Індивідуальне завдання №2 з дисципліни «Комп’ютерні технології в електроніці»
2016-17 навч. рік
Створіть робочий лист Maple 12 (Standard Interface, Worksheet Mode). Виконайте наступні завдання, розміщуючи їх в робочому документі за допомогою структур Section (меню Insert). У звіті розташовуйте завдання у заданому порядку, нумеруйте їх та починайте з умови. При необхідності наводьте скріншоти (наприклад, Units Calculator). Звіт роздрукуйте із системи Maple. Перша сторінка звіту – стандартний титульний лист.
Варіант 11
1.Задати величині кута α =45 одиниці вимірювання градуси. Представте цю величину в радіанах. Змінити поточну систему одиниць з СІ на СГС.
2.Вивести на екран інформацію про наукову константу “магнетон Бора” та властивості хімічного елементу “платина”.
3.Дана послідовність чисел 1, 2, 3, 4, 5, 6, 7, 8, 9, 10, 11, 12, 13, 14, 15. Записати її у файл даних. Створити нову послідовність, яка б відрізнялася від заданої тим, що всі її непарні елементи подвоєні. Дописати результати у файл. Зчитати всі дані з файлу.
4.Дані два списки дійсних чисел: x=[0, 4, 10, 18, 20, 16, 12, 8, 4, 0], y=[0, 4, 6, 4, 0, -8, 0, -8, -4, -3]. Знайти периметр десятикутника, вершини якого мають
відповідно координати (x1, y1), … (x10, y10). Для розв’язання задачі визначить процедуру обчислення відстані між двома точками, заданими своїми координатами.
5. |
Обчислити ліміт функції |
|
|
|
|
|
|
|
|
|
при x→∞. Знайти похідну |
|
|
|
|
|
|
|
|
|
|||
|
цієї функції порядку 2 за |
допомогою функції diff та диференціального |
|||||||||
|
|
√ |
1 |
|
√ |
1 |
|
||||
|
оператора. |
|
|
|
|
|
|
|
|
|
|
6. |
Обчислити суму та добуток ряда |
|
|
|
|
|
при n=1..4. |
||||
|
|
|
|
|
|||||||
7. |
Розкласти функцію |
|
|
в ряд Тейлора√ |
поблизу точки x=0.2. |
||||||
8.Функція f(x) задана векторами значень X=[0, 2, 3, 6, 7, 9] та Y=[658503, 704969, 729000, 804357, 830584, 884736]. Знайти інтерполяційний поліном та сплайни 3-го порядку.
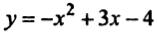
9. Дослідити функцію |
|
на екстремуми (отримати координати точок |
|
екстремуму). Знайти максимальне значення цієї функції на відрізку -π..π. Визначити чи має функція точки розриву, і якщо так, то знайти їх.
10.Згенерувати дійсне випадкове число в діапазоні від -1 до 0, ціле – від 100 до
1000.
11.Побудувати графік розв’язку системи диференційних рівнянь у вигляді векторного поля.
12.Побудувати графік функцій y = f(x) в одній системі координат, вивести лінії сітки по осі y. Задати довільно такі параметри графіків як: колір, товщина, тип лінії.
, 
13.Побудувати точковий графік функції, заданої векторами X, Y (за завданням 8). Розмістити в області графіка текст «Графік функції, заданої векторами».
14.Побудувати анімований графік функцій:
а) y(x)=x2cos(x) для x=-7π..7π;
б) y(x)=t2cos(x) для x=-10..10, t=0..4 із використанням опції trace.
Індивідуальне завдання №2 з дисципліни «Комп’ютерні технології в електроніці»
2016-17 навч. рік
Створіть робочий лист Maple 12 (Standard Interface, Worksheet Mode). Виконайте наступні завдання, розміщуючи їх в робочому документі за допомогою структур Section (меню Insert). У звіті розташовуйте завдання у заданому порядку, нумеруйте їх та починайте з умови. При необхідності наводьте скріншоти (наприклад, Units Calculator). Звіт роздрукуйте із системи Maple. Перша сторінка звіту – стандартний титульний лист.
Варіант 12
1.Задати величині об’єму V = 1 одиниці вимірювання м3 . Представте цю величину в барелях. Змінити поточну систему одиниць з СІ на СГС.
2.Вивести на екран інформацію про наукову константу “діелектрична стала” та властивості хімічного елементу “літій”.
3.Дана послідовність чисел -20, 18, -16, 14, -12, 10, -8, 6, -4, 2, 0, -2, 4, -6, 8, -10, 12, -14, 16, -18, 20. Записати її у файл даних. Перевірити, скільки елементів цієї послідовності кратні трьом. Якщо ця кількість більша або дорівнює 5, то отримати суму додатних елементів, які кратні трьом. Дописати результати у файл. Зчитати всі дані з файлу.
