Материал: искусственный интеллект

Внимание! Если размещение файла нарушает Ваши авторские права, то обязательно сообщите нам

suai.ru/our-contacts

quantum

machine

 

learning

 

 

BUSEMEYER ET AL.

 

 

 

 

 

9 of 19

 

time points, whereas the quantum model predicted an interference effect of the first rating on the second. The effects were more subtlethe results produced significant differences only for the lowest coherence levels, and were present at the individual level for only 3 out of the 11 participants at the low (2, 4%) coherence levels. Thus, the the results suggest that interference effects do occur with sequences of judgments, but they are small and occur for only a subset of the participants and coherence conditions. One way to interpret this difference in empirical results is that using a binary decision for the first measurement may be more effective for producing a collapseas compared to making a probabilistic judgment, potentially suggesting that different types of measurements may have different effects on the evidence state.

This experiment also made it possible for a generalization test (Busemeyer & Wang, 2000) to quantitatively compare the Markov and quantum models. Unlike the Bayes factor method previously used by Kvam et al. (2015), the generalization test provides a method to test a priori predictions of the models in new conditions. To do this, the parameters of the models were estimated using results obtained from conditions 1 and 2 for each individual; and then these same parameters were used to predict probability ratings for each person on the third condition (see Figure 5). For 8 of the 11 participants the comparison favored the quantum model for coherence levels 2, 4, and 8%, but only 5 participants produced results favoring the quantum model for coherence level 16%. The results clearly favored the quantum model overall, but less so for high coherence. These results indicated that some features of both Markov and quantum models may be needed to accurately account for the results. The quantum model seems to perform better at the low coherence levels and the Markov model begins to do better at the higher coherence levels.

7 | CATEGORIZATION-DECISION PARADIGM

Of course, choice and confidence judgments about dot motion direction are not the only situations in which people may be tasked with making multiple responses in sequence. Another illustration of the effects of sequential responses comes from a paradigm where participants were asked to make a category judgment about a face shown on the screen and a decision about how to interact with that face (Townsend, Silva, Spencer-Smith, & Wenger, 2000). In this study, the faces shown on screen could belong to one of two groups: a hostile group and a friendly group. The categorization judgment, when prompted, asked participants to determine which group the face belonged based on the relative width of the face (e.g., wider faces were more likely to be friendly and narrower faces more likely to be hostile). The decision component of the task regarded how to interact with that face: to act defensively or to act friendly. The optimal behavior was to act defensively in response to hostile / narrow faces, and act friendly with friendly / wide faces.

The key manipulation in this study was whether or not the defensive/friendly decision was preceded by a categorization judgment, or whether the decision was made alone (and similarly, whether the categorization judgment would be affected if it were preceded by an action decision). It was designed to test the Markov assumption that the marginal probabilities of acting defensive/friendly should not depend on whether or not there was a categorization judgment preceding it. Although the time course of these responses was not precisely controlled as in the interference studies above, the result similarly violated the law of total probability. Participants were more likely to act defensively when the decision was presented alone (without the categorization beforehand) than when it was preceded by the additional response (Busemeyer et al., 2009a; Wang & Busemeyer, 2016b). Conversely, Busemeyer, Wang, and Lambert-Mogiliansky (2009b) developed a quantum model that was permitted to violate the law of total probability, but constrained to obey another law called double stochasticity. Participants' decisions more closely followed the predictions of the quantum model by violating the law of total probability without violating the law of double stochasticity. This constitutes another domain in which interference between a sequence of responses generates a pattern of results in direct conflict with predictions of a Markov model.

Similar quantum models have been used to explain findings such as the disjunction effect in the Prisoner's dilemma (Pothos & Busemeyer, 2009; Tversky & Shafir, 1992) and two-stage gambling paradigms (Busemeyer, Wang, & Shiffrin, 2015; Shafir & Tversky, 1992), and other measurement effects on preference (Sharot, Velasquez, & Dolan, 2010; White, Barqué-Duran, & Pothos, 2016; White, Pothos, & Busemeyer, 2014). However, these experiments do not examine the time at which responses are made and the corresponding models tend to have simpler nondynamical structures, so they are not reviewed here.

suai.ru/our

 

-

contacts

 

 

quantum machine learning

 

 

 

 

10 of 19

 

 

 

 

 

BUSEMEYER ET AL.

