Материал: Курс занятий. Белки

Внимание! Если размещение файла нарушает Ваши авторские права, то обязательно сообщите нам
  • дезаминирования биогенных аминов;

  • распад пиримидиновых оснований (урацил, тимин, цитозин);

  • дезаминирования аминокислот;

  • дезаминирования пуриновых оснований (гуанина и аденина).

Пути использования аммиака в организме:

  1. Синтез аминокислот из соответствующих кетокислот:

АТФ

СН3-С-СООН + NН3 СН3-СН-СООН

О NН2

ПВК аланин

  1. Синтез аммонийных солей в почках.

  2. Синтез пуриновых и пиримидиновых нуклеотидов.

  3. Синтез мочевины – основной путь обезвреживания аммиака.

Транспортные формы обезвреженного аммиака

  1. Глутаминовая кислота

  2. Амиды аминокислот (аспарагин и глутамин)

  3. Амидированные белки

Транспортными формами аммиака из тканей в печень являются глутамин и аланин, в меньшей степени аспарагин и глутамат, некоторое количество аммиака находится в крови в свободном виде. Глутамин и аланин являются наиболее представленными, их доля среди всех аминокислот крови составляет до 50%. Большая часть глутамина поступает от мышц и нервной ткани, аланин переносит аминный азот от мышц и стенки кишечника.

Г люкозо-аланиновый цикл

В мышцах основным акцептором лишнего аминного азота является пируват. При катаболизме белков в мышцах происходят реакции трансаминирования аминокислот, образуется глутамат, который далее передает аминоазот на пируват и образуется аланин. Из мышц с кровью аланин переносится в печень, где в обратной реакции передает свою аминогруппу на глутамат. Образующийся пируват используется как субстрат в реакциях синтеза глюкозы (глюконеогенез), а глутаминовая кислота дезаминируется и аммиак используется в синтезе мочевины.

Синтез мочевины как путь окончательного обезвреживания аммиака. Химизм, ферменты, энергетика. Биологический смысл цикла мочевинообразования, связь с цтк.

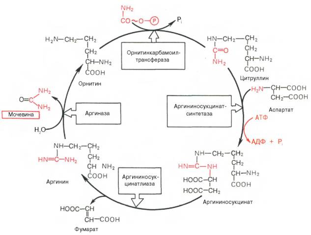
Кребс и Гензеляйт установили, что синтез мочевины представляет собой циклический процесс, в котором ключевым соединением, замыкающим цикл, является орнитин. Кохен и Ратнер выяснили, что начальной реакцией этого цикла является синтез карбамоилфосфата.

В печени аммиак связывается с СО2 с образованием карбамоилфосфата под действием карбамоилфосфатсинтетазы. Затем под действием орнитин-карбамоилтрансферазы карбамоильная группа карбамоилфосфата переносится на орнитин и образуется цитруллин. В следующей реакции аргининосукцинатсинтетаза связывает его с аспартатом и образуется аргининоянтарная кислота. Аспартат – источник второго атома азота мочевины. Далее происходит расщепление аргининоянтарной кислоты на аргинин и фумарат (идет в ЦТК). Аргинин гидролизуется под действием аргиназы на орнитин и мочевину. Образующийся орнитин взаимодействует с новой молекулой карбамоилфосфата, и цикл замыкается.

Первые две реакции происходят в митохондриях гепатоцитов. Затем цитруллин транспортируется в цитозоль, где и осуществляются дальнейшие превращения.

Орнитиновый цикл в печени выполняет 2 функции:

1. превращение азота аминокислот в мочевину, которая экскретируется и предотвращает накопление токсичных

продуктов - аммиака;

2. синтез аргинина и пополнение его в организме.

Отмечается, что у детей первых месяцев жизни функция печени развита недостаточно, что проявляется в том, что у ребенка количество аммиака по сравнению с взрослым человеком увеличено в 2-2,5 раза. У новорожденных – 20-30% общего азота падает на азот мочевины.

Мочевина – безвредное для организма соединение. Главным местом ее образования в организме является печень, где есть ферменты мочевинообразования. В головном мозге имеются все ферменты синтеза мочевины, кроме карбамоилфосфатазы, поэтому в нем мочевина не образуется. Мочевина – основной конечный продукт азотистого обмена, в составе которого из организма выделяется до 90% всего выводимого азота. В норме экскрекция мочевины – 25-30 г/сут. При повышении количества потребляемых с пищей белков увеличивается выделение мочевины

Энергетика

В результате орнитинового цила расходуются четыре макроэргические связи трех молекул АТФ на каждый оборот цикла. Однако, все неплохо компенсируется:

- при включении фумарата в ЦТК на стадии дегидрирования малата образуется НАДН, который обеспечивает синтез трех молекул АТФ.

- при окислительном дезаминировании глутамата в разных органах также образуется НАДН, и образуется еще три молекулы АТФ.

Биологическая роль, две основные цели:

- превращение азота аминокислот в мочевину, которая экскретируется и предотвращает накопление токсичных продуктов, главным образом аммиака.

- синтез аргинина и пополнение его фонда в организме.