4.Дані числа a=0.5, b=0.5, c=1, d=2. Знайти площу п’ятикутника, зображеного на малюнку. Для розв’язання задачі створити процедуру обчислення площі трикутника за відомими трьома сторонами.
5. |
Обчислити ліміт функції |
|
|
|
|
|
|
|
|
|
|
при x→∞. Знайти |
|
|
|
|
|
|
|
|
|
|
|
||||
|
похідну цієї функції порядку 2 за допомогою |
функції diff та диференціального |
|||||||||||
|
√ |
√ |
|
||||||||||
|
оператора. |
|
|
|
|
|
|
|
|
|
|
|
|
6. |
Обчислити суму та добуток ряда |
|
|
|
|
при n=1..7. |
|
||||||
|
|
|
|
|
|||||||||
|
Розкласти функцію |
|
|
в ряд Маклорена із точністю до 4-го |
|||||||||
7. |
ln √ |
3 |
|||||||||||
доданку. |
|
|
|
|
|
|
|
|
|
||||
8.Функція f(x) задана векторами значень X=[10, 15, 17, 20] та Y=[3, 7, 11, 17]. Знайти інтерполяційний поліном та сплайни 3-го порядку.
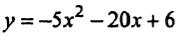
9. Дослідити функцію |
на екстремуми (отримати координати точок |
екстремуму). Знайти максимальне значення цієї функції на відрізку -4..4. Визначити чи має функція точки розриву, і якщо так, то знайти їх.
10.Згенерувати дійсне випадкове число в діапазоні від 0 до 1 із 3 знаками після коми, ціле – від 10³ до 10 .
11.Побудувати графік розв’язку системи диференційних рівнянь у вигляді фазового портрету.
3
12.Побудувати графік функцій y = f(x) в одній системі координат, вивести лінії сітки по осям x,y. Задати довільно такі параметри графіків як: колір, товщина, тип лінії.
, 
13.Побудувати точковий графік функції, заданої векторами X, Y (за завданням 8). Розмістити в області графіка текст «Графік функції, заданої векторами».
14.Побудувати анімований графік функцій:
а) y(x)=exp(-x2) для x=-5..5;
б) y(x)= exp(-t·x2) для x=-5..5, t=1..4 із використанням опції trace.
Індивідуальне завдання №2 з дисципліни «Комп’ютерні технології в електроніці»
2016-17 навч. рік
Створіть робочий лист Maple 12 (Standard Interface, Worksheet Mode). Виконайте наступні завдання, розміщуючи їх в робочому документі за допомогою структур Section (меню Insert). У звіті розташовуйте завдання у заданому порядку, нумеруйте їх та починайте з умови. При необхідності наводьте скріншоти (наприклад, Units Calculator). Звіт роздрукуйте із системи Maple. Перша сторінка звіту – стандартний титульний лист.
Варіант 13
1.Задати ємності С = 1 одиниці вимірювання Ф . Представте цю величину в статФарадах. Змінити поточну систему одиниць з СІ на СГС.
2.Вивести на екран інформацію про наукову константу “магнітна стала” та властивості хімічного елементу “залізо”.
3. За допомогою циклу обчислити ∑ |
, де |
, якщо |
непарне,, |
||||
|
, |
якщо |
непарне,. Записати результати у файл |
⁄2,якщо |
парне |
||
дані з |
|
,якщо |
парне |
|
|
даних. Зчитати всі |
|
|
файлу. |
|
|
|
|
|
|
4.Скласти процедуру, результатом роботи якої буде істинне значення, якщо символ, заданий при звертанні до процедури, є буквою, і хибне значення в протилежному випадку.
5. |
Обчислити ліміт функції |
|
|
при x→π. Знайти похідну цієї функції |
|||
|
|
||||||
|
порядку 2 за допомогою функції diff та диференціального оператора. |
||||||
6. |
Обчислити суму та добуток ряда |
|
|
|
|
при n=1..6. |
|
|
|
|
|
||||
7. |
Розкласти функцію |
|
|
в ряд Тейлора поблизу точки x=0.1. |
|||
|
|
||||||
8.Функція f(x) задана векторами значень X=[1, 2, 2.5, 3] та Y=[-6, -1, 5.625, 16].
Знайти інтерполяційний поліном та сплайни 4-го порядку.
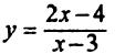
9. Дослідити функцію |
|
на екстремуми (отримати координати |
|
точок екстремуму). Знайти максимальне значення цієї функції на відрізку а..b. Визначити чи має функція точки розриву, і якщо так, то знайти їх.
10.Згенерувати дійсне випадкове число в діапазоні від -1 до 0 та від 0 до 1.
11.Побудувати графік розв’язку системи диференційних рівнянь у вигляді фазового портрету.