Материал: искусственный интеллект

Внимание! Если размещение файла нарушает Ваши авторские права, то обязательно сообщите нам

suai.ru/our

 

-

contacts

 

 

quantum machine learning

 

 

 

 

14 of 19

 

 

 

 

 

BUSEMEYER ET AL.

 

 

 

 

 

 

 

 

 

indeed appear in preference data when ratings are elicited at varying time points, and that the resulting preference pattern exhibits both bolstering and suppression effects in line with the quantum model predictions and in contrast to the Markov model (Kvam, 2014).

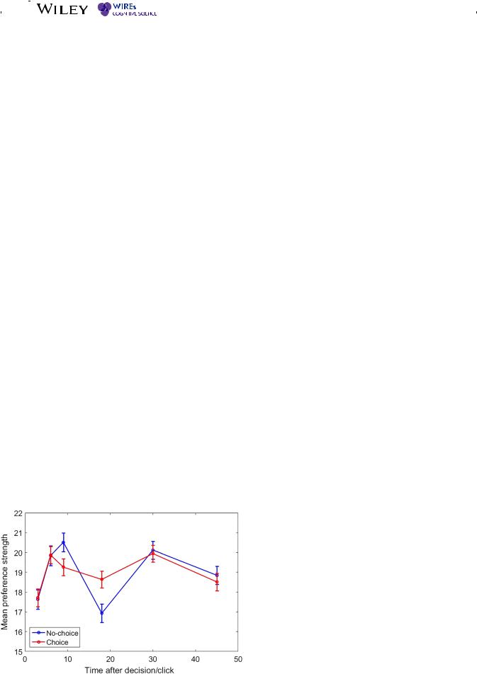
The results of the first experiment exploring the time course of mean preference strength are shown in Figure 8 (this is a reanalysis of the data from Kvam, 2014). In this experiment, participants completed a choice condition, where they chose between two gift cards after 5 s and then rated their degree of preference between them at 3, 6, 8, 18, 30, or 45 s after choice; or a no-choice condition, where the choice response was replaced with a button press, as in the interference study presented above. As predicted by the quantum model, preference strength shifted back and forth over time, creating a pattern that exhibits some oscillations. Furthermore, preference strength shifts are dampened (stabilized) by a prior choice, resulting in a difference in mean preference between choice and no-choice at different time points in different directions. Because the pattern of choice and no-choice reverses due to the oscillations, there are both early suppression effects (no-choice > choice, around 9 s following initial response) as well as the classic bolstering effect that has appeared in experiments investigating cognitive dissonance (choice > no-choice, around 18 s following initial response).

This pattern of observed mean preference strength is striking, showing a pattern of oscillation that is at odds with both our intuitions about preference as well as predictions of many classical models. In particular, it represents an experimental result that conflicts on multiple levels with a Markov account of preference, which suggests that choice and no-choice should not differ and that mean preference strength should increase monotonically with time. Although these early results are suggestive of a qualitative gap in performance between the two models, a formal model comparison should further reveal the degree to which the quantum and Markov models are capable of handling these patterns in the data.

12 | CONCLUSION

The comparison between Markov and quantum models of evidence accumulation is particularly illuminating because subtle but systematic differences in how they represent evidence states, measurement, and evidence accumulation lead to diverging predictions regarding the effects of cognitive measurements like decisions or confidence judgments. These a priori predictions offer the rare opportunity to discriminate between models on the basis of qualitative resultssuch as the interference effectrather than only based on quantitative model comparison.

Foremost among these diverging predictions is the idea from the quantum model that decision making is a constructive process, where taking a cognitive measurement by making a choice creates rather than simply records the state of a cognitive system. This aligns with the long-standing but mathematically informal theory in the decisionmaking literature that choice is a constructive process that requires a person to generate a new cognitive state in order to respond in decision scenarios (Ariely & Norton, 2008; Lichtenstein & Slovic, 2006; Payne et al., 1992; Slovic, 1995). The effect of this measurement process is illustrated in experiments like the choice-confidence paradigm, which

F I G U R E 8 Pattern of mean preference strength elicited at different time points following a decision (choice) or irrelevant button press (no-choice). Error bars indicate ±1 unit of standard errordifferences between choice and no-choice are substantive at 9- and 18-s time points

suai.ru/our-contacts

quantum

machine

 

learning

 

 

BUSEMEYER ET AL.

