Таблиця 1.3. Варіаційний ряд:
|
Класи
|
Частота
|
Cереднє значеняя класу
|
||||
|
72,2 |
→ |
74,56 |
6 |
73,38 |
||
|
74,56 |
→ |
76,92 |
10 |
75,74 |
||
|
76,92 |
→ |
79,28 |
18 |
78,1 |
||
|
79,28 |
→ |
81,64 |
12 |
80,46 |
||
|
81,64 |
→ |
84 |
9 |
82,82 |
||
|
84 |
→ |
86,36 |
8 |
85,18 |
||
|
86,36 |
→ |
89 |
4 |
87,68 |
||
|
|
|
Сума |
70 |
|||
Побудуємо гістограму частот.

Гістограма 2.1. Значення частот для нормального розподілу.
Знайдемо додаткові числові характеристики для варіаційного ряду.
Таблиця 2.4. Додаткові характеристики:
|
Характеристика |
Позначення |
Значення |
|
Середнє значення даних |
|
76,379 |
|
Дисперсія |
|
14,949
|
|
Середнє квадратичне відхилення |
|
3,8664
|
Знаходимо
розрахункові значення для функції
розподілу Р(х) за формулою «Нормальний
розподіл», підставивши в неї значення
середнього арифметичного
,
значення
,
відхилення
при інтегральному значенні «ИСТИНА»
Отриманні значення для Х1 віднімемо
від значень отриманих для Х2.
Також
знаходимо розрахункові значення для
розподілу імовірностей р(х) за формулою
«Нормальний розподіл», підставивши в
неї значення середнього арифметичного
,
значення
,
відхилення
при інтегральному значенні «ЛОЖЬ».
Будуємо таблицю за пунктами 12 та 13.
Таблиця 2.5. Функція і розподіл імовірності:
|
"ИСТИНА" |
"ЛОЖЬ" |
|||
|
Р(Х1) |
P(X2) |
Р(Х1) |
P(X2) |
|
|
0,02523 |
0,08926 |
0,02523 |
0,08926 |
|
|
0,08920 |
0,23108 |
0,08920 |
0,23108 |
|
|
0,23108 |
0,45030 |
0,23108 |
0,45030 |
|
|
0,45030 |
0,68634 |
0,45030 |
0,68634 |
|
|
0,68634 |
0,86343 |
0,68634 |
0,86343 |
|
|
0,86343 |
0,95602 |
0,86343 |
0,95602 |
|
|
0,95602 |
0,99155 |
0,95602 |
0,99155 |
|
|
|
Cума |
0,9663247 |
||

Таблиця 2.6. Нормовані функція і розподіл імовірності:
|
"ИСТИНА" |
"ЛОЖЬ" |
|||
|
CP(x)= |
CP(x)кум= |
CP(x)ложь= |
||
|
0,066206 |
0,0662059 |
0,027332929 |
||
|
0,146825 |
0,2130309 |
0,062144588 |
||
|
0,22686 |
0,4398906 |
0,097345225 |
||
|
0,244258 |
0,6841485 |
0,10505584 |
||
|
0,183268 |
0,8674166 |
0,078112393 |
||
|
0,095812 |
0,9632285 |
0,040014177 |
||
|
0,036771 |
1 |
0,013121575 |
||
|
Сума |
1 |
|||
Побудуємо графіки за таблицями.

Графік 2.1. Густина нормального розподілу (розподілу Гаусса).

Графік 2.2. Кумулятивна імовірність.
Перевірка результатів за допомогою критеріїв.
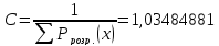
Критерій Пірсона


Отже, критерій Пірсона в нашому випадку виконується.
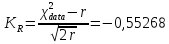
Критерій Романовського

Отже, критерій Романовського теж виконується.
В домашньому завданні я побудував два розподіли та їх функції: експоненціальний розподіл та нормальний розподіл(розподіл Гаусса).
Таблиці з даними були створені, згідно до формул даних на лекціях та на практичних завданнях.
В обох випадках критерії Пірсона і Романовського знаходяться в межах критичних значень, а отже домашня робота виконана правильно.
Міністерство освіти і науки України
Сумський державний університет
Факультет електроніки та інформаційних технологій
Кафедра наноелектроніки
Розрахунково-графічна робота
Дисципліна: «Імовірнісні основи обробки даних»
Тема: «Обробка дослідних даних вибіркової сукупності»
Варіант №50
|
Виконав: |
|
|
студент гр. ФЕ-31 |
|
|
_______________________ |
Гапон В. І. |
|
|
|
(підпис) |
|
|
|
Перевірила: |
________ |
_________________ |
Ющенко О. В. |
|
|
(оцінка) |
(підпис) |
|
|
|
Дата "_____" __________201__ р. |
||
Суми 2015