 

 

 

 

 

 

 

 

 

8 | SUMMARY

Taken together, these experiments help us hone in on the conditions in which the evidence accumulation may best be described as a quantum process and why. First, as we have established, based on first-principles, the Markov models predict that earlier responses do not impact the evidence accumulation process that helps determine later responses. Yet all three experiments show an interference effect such that earlier responses impact later ones. Generally speaking, the interference effect appears to be stronger when the first response is a binary one such as choice. One way to interpret this difference in empirical results is that using a binary decision for the first measurement may be more effective for producing a collapseas compared to making a probabilistic judgment. However, it is not just the interference effect that is consistent with a quantum process. For instance, in Kvam et al. the quantum model even provided a better fit than Markov models that we modified to recreate the interference effect. Part of the reason is that any modifications to the Markov model to account for the interference effect are post-hoc and add additional complexity to the model, whereas the quantum model predicts the interference effect from its first principles. Finally, the observed confidence distributions are frequently multimodal and discontinuous. The Markov model again does not account for these properties with its first principles. However, the study by Busemeyer et al. shows that this comparative advantage is more evident at lower levels of coherence, suggesting that the accumulation process may take a more classical form when selections are easierpossibly due to most of the probability amplitude being unaffected when a decision is easy (most of the amplitude will favor the correct decision, and so the collapse at t1 removing amplitude below 50% will have little effect on the state of evidence).

So far the key property that we have used to distinguish Markov versus quantum dynamics in this section is interference of a first response on later responses. However, other qualitative properties can also be tested in future work. One important property in particular is called the temporal Bell inequality (see Box 1; Atmanspacher & Filk, 2010). This is a test concerning an inequality based on comparing binary decisions at three different time intervals. Markov models must satisfy this inequality and quantum models can violate this property. In fact, Atmanspacher, Filk, and Romer (2004) proposed a quantum model of bistable perception that violates the temporal Bell and provided some preliminary evidence that supports this prediction. Yearsley and Pothos (2014) laid out specific tests of these inequalities and the classical notion of cognitive realism, and outlined judgment phenomena constituting violations of these inequalities that could be accounted for by quantum, but not classical, models of cognition.3

Choice and confidence are two of the three most important and widely studied measures of cognitive performance (Vickers, 2001; Vickers & Packer, 1982). The third measure is response time. Arguably, it is the ability of random

BOX 1 TEMPORAL BELL INEQUALITY

The temporal bell inequality was introduced to cognitive science by Atmanspacher & Filk, 2010 to test their dynamic quantum model of bistable perception. In particular, they were investigating the rate of change in perceived orientation of a Necker cube. However, the test can be applied to any sequence of binary decisions that satisfy the design shown in Figure 5 (see also Footnote 2). In the case of the Necker cube, participants would be asked a binary question such as does the cube appear orientated up or down.Denote D as the event of changing the perceived orientation from one time point to another time point (either changing from up to down or changing from down to up), and then define p(D|ta, tb) as the probability of changing orientation from the time point ta to another time point tb. Then, referring to Figure 5, the temporal Bell inequality is expressed as p(D|t1, t2) + p(D|t2, t3) ≥ p(D|t1, t3). All Markov models must satisfy this inequality, assuming as usual, that the particular measurement pair does not change the dynamics of the system (the system can be nonstationary, but it is assumed to be nonstationary in the same way for all pairs). The reason why is because the Markov model implies that all three of these probabilities of change can be derived from a single common three way joint distribution of the 2 (state is up or down at time t1) × 2 (state is up or down at time t2) × 2 (state is up or down at time t3), and this three way joint distribution must satisfy the temporal Bell inequality. If the inequality is violated, then no 3-way joint distribution even exists. Atmanspacher and Filk showed that their quantum dynamic model for the Necker cube paradigm can indeed violate this inequality for some specially selected time points.

suai.ru/our-contacts

quantum

machine

 

learning

 

 

BUSEMEYER ET AL.

 

 

 

 

 

11 of 19

 

walk/diffusion models to account for response times that has made them so popular (Ratcliff et al., 2016). Next we explore to what degree a quantum account may provide a new perspective on response times as well.