 

 

 

 

 

15 of 19

 

resulted in distributions of confidence that depended on whether or not choice was elicited at an earlier time point, referred to here as an interference effect (Kvam et al., 2015). Related work investigating the effect of categorization on subsequent decisions in the categorization-decision paradigm (Busemeyer et al., 2009a; Townsend et al., 2000) again illustrates the effect of measuring cognition through categorization decisions and its effect on subsequent decisions about how to interact with other agents.

Although both of these paradigms illustrate gaps in the Markov approach to modeling decisions, other results seem more mixed regarding which type of model is most appropriate. The high coherence conditions of the double confidence experiment revealed that the Markov model can out-perform the quantum model when there is not clear interference between sequential responses (Busemeyer, Kvam, & Pleskac, 2019). Other types of data like response times, where Markov models have long been applied and vetted, also serve as challenges where Markov models out-perform quantum models (Busemeyer et al., 2006). With such a long history of application to modeling response times (Ratcliff et al., 2016), it is perhaps not too surprising that this measure is more within the purview of classical Markov and diffusion models. Further development and testing of the nascent dynamic quantum models may prove that both types of models are competitive in these scenarios, but for now it seems that the classical approach can yield quantitatively superior fits.

One concern regarding the differences between Markov and quantum models of evidence accumulation is the plausibility in terms of implementations of these systems. While a description of behavior in quantum terms does not necessitate a corresponding neurophysiological implementation, it would certainly be more convincing if this connection could be made. The Markov model has natural connections to neural substrates through classical neural networks (Kira, Yang, & Shadlen, 2015; Rao, 2010), making it straightforward to imagine it being implemented in the brain. It is potentially possible that quantum operations are implemented via true superposition (pure quantum states) in the brain (Hagan, Hameroff, & Tuszynski, 2002), although this would have to occur such a noisy environment that quantum states are likely to decohere immediately (Tegmark, 2000). A potentially more likely explanation is that a classical neural network produces patterns that are described well by the mathematics of quantum theory. Exactly this kind of classical neural network implementation of quantum computations also have been proposed (Busemeyer, Fakhari, & Kvam, 2017; Khrennikov, Basieva, Pothos, & Yamato, 2018), providing a simple but plausible connection between quantum walks and neural substrates. Likewise, an open systemquantum model possesses many properties that naturally align with classical neural systems, including parallel processing along with excitatory and inhibitory interactions between adjacent states (neural populations) (Fuss & Navarro, 2013).

This article has focused on contrasting quantum and Markov models. However, really both frameworks have insights to offer regarding the evidence accumulation and decision process. Indeed, these models co-exist within openquantum systems, which begin with ontic uncertainty of the quantum model (where the decision maker is uncertain about their own state due to superposition over evidence levels) and later reduce to epistemic uncertainty (where the decision maker knows their state, but the modeler does not due to the existence of probabilistic dynamics) through interaction with the noise in the internal or external environment. This decoherencetakes us from a pure closedquantum system described by superposition to a partially coherent or mixed system described by a combination of both superposition and classical uncertainty. Such a system can be described in terms of density matrices, quantum noiseoperators, and mixed states characterizing both our uncertainty about the state a decision maker is in as well as the decision maker's uncertainty about how their state might be mapped onto to possible responses or levels of evidence. Ultimately, this may provide a more comprehensive account: while quantum models are necessary to account for effects like interference, there is undoubtedly a degree of internal (metacognitive) measurement and classical uncertainty about what state a person is located that should be incorporated into the model, creating a mix of quantum and classical uncertainty. Such a mix is often left unexamined in more traditional accounts of decision making under uncertainty (see for example Hertwig et al., 2019). These types of hybrid quantum and Markov models for decision making are developed in work by several researchers (Asano, Ohya, Tanaka, Basieva, & Khrennikov, 2011; Fuss & Navarro, 2013; Khrennikov, 2016; Yearsley, 2017). Moving forward, these open systemmodels show great promise and may even be necessary to account for the multifaceted results on evidence accumulation, decision-making, preference, and confidence.

CONFLICT OF INTEREST

The authors have declared no conflicts of interest for this article.

suai.ru/our

 

-

contacts

 

 

quantum machine learning

 

 

 

 

16 of 19

 

 

 

 

 

BUSEMEYER ET AL.

