τ= F cosλ0/( A0/cosφ0) = σ cosφ0 cosλ0.
Способность твердых тел к пластическому деформированию с точки зрения Беккера может быть объяснена лишь при учете теплового движения частиц твердого тела.
Беккер различает два типа пластичности: «аморфный» тип и «кристаллический». Он отмечает, что за первую разновидность пластичности, наблюдаемую у аморфных тел, ответственны перемещения отдельных атомов или молекул - обмен их местами. Для осуществления обмена местами пересаживающиеся атомы должны приобрести дополнительную энергию, необходимую для преодоления потенциального барьера, разделяющего два соседних положения равновесия. Эта дополнительная энергия может быть получена за счет случайных флуктуаций, сопровождающих тепловое движение частиц.
Поведение аморфного тела под
действием внешней силы Беккер описывает с помощью релаксационного уравнения
Максвелла:

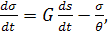
(1.2)
где σ - скалывающее напряжение, s - деформация, θ - время релаксации, G - модуль сдвига. Первый член правой
части уравнения характеризует упругую часть деформации, второй член -
релаксацию напряжения. При постоянном значении σ скорость течения определится соотношением

(1.3)
Она пропорциональна, таким образом,
величине действующей силы. Беккер отмечает, что в этом случае материалу может
быть приписана определенная вязкость в обычном смысле этого слова. Коэффициент
вязкости η согласно
уравнению (1.3) будет равняться
![]()
(1.4)
«Аморфная» пластичность Беккера представляет собой, следовательно, не что иное, как обычное вязкое трение.
Беккер отмечает, что, хотя явление обмена местами отдельных атомов имеет место также и в кристаллических телах, не оно, однако, определяет пластические свойства этих тел.
За «кристаллическую» пластичность Беккер считает ответственным также спонтанные флуктуации энергии, сопровождающие тепловые колебания частиц кристаллической решетки. В отличии от случая «аморфной», пластичность кристаллических тел согласно Беккеру определяется флуктуационными явлениями, охватывающими уже не отдельные атомы, а целые участки кристалла, которые содержат достаточное большое число атомов и расположенные в области плоскостей скольжения.
Беккер полагает, что в идеально правильной кристаллической решетке при температуре абсолютного нуля скольжение в некотором определенном кристаллографическом направлении не может иметь места до тех пор, пока компонента приложенного из вне усилия, взятая в этом направлении, не достигнет величины теоретического предела упругости σ0. В том случае, когда напряжение σ0 достигнуто, скольжение становится возможным. Однако, по мнению Беккера оно неизбежно должно при этом привести к полному разделению материала вдоль плоскости скольжения: «при температуре абсолютного нуля мы не можем представить себе медленного скольжения вдоль данной плоскости, не сопровождающегося разрывом».
При температурах, отличных от нуля, скольжение в данной кристаллической плоскости становится возможным также и при значениях внешнего усилия, лежащих значительно ниже теоретической величины предела упругости σ0.
Вероятность P возникновения состояния,
характеризующегося некоторой избыточной энергией ΔU,
определяется соотношением:

, (1.5)
где к - постоянная Больцмана.
Дополнительная энергия ΔU,
необходимая для начала скольжения, может быть записана как:

, (1.6)
где σ0 - теоретический предел упругости, σ0 - компонента внешних сил, действующая в плоскости скольжения и взятая в направлении скольжения, V - объем, охваченный флуктуацией, G - модуль сдвига.
Отсюда

. (1.7)
Каждое локальное повышение напряжения σ до величины σ0 должно согласно Беккеру привести к локальному сдвигу вдоль данной кристаллографической плоскости на некоторый небольшой отрезок λ. Беккер полагает, что величина λ не зависит, в среднем, ни от температуры опыта, ни от значения σ.
Скорость пластического течения
будет в
таком случае определяться одной лишь вероятностью P спонтанного повышения σ до величины
σ0. Беккер
записывает:

, (1.8)
причем C=λn, где λ - удлинение образца, отвечающее отдельному локальному сдвигу, n - число участков кристалла, одновременно участвующих в скольжении (т.е. число областей, в которых имеет место флуктуация напряжений).
Согласно данному соотношению скорость пластической деформации кристаллических тел должна очень резко зависеть от температуры опыта.
Орован в одной из первых своих работ использует основное соотношение теории Беккера (1.8), определяющее зависимость скорости пластического течения от температуры, для нахождения температурной зависимости практического предела упругости.
Согласно формуле (1.8) скорость
пластической деформации
оказывается
отличной от нуля при любых сколь угодно малых значениях напряжения σ. Доступной
экспериментальному наблюдению она становится, однако, лишь начиная с некоторого
определенного минимального значения σ.
Орован вводит, в связи с этим,
понятие практического предела упругости, понимая под ним, то наименьшее
значение действующего в плоскости скольжения скалывающего напряжения σmin, начиная с
которого скорость пластического течения
становится удобоизмеримой.
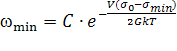
Пологая в формуле Беккера (1.8) σ = σmin:

