Материал: Коллоквиум

Внимание! Если размещение файла нарушает Ваши авторские права, то обязательно сообщите нам

Ввиду малости  пренебрегаем слагаемым, содержащим 2.

Площадь сферического сегмента равна S=2Rh. Следовательно

, ,

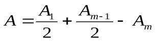
-не зависит от m

Площади зон Френеля примерно одинаковы. Расстояние bm от зоны до точки Р медленно растет с номером зоны m. Все это приводит к тому, что амплитуда Am колебания, возбуждаемого m-й зоной в точке Р, монотонно убывает с ростом m.

  • Амплитуды колебаний, возбуждаемых в точке Р зонами Френеля, образуют монотонно убывающую последовательность

  • A1>A2>A3>…>Am-1>Am>Am+1>….

  • Поэтому амплитуда A результирующего колебания в точке Р может быть представлена в виде

  • A=A1-A2+A3-A4+

  • Амплитуда, создаваемая в некоторой точке Р всей сферической волновой поверхностью, равна половине амплитуды,создаваемой одной лишь центральной(первой) зоной.

10. Метод графического сложения амплитуд

Каждое гармоническое колебание можно представить в виде вектора амплитуды, составляющего с направлением колебания некоторый угол, равный фазе колебания. Вектор амплитуды вращается вокруг точки, совпадающей с его началом, против часовой стрелки с угловой скоростью, равной круговой частоте колебания. Длина вектора равна величине амплитуды колебания. Этот метод очень удобен при сложении колебаний. Он успешно применяется с целью вычисления результирующей амплитуды. Влияние всей действующей части фронта волны изображается некоторым результирующим вектором.

Разобьем каждую зону Френеля, начиная от центра, на определенное число (например, шесть) элементарных зон. Длина векторов, соответствующих отдельным равным по площади элементарным зонам, постепенно уменьшается вследствие изменения наклона фронта волны к линии, соединяющей точечный источник и точку наблюдения. Однако для соседних участков такое изменение очень мало. Каждый вектор повернут относительно предыдущего на некоторый угол, равный разности фаз между этими колебаниями. Рис.6

Т ак как ширина каждой зоны Френеля соответствует изменению фазы на p, то в данном случае (когда одна зона Френеля делится на шесть элементарных зон) каждый последующий вектор образует с предыдущим угол p/6 = 30° (рис. 6,а). Замыкающий вектор ОN1 соответствует действию первой зоны Френеля. Следовательно, воздействие каждой зоны Френеля изобразится в данном случае шестью ломаными линиями (рис. 6., а). Аналогично, вектор ОN2 будет соответствовать действию двух первых зон Френеля и т. д.

Если каждую зону Френеля разбить на бесконечное большое число элементарных зон, то ломаные линии превратятся в дугу, и каждой зоне Френеля будет соответствовать одна полуокружность. В результате при учете влияния всех зон получится спираль с фокусом в точке N (рис. 6, б). Угол, который составляет результирующий вектор с данным направлением, соответствует фазе результирующего колебания в точке наблюдения. Построенная таким образом векторная диаграмма позволяет определить амплитуду и фазу результирующего колебания для произвольного числа действующих зон Френеля. Например, если открыта половина первой зоны, то результирующая амплитуда будет изображаться вектором ОК. Аналогично, ОN1, ОN2, ОN3, ОN4, ОN5, …., ОN будут соответствовать результирующим амплитудам соответственно от одной, двух, трех, четырех, пяти в, наконец, бесчисленного множества зон Френеля.

11. Дифракция Френеля от простейших преград

Дифракция света- явление отклонения света от прямолинейного направления распространения при прохождении вблизи препятствий.

а) Дифракция от круглого отверстия

Поставим на пути сфериче­ской световой волны непрозрачный экран с вырезанным в нем круг­лым отверстием радиуса  . Расположим экран так, чтобы перпен­дикуляр, опущенный из источника света , попал в центр отверстия (рис.3.3. 6). На продолжении этого перпендикуляра возьмем точку . При радиусе отверстия , значительно меньшем, чем указанные на рисунке длины  и , длину  можно считать равной расстоянию от источника  до преграды, а длину - расстоянию от преграды до точки  . Если расстояния и удовлетворяют соотношению:

где  - целое число, то отверстие оставит открытыми ровно первых зон Френеля, построенных для точки  .

