Материал: Изучение функциональных свойств многослойных пленок на основе двух- и трехкомпонентных нитридов тугоплавких металлов и их соединений с легкоплавкими металлами и неметаллами

Внимание! Если размещение файла нарушает Ваши авторские права, то обязательно сообщите нам

а

б

в

г

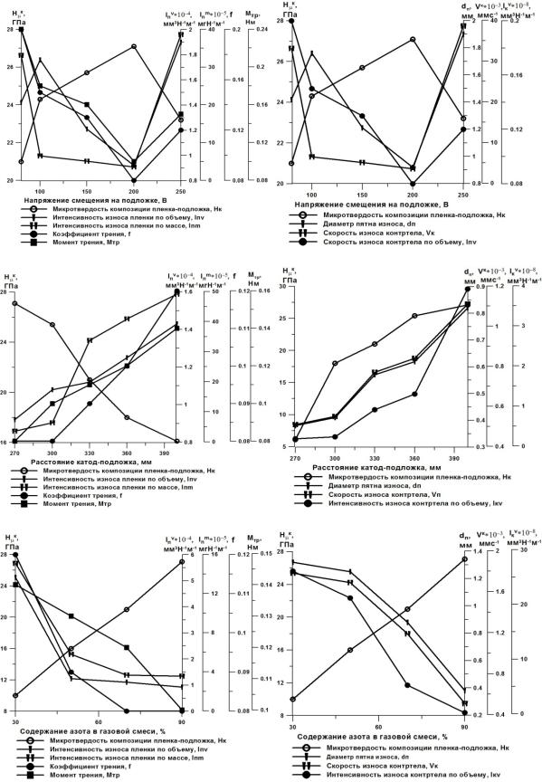
Рис. 3.7. Зависимости износостойких (а, в, д, ж, и)

и антифрикционных (б, г, е, з, к) свойств многослойных пленок на основе двухкомпонентных TiN слоев от микротвердости композиции

пленка – подложка, изменяемой под действием ТехП ЭДИ:

а, б) Р; в, г) Iд; д, е) Uсм; ж, з) Р; и, к) N2 (см. также с. 57)

56

д

е

ж

з

и

к

Рис. 3.7. Окончание

57

а

б

в

г

Рис. 3.8. Зависимости износостойких (а, в, д, ж, и)

и антифрикционных (б, г, е, з, к) свойств многослойных пленок на основе двухкомпонентных ZrN слоев от микротвердости композиции

пленка – подложка, изменяемой под действием ТехП ЭДИ:

а, б) Р; в, г) Iд; д, е) Uсм; ж, з) Р; и, к) N2 (см. также с. 59)

58

д

е

ж

з

и

к

Рис. 3.8. Окончание

59

Таблица 3 . 9

Физико-механические и трибологические свойства многослойных пленок на основе наноструктурированных TiN (ZrN) слоев, сформированных в зависимости от типа источника плазмы (материал подложки – Ст3)

Показатель

 

Слой пленки/метод осаждения

 

 

 

 

 

TiN/МР

ZrN/МР

TiN/ЭДИ

ZrN/ЭДИ

 

 

 

 

 

 

Нμк , ГПа

18

18

27

23

 

 

 

 

 

НМ115, ГПа

0,6

0,7

0,8

0,9

 

 

 

 

 

f

0,08

0,08

0,08

0,06

 

 

 

 

 

Мтр, Н·м

0,09

0,10

0,10

0,07

m·10–3, мг

0,1

0,4

2,9

6,0

Iпm ·10–5, мг·Н–1·м–1

0,06

0,16

3,54

6,86

 

 

 

 

 

IпV ·10–4, мм3·Н–1·м–1

0,08

1,02

0,92

0

 

 

 

 

 

dп, мм

0,52

0,44

0,38

0,57

Vк·10–3, мм·с–1

0,70

0,59

0,51

0,77

IкV ·10–8, мм3·Н–1·м–1

0,61

0,33

0,18

0,91

 

 

 

 

 

Таблица 3 . 1 0

Коэффициенты торможения процессов растворения многослойных пленок на основе двухкомпонентных TiN (ZrN) слоев, полученных методами ЭДИ и МР (б.п. и п. – без пленки и с пленкой)

 

 

 

 

 

Р= 0,8 Па

 

 

Р= 1,0 Па

 

 

Р= 1,2 Па

 

Показатель

 

 

 

 

 

 

 

 

 

 

 

 

TiN

ZrN

TiN

ZrN

TiN

ZrN

TiN

ZrN

TiN

ZrN

TiN

ZrN

 

 

 

 

ЭДИ

ЭДИ

МР

МР

ЭДИ

ЭДИ

МР

МР

ЭДИ

ЭДИ

МР

МР

 

 

 

 

 

 

 

 

 

 

 

 

 

 

 

 

iб.п

/ iп

,

раз

317

1500

4,7

27

641

3190

22

208

150

161

7,7

15

кор

кор

 

 

 

 

 

 

 

 

 

 

 

 

 

 

 

 

 

 

 

 

 

 

 

 

 

 

 

 

 

 

iб.п

/ iп

,

раз,

 

 

 

 

 

 

 

 

 

 

 

 

пас

пас

 

 

354

685

6,6

47

643

2180

362

240

208

218

43,6

16

Е= 0,2 В

 

 

 

 

 

 

 

 

 

 

 

 

 

 

 

 

 

 

 

 

 

 

 

 

 

 

 

 

Ti, ат. %

 

47,31

52,87

44,22

52,68

49,08

53,87

 

 

 

 

 

 

 

 

 

 

 

 

 

 

Zr, ат. %

 

44,66

51,74

44,23

51,10

46,27

51,95

 

 

 

 

 

 

 

 

 

 

 

 

 

 

N2, ат. %

 

52,69

55,34

48,26

47,13

55,78

55,77

48,90

47,62

50,92

53,73

48,05

46,13

 

 

 

 

 

 

 

 

 

 

 

 

 

 

 

 

60