Материал: Коллоквиум

Внимание! Если размещение файла нарушает Ваши авторские права, то обязательно сообщите нам

Оглавление

1) Интерференция световых волн. 1

2) Ширина интерференционных полос 2

3) Способы получения когерентных волн делением волнового фронта: 2

а) метод Юнга 2

б) бизеркала Френеля 2

в) бипризма Френеля 3

Г) билинза Бийе 3

Д) зеркало Лойда 4

Е) метод Линника 4

4. Способы получения когерентных пучков делением амплитуды: 5

1) полосы равного наклона (интерференция от плоскопараллельной пластинки) 5

2) полосы равной толщины (интерференция от пластинки переменной толщины; 7

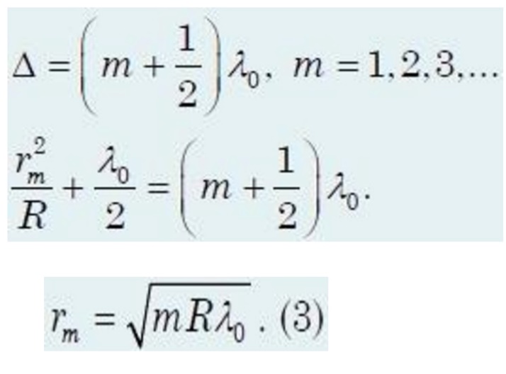
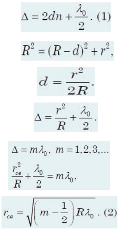
3)кольца Ньютона. 9

5. Двухлучевые интерферометры (Майкельсона, Жамена, Рождественского). 11

6. Многолучевые интерферометры (Фабри-Перо, Люммера-Герке). 13

7. Области применения интерференции. 14

8. Принцип Гюйгенса-Френеля. 17

9. Метод зон Френеля. 19

10. Метод графического сложения амплитуд 21

11. Дифракция Френеля от простейших преград 22

а) Дифракция от круглого отверстия 22

б) Дифракция от круглого диска 24

12. Дифракция Френеля на полуплоскости. Спираль Корню. 25

13. Дифракция Фраунгофера от одной щели 29

14 .Дифракция Фраунгофера от двух щелей: 31

15. Дифракция света от прямоугольного и круглого отверстия 34

16. Дифракционная решетка 36

17. Дифракция на двумерной решетке. 38

18. Дифракция на трехмерной решетке. 38

20. Понятие о голографии 40

  1. Интерференция световых волн.

Интерференция световых волн — это перераспределение светового потока в пространстве, которое происходит при наложение когерентных световых волн, в результате чего в одних местах возникают максимумы, а в других минимумы интенсивности.

  1. Ширина интерференционных полос

Ширина интерференционных полос- расстояние между соседними максимумами (или минимумами) интенсивности.

  1. Способы получения когерентных волн делением волнового фронта:

  1. метод Юнга

б) бизеркала Френеля

в) бипризма Френеля

Г) билинза Бийе

Д) зеркало Лойда

Е) метод Линника

4. Способы получения когерентных пучков делением амплитуды:

1) полосы равного наклона (интерференция от плоскопараллельной пластинки)

2) полосы равной толщины (интерференция от пластинки переменной толщины;

3)кольца Ньютона.

5. Двухлучевые интерферометры (Майкельсона, Жамена, Рождественского).

Интерферометр Майкельсона:

Интерферометр Жамена:

Интерферометр Рождественского:

6. Многолучевые интерферометры (Фабри-Перо, Люммера-Герке).

Многолучевой интерферометр Фабри-Перо:

Многолучевый интерферометр Люммера-Герке:

Люммера - Герке пластинка - многолучевой оптич. интерферометр ,представляющий собой плоскопараллельную пластинку из стекла пли кварца, обработанную с высокой степенью точности. При последоват. отражениях от поверхностей пластинки (рис.) часть исходного луча, преломляясь, выходит из неё. При этом образуются пучки параллельных лучей, обладающие пост. разностью хода по отношению друг к другу, к-рые интерферируют в фокальной плоскости собирающей линзы, поставленной на их пути. Изобретена О. Люммером (О. Lummer) и Э. Герке (Е. Gehrекe).

7. Области применения интерференции.

Интерферометр - измерительный прибор, в котором

используется интерференция волн. Существуют интерферометры для звуковых

и для электромагнитных волн:

Оптических (ультрафиолетовой, видимой и инфракрасной областей

спектра) и радиоволн различной длины.

