Материал: Исследование термонапряженного состояния и оценка ресурса охлаждаемой лопатки турбины авиационного ГТД

Внимание! Если размещение файла нарушает Ваши авторские права, то обязательно сообщите нам

.        Сначала задаются координаты опорных точек наружного контура при обходе его от произвольной точки против часовой стрелки. Затем: задаются координаты одного из внутренних контуров (каналов охлаждения). Направление обхода - по часовой стрелке от произвольной точки.

Создание конечно-элементной расчетной сетки.

Задаем координаты точек профили и создаем файл 11.st, необходимый для создания простой сетки (таблица 4):

Таблица 4

1 0.500000

.190000 0.066966 0.010000 0.050000 0.223876 0.460000 0.802351

.165645 1.509998 1.909932 2.290821 2.669337 3.198297 3.708345 4.321023

.829393 5.161463 5.411249 5.579855 5.723482 5.851273 6.042338 6.130730

.235663 6.344531 6.385277 6.481534 6.481534 6.468976 6.437166 6.384128

.252422 6.040614 5.880000 5.740000 5.700000 5.439575 5.400000 5.229258

.070588 4.916266 4.762772 4.620000 4.309120 4.068994 3.700000 2.980000

.630344 2.200000 1.610568 1.263731 0.683427 0.420000 -0.560000 0.720000

.080000 1.515346 1.920000 2.181384 2.703382 3.330918 3.483860 3.773839

.928921 4.166700 4.276931 4.475345 4.673759 4.764359 4.730582 4.359146

.079000 3.695764 3.321188 3.087687 2.630413 2.173139 1.822886 1.496957

.219329 0.939285 0.620000 0.518237 -4.984474 4.634290 4.634290 4.897463

.074245 5.301537 5.474110 5.711234 5.776958 5.864591 6.021466 6.013565

.969749 5.920000 5.878183 5.772956 5.700000 5.483356 5.304642 5.187304

.200000 1.997391 1.700000 1.500000 1.255382 1.100000 0.931212

.805457 0.703610 0.627432 0.575060 0.567340 0.633953 0.735828 1.014118

.304270 1.582553 1.838584 2.094615 2.419337 2.699311 3.369662 3.731645

.175788 4.768085 5.176471 6.459488 6.856317 7.911111 8.292829 8.475919

.574698 8.620000 8.580000 8.450000 8.200000 6.072837 5.750000 5.152700

.717852 4.298977 3.916846 3.650000 3.220273 2.985150 2.780000 2.500000

.403742 2.320000 2.276227 2.334671 2.425064 2.380000 1.880000 1.940000

.880000 1.821575 1.800000 1.816642 1.906516 2.087991 2.132393 2.259770

.329807 2.447110 2.469156 2.358926 2.138465 2.014642 1.876052 1.639445

.469356 1.298439 1.167094 1.113583 1.064937 1.064937 1.118448 1.181688

.269010 1.403494 1.580000 1.704686 2.389838 2.785046 2.900106 3.247598

.516981 4.034700 4.518747 5.345490 5.582097 5.844994 5.847374 5.568953

.073831 4.620000 4.375638 3.929473 3.680000 3.020169 2.559928 2.415404

.996521 6.062660 6.128798 6.018568 5.974475 5.092634 5.731969

.172890 5.842199 6.084706 4.431253 0.705473 0.551151 4.078516 4.894220 0.352737 0.242506

.231100 7.958619 8.267263 7.583836 6.944501 2.050281 6.283120 6.283120 6.591764 6.613811 2.821892 2.138465 1.278670 2.777800 1.631407 2.006189 1.609361

Файл содержит следующую информацию:

.        Два числа: количество контактирующих деталей и максимальный допустимый шаг сетки, мм.

.        Количество опорных точек на контуре.

.        Количество дополнительных узлов внутри контура - 0.

.        Первый индекс сложности на контуре - 0.