 

 

 

 

 

 

 

 

 

ORCID

Jerome R. Busemeyerhttps://orcid.org/0000-0002-7594-1871

Peter D. Kvamhttps://orcid.org/0000-0002-3195-8452

Timothy J. Pleskachttps://orcid.org/0000-0001-5761-1900

ENDNOTES

1The use of complex numbers is common in mathematics including signal processing, time series analysis, and control theory. Complex numbers are used in quantum theory essentially as a mathematically efficient representation for computation of the probability amplitudes.

2The study in Busemeyer et al. (2019) was originally designed to test the temporal Bell inequality described later in this article by examining reversals in confidence (see also Box 1). However, the results were inconclusive particularly because the temporal Bell inequality was designed for choice instead of confidence.

3Cognitive realism is the idea that a definite cognitive state is always present at any definite point in time.

RELATED WIREs ARTICLE

ACT-R: A cognitive architecture for modeling cognition

FURTHER READING

Bruza, P. D., Wang, Z., & Busemeyer, J. R. (2015). Quantum cognition: A new theoretical approach to psychology. Trends in Cognitive Science, 19(7), 383393.

Busemeyer, J. R., & Wang, Z. (2015). What is quantum cognition and how is it applied to psychology? Current Directions in Psychological Science, 24(3), 163169.

Pothos, E. M., & Busemeyer, J. R. (2013). Can quantum probability provide a new direction for cognitive modeling? Behavioral and Brain Sciences, 36, 255274.

Kvam, P. D., & Pleskac, T. J. (2017). A quantum information architecture for cue-based heuristics. Decision, 4, 197233.

Wang, Z., Busemeyer, J. R., Atmanspacher, H., & Pothos, E. M. (2013). The potential of using quantum theory to build models of cognition.

Topics in Cognitive Science, 5(4), 672688.

REFERENCES

Ariely, D., & Norton, M. I. (2008). How actions createNot just revealPreferences. Trends in Cognitive Sciences, 12(1), 1316. https://doi. org/10.1016/j.tics.2007.10.008

Asano, M., Ohya, M., Tanaka, Y., Basieva, I., & Khrennikov, A. (2011). Quantum-like model of brain's functioning: Decision making from decoherence. Journal of Theoretical Biology, 281(1), 5664.

Atmanspacher, H. (2002). Determinism is ontic, determinability is epistemic. In H. Atmanspacher & R. Bishoph (Eds.), Between chance and choice: Interdisciplinary perspectives on determinism (pp. 4974). Thorverton, England: Imprint Academic.

Atmanspacher, H., & Filk, T. (2010). A proposed test of temporal nonlocality in bistable perception. Journal of Mathematical Psychology, 54, 314321.

Atmanspacher, H., Filk, T., & Romer, H. (2004). Quantum zero features of bistable perception. Biological Cybernetics, 90, 3340.

Baranski, J. V., & Petrusic, W. M. (1998). Probing the locus of confidence judgments: Experiments on the time to determine confidence. Journal of Experimental Psychology: Human Perception and Performance, 24(3), 929945.

Bhatia, S., & Pleskac, T. J. (2019). Preference accumulation as a process model of desirability ratings. Cognitive Psychology, 109, 4767. Bhattacharya, R. N., & Waymire, E. C. (1990). Stochastic processes with applications. New York, NY: Wiley.

Brehm, J. W. (1956). Postdecision changes in the desirability of alternatives. The Journal of Abnormal and Social Psychology, 52(3), 384389. https://doi.org/10.1037/h0041006

Brehm, J. W., & Wicklund, R. A. (1970). Regret and dissonance reduction as a function of postdecision salience of dissonant information.

Journal of Personality and Social Psychology, 14(1), 17. https://doi.org/10.1037/h0028616

Busemeyer, J. R., & Bruza, P. D. (2012). Quantum models of cognition and decision. Cambirdge, MA: Cambirdge University Press. Busemeyer, J. R., Fakhari, P., & Kvam, P. (2017). Neural implementation of operations used in quantum cognition. Progress in Biophysics

and Molecular Biology, 130, 5360.

Busemeyer, J. R., Gluth, S., Rieskamp, J., & Turner, B. M. (2019). Cognitive and neural bases of multi-attribute, multi-alternative, valuebased decisions. Trends in Cognitive Sciences, 23(3), 251263. https://doi.org/10.1016/j.tics.2018.12.003

Busemeyer, J. R., Kvam, P., & Pleskac, T. J. (2019). Markov versus quantum dynamic models of belief change during evidence monitoring.

Scientific Reports, 9(1), 110.

Busemeyer, J. R., Pothos, E. M., Franco, R., & Trueblood, J. S. (2011). A quantum theoretical explanation for probability judgment errors.