Основной источник аммиака - аминокислоты. Большая часть образовавшегося аммиака обезвреживается в орнитиновом цикле в печени и выделяется в виде мочевины. Основной реакцией обезвреживания аммиака в тканях является синтез глутамина, который затем используется в анаболических процессах и для обезвреживания веществ в печени.

Связь орнитинового цикла с циклом трикарбоновых кислот

  1. Оба цикла протекают в одном и том же месте – в митохондриях печени

  2. АТФ и СО2, образованные в ЦТК, расходуется в орнитиновом цикле

  3. Фумарат из цикла мочевинообразования поступает в ЦТК

Нарушения синтеза и выведения аммиака. Причины уремии.

Нарушение реакций обезвреживания аммиака может вызвать повышение содержания аммиака в крови - гипераммониемию, что оказывает токсическое действие на организм. Причинами гипераммониемии могут выступать как генетический дефект ферментов орнитинового цикла в печени, так и вторичное поражение печени в результате цирроза, гепатита и других заболеваний. Известны пять наследственных заболеваний, обусловленных дефектом пяти ферментов орнитинового цикла

Нарушение орнитинового цикла наблюдается при гепатитах различной этиологии и некоторых других вирусных заболеваниях. Например, установлено, что вирусы гриппа и других острых респираторных вирусных инфекций снижают активность карбамоилфосфатсинтетазы I. При циррозе и других заболеваниях печени также часто наблюдают гипераммониемию.

Снижение активности какого-либо фермента синтеза мочевины приводит к накоплению в крови субстрата данного фермента и его предшественников.

Уремия (uraemia; греческий uron моча + haima кровь; синонимы мочекровие) — синдром аутоинтоксикации, развивающийся при выраженной почечной недостаточности в результате задержки в организме азотистых метаболитов и других токсических веществ, расстройства водно-солевого, кислотно-щелочного и осмотического гомеостаза, сопровождающийся вторичными обменными и гормональными нарушениями, общей дистрофией тканей и дисфункцией всех органов и систем

Гипераммониемия Повышение содержания аммиака в крови до 6000мкмоль/л (норма-60мкмоль/л) оказывает токсическое действие на организм.

Причины:

  1. генетический дефект ферментов орнитинового цикла в печени;

  2. вторичное поражение печени в результате цирроза, гепатита и др.

Симптомы: тошнота, повторяющаяся рвота, потеря сознания, отек мозга, отставание умственного развития. Все симптомы гипераммониемии – проявление действия аммиака на ЦНС.

Для диагностики производят определение содержания аммиака в крови, метаболитов орнитинового цикла в крови и моче, активность ферментов печени.

Основной диагностический признак - повышение концентрации аммиака в крови. Содержание аммиака в крови может достигать 6000 мкмоль/л (в норме - 60 мкмоль/л).

Патология азотистого обмена.

Одним из характерных нарушений азотистого обмена является белковая недостаточность, которая является следствием не только дефицита белка, но и ряда тяжелых заболеваний даже при достаточном поступлении белка с пищей. Причины белковой недостаточности: малобелковое питание или плохое усвоение белков пищи, непроходимость пищевода, патология пищеварительной канала системы.

Результатом этих состояний являются: отрицательный азотистый баланс, гипопротеинемии (снижение концентрации белков в сыворотке крови до 30-50 г/л, в норме – 65-85 г/л) и нарушения коллоидно-осмотического и водно-солевого обменов (развитие отеков).

При тяжелых формах пищевых дистрофий, например, при «квашиоркоре» (в переводе «золотой или красный мальчик») – заболевании, которое распространено среди детей развивающихся стран, наблюдаются тяжелые поражения печени, остановка роста, отечность, атония мышц, анемия, резкое снижение сопротивляемости организма инфекциям. У лиц негроидной расы волосы приобретают красно-коричневый оттенок. Болезнь часто заканчивается летальным исходом.

При белковой недостаточности наблюдается резкое снижение интенсивности процессов дезаминирования, трансаминирования, биосинтеза аминокислот и синтеза мочевины в печени. Эти нарушения обусловлены нарушением ферментативных функций печени и других органов. Следствием их являются накопление аминокислот в крови, экскреция с мочой свободных аминокислот (до 10-20 г/сут, в норме – 1г/сут) и резкое снижение образования и выделения мочевины с мочой.

Аминоацидурия – дефект белков одной из транспортных систем аминокислот в почках, где происходит их реабсорбция, сопровождающийся потерей их с мочой в 3-5 раз больше нормы.

Цистинурия – дефект белка, транспортирующего цистин, приводит к повышенному выделению с мочой преимущественно цистина и образованию цистиновых камней в почках.

Кетонурия – болезнь, сопровождающаяся появлением мочи с запахом ''кленового сиропа'', является следствием недостаточности декарбоксилазы кетопроизводных аминокислот, т.е. валина, лейцина и изолейцина. В результате нарушения окислительного декарбоксилирования происходит повышение содержания в крови этих аминокислот и их кетопроизводных, а также выделение их с мочой. Моча таких больных имеет характерный запах ''кленового сиропа''. Клинически у таких детей наблюдается рвота, периодические судороги, мышечная ригидность.