.        Второй индекс сложности сетки - 0.

.        Абсциссы опорных точек контура, мм (со знаком минус у первых абсцисс внутренних контуров).

.        Ординаты опорных точек контура, мм.

.        Абсциссы дополнительных узлов внутри контура.

.        Ординаты дополнительных узлов внутри контура.

После запуска программы grid.exe, получаем конечно-элементную сетку - файл 11.set. Контур лопатки представлен на рисунке 2.

Рисунок 2 - Конечно-элементная сетка

3.      РАСЧЕТ ТЕМПЕРАТУРНОГО ПОЛЯ ЛОПАТКИ НА БАЗОВОМ РЕЖИМЕ


Постановка задачи: рассчитать температурное поле лопатки на базовом режиме.

Общие сведения Для определения напряженного состояния лопаток в условиях неравномерного нагрева на этапах рабочего проектирования выполняют детальный расчет температурных полей в поперечных сечениях лопатки на наиболее опасном (обычно взлетном) режиме.

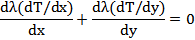
Ряд особенностей конвективного охлаждения лопаток, таких, как малая толщина стенок (по сравнению с длиной пера), высокие значения коэффициентов теплоотдачи от газа к лопатке и от нее к воздуху, позволяют во многих случаях рассчитывать температурное поле, решая двухмерное и уравнение стационарной теплопроводности.


где Т - температура в точке поперечного сечения с координатами Х и У

λ - коэффициент теплопроводности материала лопатки.

В качестве граничных условий для данного уравнения используются: на наружном контуре сечения лопатки - температура газа и коэффициенты теплоотдачи от газа, на внутренних контурах - температура воздуха и коэффициенты теплоотдачи от лопатки к воздуху.

Для решения уравнения теплопроводности численными методами необходимо создать в поперечном сечении лопатки достаточно густую сетку из треугольных элементов (триангуляционную сетку). В настоящее время известно большое количество алгоритмов и программ для автоматизированного построения сеток и решения на них уравнения теплопроводности. В конструкторских бюро авиационного двигателестроения наибольшее распространение получили программы, разработанные в Центральном институте авиационного моторостроения.

В лопатках конвективно-заградительного охлаждения температурное поле, особенно в районе перфорационных отверстий, трехмерно, что существенно усложняет задачу расчета. Чтобы свести задачу к двухмерной, проводят расчет осредненного в пределах шага перфорации температурного поля. С этой целью каждый ряд перфорационных отверстий заменяют одним или несколькими радиальными каналами прямоугольного сечения, центры которых равномерно распределяют по проекции оси отверстия на расчетное сечение. Влияние заменяющего канала на местное тепловое сопротивление передачи тепла теплопроводностью будет приблизительно таким же, как и ряда перфорации, если размеры канала в направлениях нормали к контуру, и параллельном ему, определены по соотношениям:


где  - толщина стенки лопатки;- диаметр отверстий перфорации;

- длина проекции канала на линии контура;- количество заменяющих клапанов;-шаг перфорации.

Если длина отрезка меньше ε - минимального расстояния, воспринимаемого алгоритмом создания сетки как две отдельные точки, то этот отрезок необходимо принять равным ε и рассчитать по данной формуле количество заменяющих каналов.

Граничные условия на контуре заменяющего канала задаются из условия эквивалентности теплоотдачи в нем теплоотдаче в отверстиях перфорации. Эквивалентность будет достигнута, если температуру воздуха в канале принять равной температуре воздуха в перфорации, а коэффициенты теплоотдачи в канале  и перфорации  будут связаны соотношением:

где Δ - дли на одного отверстия.

Введение заменяющего канала позволяет использовать для расчета температурного поля лопаток конвективно-заградительного охлаждения те же программы, что и для лопаток коивективного охлаждения.

Расчет температурного поля лопатки

Расчет производится с использованием подмодуля «Температурное поле», который может рассчитывать температурное поле в поперечном сечении турбиной лопатки с конвективной и конвективно-заградительной системами охлаждения.