Psychological Review, 118(2), 193218.

suai.ru/our-contacts

quantum

machine

 

learning

 

 

BUSEMEYER ET AL.

 

 

 

 

 

17 of 19

 

Busemeyer, J. R., & Townsend, J. T. (1993). Decision field theory: A dynamic-cognitive approach to decision making in an uncertain environment. Psychological Review, 100(3), 432459. https://doi.org/10.1037//0033-295X.100.3.432

Busemeyer, J. R., & Wang, Y.-M. (2000). Model comparisons and model selections based on generalization criterion methodology. Journal of Mathematical Psychology, 44(1), 171189.

Busemeyer, J. R., Wang, Z., & Lambert-Mogiliansky, A. (2009a). Empirical comparison of markov and quantum models of decision making.

Journal of Mathematical Psychology, 53(5), 423433.

Busemeyer, J. R., Wang, Z., & Lambert-Mogiliansky, A. (2009b). Empirical comparison of markov and quantum models of decision making.

Journal of Mathematical Psychology, 53(5), 423433.

Busemeyer, J. R., Wang, Z., & Shiffrin, R. S. (2015). Bayesian model comparison favors quantum over standard decision theory account of dynamic inconsistency. Decision, 2, 112.

Busemeyer, J. R., Wang, Z., & Townsend, J. T. (2006). Quantum dynamics of human decision-making. Journal of Mathematical Psychology, 50(3), 220241.

Diederich, A., & Busemeyer, J. R. (2003). Simple matrix methods for analyzing diffusion models of choice probability, choice response time, and simple response time. Journal of Mathematical Psychology, 47(3), 304322.

Dutilh, G., & Rieskamp, J. (2016). Comparing perceptual and preferential decision making. Psychonomic Bulletin & Review, 23(3), 723737. https://doi.org/10.3758/s13423-015-0941-1

Edwards, W., Lindman, H., & Savage, L. J. (1963). Bayesian statistical inference for psychological research. Psychological Review, 70(3), 193. Emerson, P. L. (1970). Simple reaction time with markovian evolution of gaussian discriminal processes. Psychometrika, 35(1), 99109. Festinger, L. (1957). A theory of cognitive dissonance. Stanford, CA: Stanford University Press.

Festinger, L. (1964). Conflict, decision, and dissonance. Redwood City, CA: Stanford University Press.

Festinger, L., & Walster, E. (1964). Post-decision regret and decision reversal. In L. Festinger (Ed.), Conflict, decision, and dissonance (pp. 100112). Stanford, CA: Stanford University Press.

Fuss, I. G., & Navarro, D. J. (2013). Open parallel cooperative and competitive decision processes: A potential provenance for quantum probability decision models. Topics in Cognitive Science, 5(4), 818843.

Gigerenzer, G., Todd, P., & the ABC Research Group. (1999). Simple heuristics that make us smart. New York, NY: Oxford University Press. Gökaydin, D., Ma-Wyatt, A., Navarro, D., & Perfors, A. (2011). Humans use different statistics for sequence analysis depending on the task.

In L. Carlson (Ed.), Proceedings of the 33rd annual meeting of the cognitive science society (pp. 543548). Retrieved from https:// escholarship.org/uc/item/4hg0g273

Gudder, S. P. (1979). Stochastic methods in quantum mechanics. Mineola, NY: Dover.

Hagan, S., Hameroff, S. R., & Tuszynski, J. A. (2002). Quantum computation in brain microtubules: Decoherence and biological feasibility.

Physical Review E, 65(6), 061901.

Hertwig, R., Pleskac, T. J., Pachur, T., & The Center for Adaptive Rationality. (2019). Taming uncertainty. Cambridge, MA: MIT Press. Johnson, J. G., & Busemeyer, J. R. (2005). A dynamic, stochastic, computational model of preference reversal phenomena. Psychological

Review, 112(4), 841861. https://doi.org/10.1037/0033-295X.112.4.841

Khrennikov, A., Basieva, I., Pothos, E. M., & Yamato, I. (2018). Quantum probability in decision making from quantum information representation of neuronal states. Scientific Reports, 8(1), 16225.

Khrennikov, A. Y. (2010). Ubiquitous quantum structure: From psychology to finance. Berlin: Springer.

Khrennikova, P. (2016). Quantum dynamical modeling of competition and cooperation between political parties: The coalition and noncoalition equilibrium model. Journal of Mathematical Psychology, 71, 3950.