Применяются интерферометры весьма широко. Так, акустические

интерферометры и радиоинтерферометры используются для измерения

скорости распространения волн (акустических и радио), для измерения

расстояний между двумя излучателями волн или между излучателем и

отражающим телом, т. е. применяются как дальномеры. Двухлучевые. Интерферометр Майкельсона

Интерферометр Майкельсона широко используется в физических измерениях и технических приборах. С его помощью впервые была измерена абсолютная величина длины волны света, доказана независимость скорости света от движения Земли.

Оптическая разность хода D = 2(AC — AB) = 2l, где l — расстояние между

зеркалом M2 и мнимым изображением M1¢ зеркала M1 в пластинке P1. Интерферометр Жамена

Существуют двухлучевые интерферометры, предназначенные для измерения показателей преломления газов и жидкостей, - интерференционные рефратометры. Один из них — интерферометр Жамена

В интерферометре Жамена:

Если одна из кювет наполнена веществом с показателем преломления n1, а другая с n2, то по смещению интерференционной картины на число полос m по сравнению со случаем, когда обе кюветы наполнены одним и тем же веществом, можно найти

Dn = n1 — n2 = =ml/l

(l — длина кюветы, m-число полос) Интерферометр Рэлея

В интерферометре Рэлея интерферирующие пучки выделяются с помощью двух щелевых диафрагм D.

Точность измерения показателей преломления с помощью интерференционных рефрактометров очень высока и достигает 7-го и даже 8-го десятичного знака.

Интерферометр Рождественского. Разновидностями интерферометра Жамена является Рождественского, где используется две полупрозрачные пластинки P1 и P2 и два зеркала M1 и M2. В этом интерферометре расстояние между пучками S1 и S2 может быть сделано очень большим.

Многолучевой интерф.

Фабри — Перо

Состоит из двух стеклянных или кварцевых пластинок P1 и P2, на обращённые друг к другу и параллельные между собой поверхности которых нанесены зеркальные покрытия с высоким (85—98%) коэффициентом отражения. Применяется как интерференционный спектральный прибор высокой разрешающей силы. Применение интерференции По интерференционной картине можно выявлять и измерять неоднородности среды (в т.ч. фазовые), в которой распространяются волны, или отклонения формы поверхности от заданной.

  •       Явление интерференции волн, рассеянных от некоторого объекта (или прошедших через него) с «опорной» волной, лежит в основе голографии (в т.ч. оптической, акустической или СВЧ-голографии).

  •        Интерференционные волны от отдельных «элементарных» излучателей используются при создании сложных излучающих систем (антенн) для электромагнитных и акустических волн.

8. Принцип Гюйгенса-Френеля.

Каждая точка среды, до которой доходит волна, служит источником вторичных волн, а огибающая этих волн представляет собой волновую поверхность в следующий момент времени.

Объяснение законов отражения и преломления света с точки зрения волновой теории. Пусть плоская волна падает под углом на границу раздела двух сред.

  • Согласно принципу Гюйгенса, каждая точка этой границы сама становится источником сферических волн.

  • Волны, идущие во вторую среду, формируют преломленную плоскую волну.

  • Волны, возвращающиеся в первую среду, формируют отраженную плоскую волну.

Отражение света

  • Фронт отраженной волны BD образует такой же угол с плоскостью раздела двух сред, что и фронт падающей волны AC.

  • Эти углы равны соответственно углам падения и отражения.

  • Следовательно, угол отражения равен углу падения.

Преломление света

  • Фронт падающей волны AC составляет больший угол с поверхностью раздела сред, чем фронт преломленной волны.

  • Углы между фронтом каждой волны и поверхностью раздела сред равны соответственно углам падения и преломления.

  • В данном случае угол преломления меньше угла падения.

Закон преломления света

  • Расчеты показывают, что отношение синусов этих углов равно отношению скорости света в первой среде к скорости света во второй среде.

  • Для данных двух сред это отношение постоянно.

  • Отсюда следует закон преломления: отношение синуса угла падения к синусу угла преломления постоянно для данных двух сред.

Физический смысл показателя преломления

  • Абсолютный показатель преломления равен отношению скорости света c в вакууме к скорости света v в данной среде:

9. Метод зон Френеля.

b1=b+/2 b2=b+2(/2) b3=b+3(/2) b4=b+4(/2) bm=b+m(/2)

Каждая зона выделит на поверхности сферический сегмент высоты hm. Тогда площадь m-й зоны можно представить в вид

Отсюда