9 | RESPONSE TIME EXPERIMENTS

One of the most important and well-studied measures of cognitive processes is that of response times (Luce, 1986). Although judgments at different time points provide an important window onto the cognitive processes underlying the representation and revision of evidence, the ones we have discussed thus far have been responses elicited at specific experimentally controlled time points. A natural step forward is to predict characteristics of selections made in optional stopping procedures, where the decision maker, rather than experimenter, is in control of when a decision or judgment is made. In a typical choice-response time experiment, the decision maker is presented with a noisy stimulus (like the dot motion task stimulus shown in Figure 4), and views the stimulus until the decision maker decides when to stop and make a choice. Across many trials of this kind of experiment, a researcher can collect a distribution of choices and response times to each stimulus condition. The models are then designed to predict the choice proportions (usually accuracy in terms of percent correct) and response time distributions.

The optional stopping procedure raises an interesting issue concerning the stopping rule. The usual assumption for making at choice at a particular time for the Markov model is to stop as soon as the process reaches a criterion level. For example, referring to Figure 2, the criterion for stopping and choosing certain rightmight be when the process first reaches the 90% confidence level. This stopping rule is made possible by the assumption that the Markov process is located at a specific level at each time point. Unlike the Markov process, the quantum process is not located at any specific level of evidence at each point in time. Referring again to Figure 2, the quantum walk process is superposed over levels until a measurement is taken. Therefore, one must make an additional assumption about when the state is observed, such as supposing that the decision maker repeats measurements at regular small time intervals. Each measurement results in one of three categorizations: one that produces a result that reaches or exceeds the upper criterion (e.g., >90%); one that produces a result that reaches or falls below the lower criterion (e.g., <10%); or a measurement that produces a result falling in between the two criteria. If the measurement produces a result that exceeds a criterion, then the process stops and that measurement is reported. If the measurement produces a result in between the criterion, then the process continues for another step. The final decision time is the sum of the time units for each repeated measurement until the process stops, producing a discrete approximation of response time distributions commonly used in decision models (Ratcliff et al., 2016).

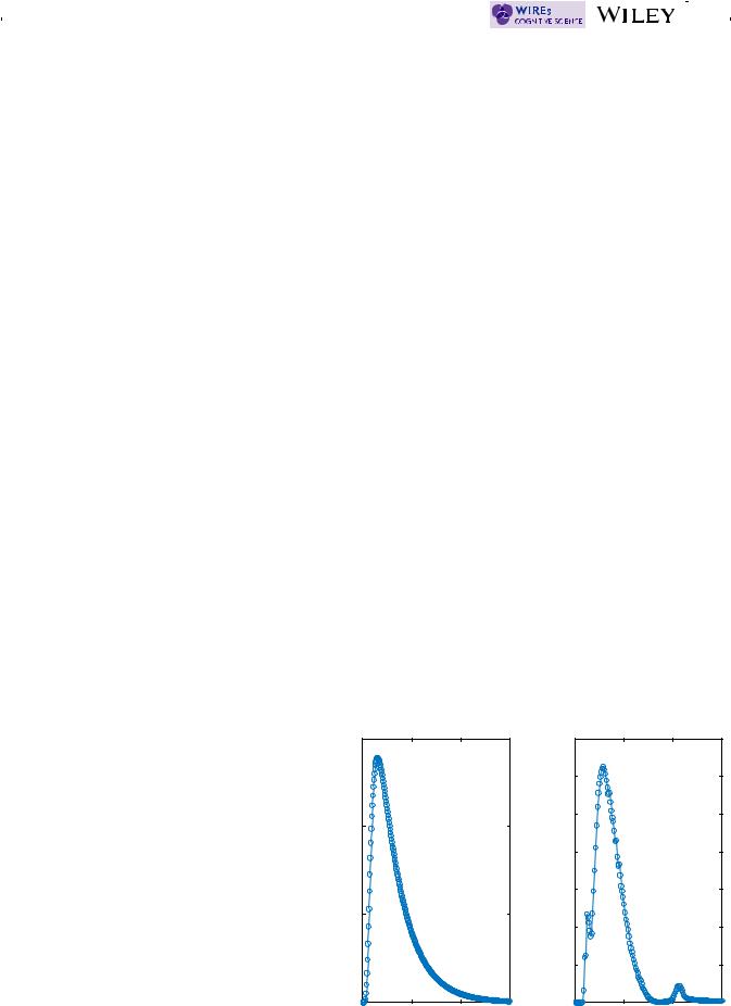
Figure 6 illustrates the predictions for response time distribution from each type of model. The parameters of the two models were chosen to give approximately the same probability of correct. There are several features to note. First, the quantum model has a faster stopping time as compared to the Markov model in this example. This property has also