Число открытых зон Френеля определяется выражением

Амплитуда в точке  будет равна

Перед  берется знак плюс, если нечетное, и минус, если чет­ное. Положив выражения в скобках равными нулю, придем к формулам

m нечетное

m четное

Амплитуды от двух соседних зон практически одинаковы. Поэтому можно заменить через

В результате получится

Картина дифракции на круглом отверстии: 1-отверстие открывает нечетное число зон, в центре - свет, 2- отверстие открывает четное число зон, в центре - темнота.

б) Дифракция от круглого диска

Поместим между источником света  и точкой наблюдения непрозрачный круглый диск радиуса  (рис.3.3.8). Если диск закроет

первых зон Френеля, амплитуда в точке  будет равна

Выражения, стоящие в скобках, можно положить равными 0, значит

Картина дифракции на круглом диске: Светлое пятно в центре- пятно Пуассона

12. Дифракция Френеля на полуплоскости. Спираль Корню.

Поместим на пути световой волны (которую для простоты будем считать плоской) непрозрачную полуплоскость с прямолинейным краем. Расположим эту полуплоскость так, чтобы она совпала с одной из волновых поверхностей. На расстоянии  за полуплоскостью поставим параллельный ей экран, на котором возьмем точку  (рис. 3.3.9). Разобьем открытую часть волновой поверхности на зоны, имеющие вид очень узких прямолинейных полосок, парал­лельных краю полуплоскости. Ширину зон выберем так, чтобы отсчитанные в плоскости рисунка расстояния от точки  до краев любой зоны отличались на одинаковую величину  . При этом условии колебания, создаваемые в точке  соседними зонами, бу­дут отличаться по фазе на постоянную величину.

Зонам, расположенным справа от точки  , припишем номера1, 2, 3 и т. д., расположенным слева - номера 1', 2', 3' и т. д. Зоны с номерами  и имеют одинаковую ширину и расположе­ны относительно точки симметрично. Поэтому создаваемые имив  колебания совпадают по амплитуде и по фазе.

Чтобы установить зависимость амплитуды от номера зоны , оценим площади зон. Из рис. 3.3.10 видно, что суммарная ширина первых  зон равна

 Вследствие узости зон . Поэтому при не очень больших квадратичным членом под корнем можно пренебречь. Тогда .

Положив в этой формуле  , получим, что . Следовательно, выражению для суммарной ширины первых зон можно придать вид

.

Отсюда .

Расчет по последней формуле дает, что В таких же соотношениях находятся и площади зон.

Из последнего соотношения вытекает, что амплитуда колебаний, создаваемых в точке  отдельными зонами, в начале (для первых зон) убывает очень быстро, затем это убывание становится медленным. По этой причине ломаная линия, получающаяся при графическом сложе­нии колебаний, возбуждаемых прямолинейными зонами, идет сна­чала более полого, чем в случае кольцевых зон (площади которых при аналогичном построении примерно равны). На рис. 3.3.11 со­поставлены обе векторные диаграммы. В обоих случаях отставание по фазе каждого следующего колебания взято одним и тем же.

Значение амплитуды для кольцевых зон (рис.3.3.11, а) принято постоянным, а для прямолинейных зон (рис.3.3.11, б) - убываю­щим в соответствии с последним соотношением. Графики на рис.3.3.11 являются приближенными. При точном построении графиков нуж­но учитывать зависимость амплитуды от  и .Однако на общем характере диаграмм это не отразится.

На рис.3.3.11, б показаны только колебания, обусловленные зонами, лежащими справа от точки . Зоны с номерами и расположены симметрично относительно  .

Поэтому естественно при построении диаграммы векторы, изображающие соответст­вующие этим зонам колебания, располагать симметрично относи­тельно начала координат  (рис.3.3.12). Если ширину зон устре­мить к нулю, ломаная линия, изображенная на рис. 3.3.12, превра­тится в плавную кривую (рис. 3.3.13), которая называется спи­ралью Корню.

У равнение спирали Корню в параметрической форме