. (1.9)
Отсюда ![]()
, где 
.
Соотношение (1.9) свидетельствует о том, что практический предел упругости материала должен существенным образом зависеть от температуры опыта, понижаясь по мере ее увеличения.
Для характеристики степени концентрации
дополнительных напряжений, обуславливаемых присутствием каждого из дефектов,
Орован вводит в рассмотрение специальный коэффициент q, равный отношению
истинного значения скалывающего напряжения σσ’,
действующего в области «дефектного места», к среднему значению скалывающего
напряжения σ, обусловленного
воздействием внешних сил:

. (1.10)
По мысли Орована скольжение должно
возникать в участках кристалла, характеризующихся наибольшими значениями
величины q, при условии, если действующее здесь напряжение σ’ окажется
дополненным до теоретической величины предела упругости ![]()
за счет тепловых флуктуаций.
Скорость пластического течения
определится
при этом уже не формулой (1.8), а соотношением:

(1.11)
Подобно многим исследователям Орован
утверждает, что между теоретическим пределом упругости ![]()
и его практическим значением должно
существовать расхождение того же порядка величины, что и между теоретическим и
практическим значениями прочности, т.е. что отношение 
должно составить ![]()
.
Так как тепловые флуктуации способны
повышать напряжение σ’ всего лишь
в несколько раз, для получения требуемого соотношения между ![]()
и σmin Оровану
приходится предположить, что численные значения множителя q могут быть
весьма велики - порядка ![]()
.
Температурная зависимость
практического предела упругости σ min при учете
перенапряжений, связанных с пороками строения кристаллов, определится
соответственно соотношением

, (1.12)
где 
.
Сопоставляя это соотношение с
формулой (1.11), отвечающей теории Беккера в ее исходной форме, интересно
отметить, что если по Беккеру при T=0
пластическая деформация возможна только при условии ![]()
, то по Оровану ![]()
равно в этом случае

. (1.13)
Таким образом, и при температуре
абсолютного нуля сохраняется понятие практического предела упругости, отличного
от ![]()
вследствие присутствия в кристалле
дефектных мест, являющихся очагами перенапряжений и способствующих тем самым
возникновению пластического течения.
дислокация старение вакансия дефект
.
Точечные дефекты
Важнейшими точечными дефектами в кристаллах
являются вакансии и междоузельные атомы. Точечные дефекты характеризуются
малыми размерами во всех трех измерениях. Величина их не превышает нескольких
атомных диаметров. Они образуются в процессе кристаллизации под воздействием
тепловых, механических, электрических воздействий, а также при облучении
нейтронами, электронами, рентгеновскими лучами.
2.1 Классификация
точечных дефектов
Простейшими точечными дефектами являются
вакансии (узлы, из которых удалены атомы) и межузельные атомы (рис.2.1). К
точечным дефектам в одноатомных кристаллах следует также отнести примесные
атомы различных сортов, которые могут либо замещать атомы матрицы (примеси
замещения), либо быть внедренными в различные междоузлия (примеси внедрения).
Рис.2.1. Схематическое изображение вакансий,
межузельного атома и примесных атомов
В кубических и гексагональных решетках существует межузлия двух типов - более просторные октаэдрические и менее просторные тетраэдрические. Как собственные, так и примесные межузельные атомы могут располагаться в межузлиях обоих типов или образовывать с каким-либо атомом матрицы сложной конфигурации. Межузельные атомы иногда называют внедренными атомами или атомами внедрения.
В результате удаления атома из своего узла какое-либо межузлие возникает пара вакансия - межузельный атом, которая называется дефектом Френкеля или френкелевской парой.
Примесные атомы могут также образовывать
комплексы, объединяясь между собой и с собственными дефектами матицы -
вакансиями и межузельными атомами.
2.2 Равновесная концентрация вакансий и
примесных атомов
Влияние точечных дефектов на
физические свойства кристалла определяется типом и концентрацией дефектов.
Рассмотрим, как влияют точечные дефекты, для определенности вакансии, на
свободную энергию кристалла F=![]()
. Как известно, в термодинамическом
равновесии при заданных температуре T и объеме V свободная
энергия F имеет
минимум. Все величины относятся к единице объема кристалла, содержащей N атомов.
Пусть энергия образования одной вакансии равна E (эта
величина порядка 1 эВ), а из N узлов n![]()
N являются вакантными. Появление n вакансий
приводит к изменению F на величину
![]()
,
где ΔS
- изменение энтропии, связанное с введением в кристалл n вакансий. Основной
вклад в ΔS
составляет конфигурационная энтропия
![]()
, (2.1)
где ![]()
(2.2)
число способов размещения n вакансий по
![]()
узлам, ![]()
- постоянная Больцмана. Используя
формулу Стирлинга ![]()
и условие n![]()
N, получаем
![]()
. (2.3)
Подстановка (15) и (13) в ![]()
дает:
![]()
.
Условие минимума ![]()
имеет вид:
![]()
,
откуда искомая равновесная
концентрация вакансий