F I G U R E 6 Comparison of stopping times for Markov (left panel) and quantum (right panel) models. Horizontal axis is time (in the same arbitrary units for both models) and vertical axis is relative frequency of a stopping time. The parameters were set so that both models produce the same choice accuracy. Note that the horizontal and vertical scales are different because the quantum model is faster than the Markov model

0.015

Markov

 

 

0.035

Quantum

 

 

 

 

 

 

 

 

 

Prob correct = .94

 

 

 

Prob correct = .94

 

 

 

 

 

 

0.03

 

 

 

0.01

 

 

 

 

0.025

 

 

 

 

 

 

Probability

 

 

 

 

Probability

 

 

 

0.02

 

 

 

 

 

 

 

 

 

 

 

 

 

 

 

 

0.015

 

 

 

0.005

 

 

 

 

0.01

 

 

 

 

 

 

 

 

 

 

 

 

 

 

 

 

0.005

 

 

 

0

 

 

 

 

0

 

 

 

0

100

200

300

 

0

50

100

150

 

 

Time

 

 

 

 

Time

 

suai.ru/our

 

-

contacts

 

 

quantum machine learning

 

 

 

 

12 of 19

 

 

 

 

 

BUSEMEYER ET AL.

 

 

 

 

 

 

 

 

 

been observed by other researchers (Fuss & Navarro, 2013), and may constitute an adaptive reason for why a decision maker would implement a quantum rather than Markov random walk for decision making. Second, the quantum model has a small second mode, which is produced by oscillation and interference properties of the quantum dynamics. Empirically multimodal distributions have been interpreted as evidence for multiple stage processes (see, e.g., Pleskac & Wershbale, 2014); however, in this case there is only a single process. Furthermore, empirical distributions are often smoothed, which could make it difficult to detect a small second mode in the distribution.

The first comparison between models with regard to response times was carried out by Busemeyer et al. (2006). In that work, the distributions of response times were derived from quantum and Markov models by assuming that a choice was made as soon as the state was measured at a location beyond a specific criterion level. Measurements were assumed to occur every 10 ms to determine if the process had crossed the choice boundary by that time. This initial effort at comparing models in terms of response time predictions favored the Markov model, which was nearly equivalent to the well established diffusion decision model of response times (Ratcliff et al., 2016). Although this first comparison did not favor the quantum model, it did show that the quantum model was capable of providing reasonably accurate fits to the choice and response time distributions.

This early work comparing quantum and Markov models of response time was then followed up by subsequent developments by Fuss and Navarro (2013), who used a more general approach to modeling quantum dynamical systems. The previous work by Busemeyer et al. (2006) was limited by its use of what is called a closedquantum system that does not include any additional noiseoperators and always remains in a coherent (superposed) state. Fuss and Navarro (2013) implemented a quantum random walk that included quantum noiseoperators that generate partial decoherence, producing a decay into a part-quantum and part-classical system that mixed both von Neumann uncertainty (measurement uncertainty about where a superposition state will collapse) and classical uncertainty (uncertainty about which of several states a person is located). This type of openquantum system represents a potentially more realistic view of quantum random walk models (Yearsley, 2017), where the superposition state partially decoheres as a result of interactions with noise(as opposed to the purecoherent states presented above that are part of a closed quantum system without any noise). This partially coherent quantum model can be interpreted as a massively parallel cognitive architecture that involves both inhibitory and excitatory interactions between units (e.g., neurons or neural populations), as we might expect from neural representations of evidence. It turns out that this more general quantum walk model out-performed a simple diffusion model in fitting the response time distributions in a perceptual decisionmaking experiment (Gökaydin, Ma-Wyatt, Navarro, & Perfors, 2011).

With results running in both directions between Markov and quantum models, it is too early to say which type of model is more promising for modeling response times. Quantitative tests based on model fits may not produce a clear answer for distinguishing these two type of response time models. Instead, the quality of out-of-sample predictions like the generalization test (similar to that presented in the interference with double confidence ratings section) may be necessary to arbitrate between them. Nevertheless, the open quantum systems approach, inspired by the cooperative and competitive interactions between units representing evidence (neurons), appears a promising direction for developing better models of response times.