Kira, S., Yang, T., & Shadlen, M. N. (2015). A neural implementation of Wald's sequential probability ratio test. Neuron, 85(4), 861873. Kvam, P. D. (2014). The time course of preference formation: Quantitative process model predictions for cognitive dissonance effects (Master's

thesis). Michigan State University, East Lansing, MI.

Kvam, P. D., & Busemeyer, J. R. (2019). A distributional and dynamic theory of pricing and preference. Preprint. https://doi.org/10.31234/ osf.io/3sx8b

Kvam, P. D., & Pleskac, T. J. (2016). Strength and weight: The determinants of choice and confidence. Cognition, 152, 170180. https://doi. org/10.1016/j.cognition.2016.04.008

Kvam, P. D., Pleskac, T. J., Yu, S., & Busemeyer, J. R. (2015). Interference effects of choice on confidence. Proceedings of the National Academy of Science of the United States of America, 112(34), 1064510650.

Lichtenstein, S., Fischhoff, B., & Phillips, L. D. (1982). Calibration of probabilities: The state of the art to 1980. In P. S. D. Kahneman & A. Tversky (Eds.).

Lichtenstein, S., & Slovic, P. (2006). The construction of preference. Cambridge, England: Cambridge University Press.

Luce, R. D. (1986). Response times: Their role in inferring elementary mental organization (Vol. 8). Oxford, England: Oxford University Press. McFadden, D., Machina, M. J., & Baron, J. (1999). Rationality for economists? In B. Fischhoff & C. F. Manski (Eds.), Elicitation of preferences

(pp. 73110). Dordrecht: Springer. https://doi.org/10.1007/978-94-017-1406-8-4

Moran, R., Teodorescu, A. R., & Usher, M. (2015). Post choice information integration as a causal determinant of confidence: Novel data and a computational account. Cognitive Psychology, 78, 99147. https://doi.org/10.1016/j.cogpsych.2015.01.002

Nosofsky, R. M., & Palmeri, T. J. (1997). An exemplar-based random walk model of speeded classification. Psychological Review, 104(2), 266300. https://doi.org/10.1037/0033-295X.104.2.266

suai.ru/our

 

-

contacts

 

 

quantum machine learning

 

 

 

 

18 of 19

 

 

 

 

 

BUSEMEYER ET AL.

 

 

 

 

 

 

 

 

 

Payne, J. W., Bettman, J. R., & Johnson, E. J. (1992). Behavioral decision research: A constructive processing perspective. Annual Review of Psychology, 43, 87131. https://doi.org/10.1146/annurev.ps.43.020192.000511

Payne, J. W., Bettman, J. R., & Johnson, E. J. (1993). The adaptive decision maker (p. 330). New York, NY: Cambridge University Press. Pleskac, T. J., & Busemeyer, J. R. (2010). Two-stage dynamic signal detection: A theory of choice, decision time, and confidence. Psychological

Review, 117(3), 864901. https://doi.org/10.1037/A0019737

Pleskac, T. J., Diederich, A., & Wallsten, T. S. (2015). Models of decision making under risk and uncertainty. In J. Busemeyer, Z. Wang, J. T. Townsend, & A. Eidels (Eds.), The Oxford handbook of computational and mathematical psychology (pp. 209231). New York, NY: Oxford University Press.

Pleskac, T. J., & Wershbale, A. (2014). Making assessments while taking repeated risks: A pattern of multiple response pathways. Journal of Experimental Psychology: General, 143(1), 142162. https://doi.org/10.1037/a0031106

Pleskac, T. J., Yu, S., Hopwood, C., & Liu, T. (2019). Mechanisms of deliberation during preferential choice: Perspectives from computational modeling and individual differences. Decision, 6(1), 77107. https://doi.org/10.1037/dec0000092

Pothos, E. M., & Busemeyer, J. R. (2009). A quantum probability model explanation for violations of rationaldecision making. Proceedings of the Royal Society B, 276(1665), 21712178.

Rao, R. P. (2010). Decision making under uncertainty: A neural model based on partially observable markov decision processes. Frontiers in Computational Neuroscience, 4, 146.

Ratcliff, R. (1978). A theory of memory retrieval. Psychological Review, 85(2), 59108. https://doi.org/10.1037/0033-295X.85.2.59

Ratcliff, R., Smith, P. L., Brown, S. L., & McCoon, G. (2016). Diffusion decision model: Current history and issues. Trends in Cognitive Science, 20, 260281.

