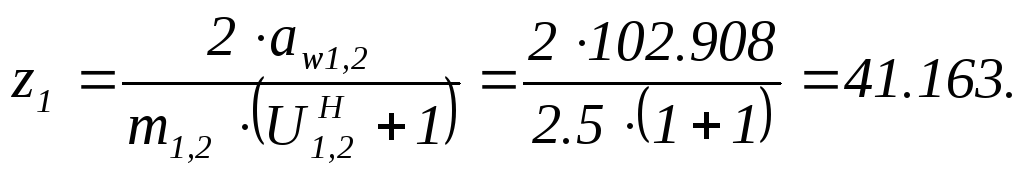
Число зубьев солнечного колеса (не кратное числу сателлитов – из условия виброустойчивости, целое число и, кроме того, z117 – из условия отсутствия подреза)

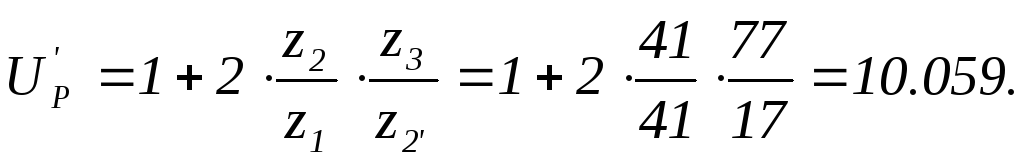
Принимаем z1=41.
Число зубьев сателлита (целое число, z217 – из условия отсутствия подреза)
![]()
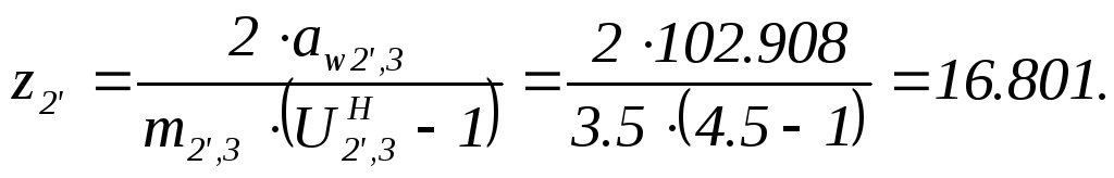
Ширина зацепления пары: шестерня- вал и наружное колесо из расчета на контактную прочность (принимаем a2’,3=a1,2=102.908 мм - из условия соосности)
Принимаем
bw2’,3=54
мм.
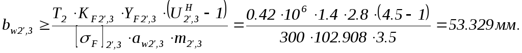
Коэффициент формы зуба зацепления: шестерня – вал – наружное колесо для шестой степени точности изготовления зубчатых колес
![]()
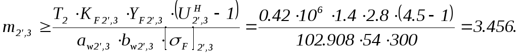
Модуль зацепления: шестерня – вал – наружное колесо из расчета на изломную прочность зубьев наружного колеса

Принимаем m2’,3=3.5.
Принимаем
![]()
Базовый предел изломной усталости
Flim b=750-850 Мпа.
Базовое число цикла
NFO=4106.
Коэффициент эквивалентности по изломным напряжениям

Эквивалентное число циклов перемены изгибных напряжений

Коэффициент долговечности по изгибным напряжениям
![]()
При NFE > NFO принимают KFL =1,
NFЕ <NFO , то по формуле 1KFL <1.63,
Тогда:
KFL1 =1,
KFL2=1,
KFL3=1.
Запас изломной прочности
[SF]=1.7…2.0.
Принимаем [SF]ср=2.0.
Допускаемое напряжение изгиба
![]()
Для
всех зубчатых колес
для сателлитов
![]()

![]()
Число зубьев шестерни - вал (целое число, z2’17 – из условия отсутствия подреза)

Принимаем z2’=17.
Ширина зацепления пары: шестерня- вал и наружное колесо из расчета на излом

Выбираем большее значение из расчета на выкрашивание и на излом bw2’,3=54 мм.
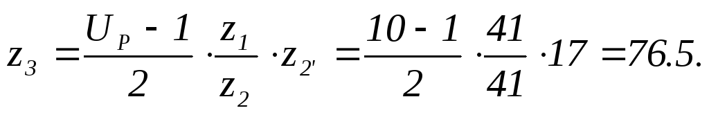
Число зубьев наружного колеса
![]()
Принимаем z3=77.
Передаточное число редуктора
![]()
Условие сборки при равномерном угловом расположении сателлитов водиле: N - точное целое число.

Погрешность
передаточного числа редуктора
по отношению к заданному UP
(е<0.025)

Уточненные значения передаточных чисел в относительном движении (при остановленном водиле)

Делительное межосевое расстояние зацепления: солнечное колесо-сателлит
![]()
Делительное межосевое расстояние зацепления: шестерня- вал- наружное колесо
![]()
Необходимо
проводить угловое коррегирование по
выравниванию межосевых расстояний
![]()
Принимаем
и
![]()
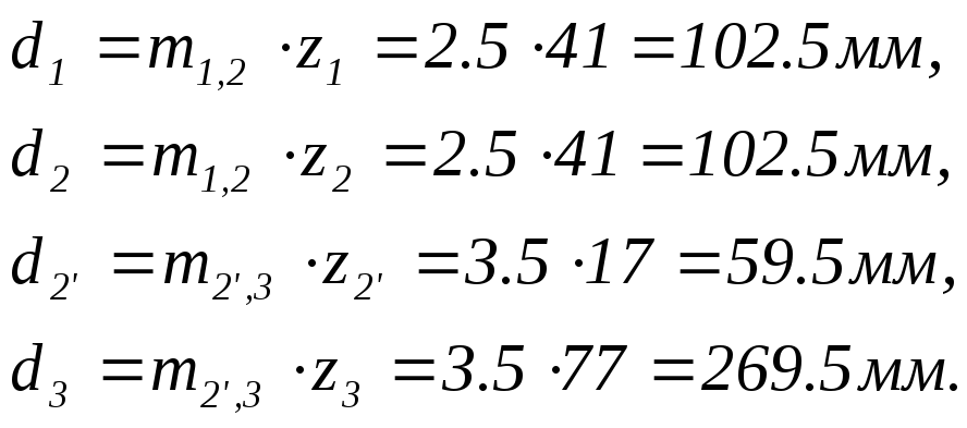
Диаметры делительных окружностей

Диаметры основных окружностей