Информация о результатах предшествующего проектирования поступает в подмодуль через описанный ранее файл «Расчетная сетка» и создаваемый пользователем файл исходных данных Условия теплообмена». Результаты расчетов с помощью файлов «Листинг температурного поля» и «Температурное поле» документируются и передаются для продолжения проектирования. Специальная программа «Изображение поля» обеспечивает визуализацию результатов на экране. Создаем файл «Условия теплообмена» (11.tem), который содержит описание распределений коэффициентов теплоотдачи, температуры среды по контуру лопатки и зависимости коэффициента теплопроводности материала от температуры. Для подготовки описания коэффициентов теплоотдачи наружный и внутренний контуры, пользуясь изображением сетки (рисунок 3), разбиваем на «отрезки теплоотдачи» двух видов, на которых коэффициенты задаем в каждом узле и одним значением на всем отрезке. Также составляем список отрезков, обозначая их номерами последних (наибольших) входящих в них узлов, перечисляя их в порядке возрастания номеров. Перед обозначением отрезка с заданием коэффициентов в узлах ставится знак "-". Коэффициенты теплоотдачи на отрезках записываются в файл строкой или столбцом при задании значений в узлах и только столбцом при задании одним числом. Температуры записываются в файле в строку или в столбец, если задаются в узлах, и только в столбец, если задаются одним числом на отрезке. Очередность перечисления должна соответствовать порядку отрезков в «списке отрезков».

В результате имеем файл со следующими исходными данными:

1

11

18 56 84 94 97 106 126 143 162 185

коэффициент теплоотдачи на вх. кромке

коэффициент теплоотдачи на ср. части спинки

коэффициент теплоотдачи на вых. части спинки

коэффициент теплоотдачи на вых. части корыта

коэффициент теплоотдачи на ср. части корыта

коэффициент теплоотдачи на вх. кромке

коэффициент теплоотдачи в 1-м канале

коэффициент теплоотдачи во 2-м канале

коэффициент теплоотдачи в 3-м канале

коэффициент теплоотдачи в 4-м канале

коэффициент теплоотдачи в 5-м канале

2

185

греющая температура

охлаждающая температура

700 1000





Непосредственно расчет производим, используя программу «Расчет температурного поля» grid2.ехе. - основная программа подмодуля, осуществляющая решение уравнения теплопроводности (стационарной и нестационарной) методом конечных элементов на плоской триангуляционной сетке при задании на контуре граничных условий третьего рода (коэффициентов теплоотдачи и температуры среды). После запуска программа запрашивает имя файла с условием теплообмена (11.tm). Далее запрашивается имя файла расчетной сетки (11.set). В результате расчета имеем поле распределения температур, которое записывается в файл 11.tem (рисунок 3):

Рисунок 3- температурное поле лопатки на базовом режиме

4.      РАСЧЁТ ПОЛЯ НАПРЯЖЕНИЕ ЛОПАТКИ НА БАЗОВОМ РЕЖИМЕ

лопатка авиационный газотурбинный теплообмен

Постановка задачи - рассчитать поле напряжений лопатки на базовом режиме.

Общие сведения

В пределах упругости материала напряжения от внешних сил и неравномерного нагрева можно рассчитывать независимо.

Напряжения от действия центробежных сил в точке сечения лопатки с координатами Х, Y относительно осей жесткости находится по формуле:

 

где N - центробежная сила, приложенная к сечению;(X,Y) - модель упругости;- площадь сечения;(X,Y) - элементарная площадка;

Напряжения от изгиба газодинамическими и центробежными силами:


где  и  - изгибающие моменты.