Ratcliff, R., & Starns, J. J. (2009). Modeling confidence and response time in recognition memory. Psychological Review, 116(1), 5983. https://doi.org/10.1037/a0014086

Samuelson, P. A. (1938). A note on the pure theory of consumer's behaviour. Economica, 5(17), 6171.

Shafir, E., & Tversky, A. (1992). Thinking through uncertainty: Nonconsequential reasoning and choice. Cognitive Psychology, 24, 449474. Sharot, T., Velasquez, C. M., & Dolan, R. J. (2010). Do decisions shape preference? Evidence from blind choice. Psychological Science, 21(9),

12311235.

Slovic, P. (1995). The construction of preference. American Psychologist, 50(5), 364371. https://doi.org/10.1037/0003-066X.50.5.364 Stone, M. (1960). Models for choice-reaction time. Psychometrika, 25(3), 251260.

Summerfield, C., & Tsetsos, K. (2012). Building bridges between perceptual and economic decision-making: Neural and computational mechanisms. Frontiers in Neuroscience, 6, 70. https://doi.org/10.3389/fnins.2012.00070

Tegmark, M. (2000). Importance of quantum decoherence in brain processes. Physical Review E, 61(4), 41944206.

Townsend, J. T., Silva, K. M., Spencer-Smith, J., & Wenger, M. J. (2000). Exploring the relations between categorization and decision making with regard to realistic face stimuli. Pragmatics & Cognition, 8(1), 83105.

Trueblood, J. S., & Busemeyer, J. R. (2011). A quantum probability account of order effects in inference. Cognitive Science, 35(8), 15181552. Tversky, A., Sattath, S., & Slovic, P. (1988). Contingent weighting in judgment and choice. Psychological Review, 95(3), 371384. https://doi.

org/10.1037//0033-295X.95.3.371

Tversky, A., & Shafir, E. (1992). The disjunction effect in choice under uncertainty. Psychological Science, 3, 305309.

Usher, M., & McClelland, J. L. (2001). The time course of perceptual choice: The leaky, competing accumulator model. Psychological Review, 108(3), 550592. https://doi.org/10.1037/0033-295X.108.3.550

Usher, M., & McClelland, J. L. (2004). Loss aversion and inhibition in dynamical models of multialternative choice. Psychological Review, 111 (3), 757769. https://doi.org/10.1037/0033-295X.111.3.757

Vickers, D. (2001). Where does the balance of evidence lie with respect to confidence? In E. Sommerfeld, R. Kompass, & T. Lachmann (Eds.), Proceedings of the seventeenth annual meeting of the international society for psychophysics (pp. 148153). Lengerich: Pabst.

Vickers, D., & Packer, J. (1982). Effects of alternating set for speed or accuracy on response time, accuracy and confidence in a unidimensional discrimination task. Acta Psychologica, 50(2), 179197. https://doi.org/10.1016/0001-6918(82)90006-3

Wald, A., & Wolfowitz, J. (1948). Optimum character of the sequential probability ratio test. The Annals of Mathematical Statistics, 19(3), 326339.

Wald, A., & Wolfowitz, J. (1949). Bayes solutions of sequential decision problems. Proceedings of the National Academy of Sciences of the United States of America, 35(2), 99102.

Walster, E. (1964). The temporal sequence of post-decision processes. In L. Festinger (Ed.), Conflict, decision, and dissonance (pp. 112128). Stanford, CA: Stanford University Press.

Wang, Z., & Busemeyer, J. (2016a). Comparing quantum versus markov random walk models of judgements measured by rating scales. Philosophical Transactions of the Royal Society A: Mathematical, Physical and Engineering Sciences, 374(2058), 20150098.

Wang, Z., & Busemeyer, J. R. (2016b). Interference effecs of categorization on decision making. Cognition, 150, 133149.

White, L. C., Barqué-Duran, A., & Pothos, E. M. (2016). An investigation of a quantum probability model for the constructive effect of affective evaluation. Philosophical Transactions of the Royal Society A: Mathematical, Physical and Engineering Sciences, 374(2058), 20150142.

White, L. C., Pothos, E. M., & Busemeyer, J. R. (2014). Sometimes it does hurt to ask: The constructive role of articulating impressions. Cognition, 133(1), 4864.

Yearsley, J. M. (2017). Advanced tools and concepts for quantum cognition: A tutorial. Journal of Mathematical Psychology, 78, 2439.