10 | PREFERENCE AND DISSONANCE

As mentioned at the beginning, Markov and quantum process are also applicable to understanding how preferences accumulate and evolve over time. A great deal of work has already been done applying Markov models to preference (Busemeyer, Gluth, Rieskamp, & Turner, 2019; Pleskac, Diederich, & Wallsten, 2015), but we are only beginning to apply quantum processes to preference evolution. Two initial applications are described below.

The quantum model is equally applicable whether the underlying scale is degrees of preference or degrees of belief, and so it makes extremely similar predictions regarding the effect of a binary choice on subsequent preference ratings as it does with confidence ratings. Namely, it suggests that preference ratings that follow a choice, when there is information processing between the choice and preference rating, should diverge from those that are not preceded by a choice as in the interference from choice on confidence study above. The effect of a decision on subsequent preferences that arises from the quantum walk models bears some interesting commonalities with other well-studied phenomena. In particular, the observation that making a decision results in different distributions of confidence judgments is reminiscent of work on cognitive dissonance that was applied to preference judgments (Festinger, 1957, 1964). In this work, a decision maker is offered a choice between two alternatives, and then is subsequently (after some delay following

suai.ru/our-contacts

quantum

machine

 

learning

 

 

BUSEMEYER ET AL.

 

 

 

 

 

13 of 19

 

choice) asked to rate their preference between the choice options. The typical finding is that postchoice preference ratings favor the chosen alternative, relative to either prechoice preferences (Brehm, 1956) or to a preference elicited in absence of prior choice (Festinger & Walster, 1964).

The typical explanation for dissonance effects is one of motivated reasoning: A person is driven by conflict between internal states of preference (A and B are similar in value) and stated preference elicited via choice (A chosen over B) to change their degree of preference to favor the chosen option. However, this bolsteringeffect is sometimes preceded by an opposing suppressioneffect, where a chosen alternative is more weakly preferred to an alternative compared to cases where there is no decision between the options (Brehm & Wicklund, 1970; Festinger & Walster, 1964; Walster, 1964). Both of these effects are clearly at odds with a Markov account of preference representation, which suggests that making a decision by itself should not change alter an underlying preference state between a pair of options.

Conversely, the quantum dynamical models provide a natural explanation for these bolstering and suppression effects. Although the quantum account is not incompatible with the dissonance account of bolstering based on motivational processes, the quantum framework offers an alternative explanation for these effects. For example, White et al. (2014, 2016) used measurement effects with a (nondynamic) quantum model to account for decision biases that unfolded in sequential affective judgments.

Here, we take this work a step further by using a dynamical model to account for preferences measured at experimentally at different controlled points in time. According to quantum dynamics, the measurement of a choice at an early time point creates a cognitive state that interacts with subsequent accumulation dynamics. Therefore a quantum process predicts that a choice at an early time point naturally results in subsequent preferences that diverge from those produced by a no-choice condition. As with the choice-confidence interference study, we expect a paradigm eliciting choice and then preference to yield an interference effect where preference ratings in a no-choice condition systematically differed from those in a choice condition.

11 | OSCILLATION

One implication of the quantum approach to preference formation and dissonance is that it predicts bolstering and suppression effects should depend on the time at which preference ratings are elicited. The choice-confidence interference study used a relatively short timescale between choice and confidence ratings (maximum 1.5 s after choice), and generated an effect closer to suppression, where ratings were more extreme in the no-choice than in the choice condition. However, due to the oscillatory nature of quantum models, we also expect to find the reverse phenomenon of bolstering (choice > no-choice) when confidence or preference strength is elicited at a later point in time.

An example of model predictions for how preference should evolve over time for a Markov, a deterministic oscillator, and a quantum model are shown in Figure 7. As shown, the quantum model predicts that preference strength should oscillate over time, owing to the wave-like dynamics described in Table 1. Choice dampens the magnitude of these oscillations, leading to instances of both suppression (no-choice > choice, around 535 s after choice in Figure 7) and bolstering (choice > no-choice, around 2550 s after choice in Figure 7). Naturally, the time at which each type of effect appears will depend on the stimuli used as choice alternatives, the individual characteristics of the decisionmaker, and thus the corresponding parameters of the model (such as drift rate and diffusion). Work exploring this unique oscillation prediction from the quantum model is still underway, but early suggestions are that oscillations do

F I G U R E 7 Expected time course of mean preference ratings generated from a typical Markov random walk model (left), a deterministic oscillating approach-avoidance model (middle), and quantum walk model (right)