При выполнении машинных расчетов часто приходится приводить такие моменты, действующие на лопатку в окружном направлении и в осевой плоскости, к осям, используемым при проектировании лопатки. Для осей Х1 и Y1 формулы приведения имеют вид:


где  - изгибающий момент в плоскости вращения;

 - изгибающий момент в осевой плоскости;, Pu - интенсивности газовых сил в окружном и осевом направлениях;п, R - радиусы периферийного и расчётного сечений.

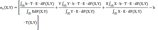
Температурные напряжения рассчитываются по формуле Биргера-Малинина:


где b - коэффициент линейного расширения;(X,Y) - температура.

Как правило, второе и третье слагаемые в данной формуле незначительны и, если принять модуль упругости постоянным по сечению, то она переходит в удобную для предварительных расчетов формулу:


где  - средняя температура сечения F

Суммарное напряжение в точке Х, У:


Значение напряжений позволяет определить запасы прочности, несущей способности и другие характеристики напряженного состояния.

Расчёт поля напряжений лопатки

Для выполнения расчетов применяют модуль САПР «Термонапряженное состояние».

Этот подмодуль рассчитывает поле напряжений, запасы прочности и другие величины, F характеризующие плосконапряженное состояние, при длительном воздействии центробежных сил, изгибающих моментов и неравномерного нагрева. Информация о результатах предшествующего проектирования передается в модуль через файл исходных данных «Внешние нагрузки» и описанные раннее файлы межпрограммного обмена «Температурное поле» и «Расчетная сетка». Результаты проектирования с помощью файла «Листинг напряженного состояния» могут документироваться в печатной форме, а с помощью файла «Напряженное состояние» воспринимается другими программами, в частности программой визуализации « Изображение поля».

В первую очередь создается файл «Внешние нагрузки» «setax.dat», который содержит следующую информацию (построчно):

-       Число -1;

-       Имя файла со свойствами материала (для сплава ЖС-6 - gs32.dat);

-       Три числа, задающих вид расчета

-       0 0 0 - упругопластический на кратковременную прочность;

-       1 1 1 - упругопластический на длительную прочность с учетом ползучести

-       Три числа: центробежная сила (Н), изгибающий момент Му (Н·м), изгибающий момент Му (Н·м);

-       Время работы деталей в часах (при расчете на кратковременную прочность может не задаваться);

-       Повторение п.5.

Исходные данные для данного расчета приведены в таблице 3.

Таблица 3

4.set -1 gs6.dat 1 1 1 1460 22.8 26.4 1500 1500

Сетка МКЭ  Материал Тип расчёта (упругий, без учёта ползучести) Нагрузки 2*N кг, 2*Мха г*см, 2*Мук г*см Продолжительность работы, час Продолжительность работы, час


Программа «Расчет напряженного состояния» gridЗ.ехе - основная программа подмодуля, осуществляет расчет поля напряжений, запасов прочности и других величин, характеризующих плосконапряженное состояние при длительном воздействии центробежных сил, изгибающих моментов и неравномерного нагрева. Расчет напряжений от действия центробежных и газодинамических сил ведется по формулам 1.1 и 1.2, температурных - по формуле Биргера-Малинина. Входящие в нее поверхностные интегралы рассчитываются численно по триангуляционной сетке. Программа запрашивает имя файла температурного поля (4.tem) и файл записи - 4.sig.

Поле напряжений в лопатке на базовом режиме изображено на рисунке 4.

Рисунок 4 - Поле напряжений в среднем сечении лопатки

5.      ВЫБОР КРИТИЧЕСКОЙ ТОЧКИ ЛОПАТКИ И ПРЕДВАРИТЕЛЬНАЯ ОЦЕНКА РЕСУРСА ЛОПАТКИ ПО КРИТЕРИЮ ДП


В результате расчёта поля напряжений лопатки на базовом режиме получаем, что минимальный запас прочности без ползучести, равный 0,79 имеет точка 55 (таблица 4).

Таблица 4

Температура, °С

1010,9

Напряжение σ, МПа

113,12

Запас прочности без учёта ползучести n

1,42

Ресурс, ч

1500