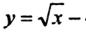
12.Побудувати графік функцій y = f(x) в одній системі коорд инат, вивести лінії сітки по осі y. Задати довільно такі параметри г афіків як: колір, товщина, тип лінії.
, 

13.Побудувати точковий графік функції, заданої векторами X, Y (за завданням 8). Розмістити в області графіка текст «Графік функції, зад аної векторами».
14.Побудувати |
анімований графік функц й: |
||||
а) y(x)= |
|
|
|
|
д я x=0..30 ; |
|
|
||||
б) y(x)= |
|
|
для x=-5.. 5, t=1..5 із використанням опції trac . |
||
|
|||||
Індивідуальне завдання №2 з дисципліни «Комп’ютерні технології в електроніці»
2016-17 навч. рік
Створіть робочий лист Maple 12 (Standard Interface, Worksheet Mode). Виконайте наступні завдання, розміщуючи їх в робочому документі за допомогою структур Section (меню Insert). У звіті розташовуйте завдання у заданому порядку, нумеруйте їх та починайте з умови. При необхідності наводьте скріншоти (наприклад, Units Calculator). Звіт роздрукуйте із системи Maple. Перша сторінка звіту – стандартний титульний лист.
Варіант 9
1.Задати швидкості v = 60 одиниці вимірювання км/год . Представте цю величину в одиницях м/с. Змінити поточну систему одиниць з СІ на СГС.
2.Вивести на екран інформацію про наукову константу “константа Рідберга” та властивості хімічного елементу “алюміній”.
3.Дана послідовність чисел 1, 13, 5, 1.4, 0.25, 3, 21, 2.5, 0.3, 7.5, 6, 6.3, 8, 3.4.
Записати її у файл даних. В ній всі елементи, які менше 2, замінити нулями. Також отримати суму елементів, які належать відрізку [3,7], а також їх кількість. Дописати результати у файл. Зчитати всі дані з файлу.
4.Даний список коефіцієнтів a=[2, 1, 3, 2, 0, 2, 4]. З використанням процедури
отримати для x=1, 3, 4 значення виразу |
1 |
, де |
|
|
. |
|
|
5. |
Обчислити ліміт функції |
|
|
при x→-2. Знайти похідну цієї |
|||
|
|
||||||
|
функції порядку 2 за допомогою функції diff та диференціального оператора. |
||||||
6. |
Обчислити суму та добуток ряда |
|
|
|
|
при n=1..7. |
|
|
|
|
|
||||
7. |
Розкласти функцію |
|
|
в ряд Тейлора поблизу точки x=2? |
|||
|
|
||||||
8.Функція f(x) задана векторами значень X=[14, 17, 31, 35] та Y=[68.7, 64.0, 44.0, 39.1]. Знайти інтерполяційний поліном та сплайни 2-го порядку.
9. Дослідити функцію |
|
на екстремуми (отримати координати точок |
|
екстремуму). Знайти максимальне значення цієї функції на відрізку -15..15. Визначити чи має функція точки розриву, і якщо так, то знайти їх.
10.Згенерувати дійсне випадкове число в діапазоні від 0 до 1 із 12 знаками після коми та ціле число із 12 значущими цифрами.
11.Побудувати графік розв’язку системи диференційних рівнянь у вигляді векторного поля.
5
3
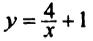
12.Побудувати графік функцій y = f(x) в одній системі координат, вивести лінії сітки по осям x,y. Задати довільно такі параметри графіків як: колір, товщина, тип лінії.
, 
13.Побудувати точковий графік функції, заданої векторами X, Y (за завданням 8). Розмістити в області графіка текст «Графік функції, заданої векторами».
14.Побудувати анімований графік функцій:
а) y(x)=sin(x)·cos(x) для x=-3π..3π;
б) y(x)=sin(t)·cos(x) для x=-5..5, t=1..5 із використанням опції trace.
Індивідуальне завдання №2 з дисципліни «Комп’ютерні технології в електроніці»
2016-17 навч. рік
Створіть робочий лист Maple 12 (Standard Interface, Worksheet Mode). Виконайте наступні завдання, розміщуючи їх в робочому документі за допомогою структур Section (меню Insert). У звіті розташовуйте завдання у заданому порядку, нумеруйте їх та починайте з умови. При необхідності наводьте скріншоти (наприклад, Units Calculator). Звіт роздрукуйте із системи Maple. Перша сторінка звіту – стандартний титульний лист.
Варіант 10
1.Задати температурі Т= 273 одиниці вимірювання К . Представте цю величину в одиницях °С та °F. Змінити поточну систему одиниць з СІ на СГС.
2.Вивести на екран інформацію про наукову константу “квант провідності” та властивості хімічного елементу “вуглець ”.
3.Дана послідовність чисел -20, 18, -16, 14, -12, 10, -8, 6, -4, 2, 0, -2, 4, -6, 8, -10, 12, -14, 16, -18, 20. Записати її у файл даних. Всі ті елементи, більші 7, замінити числом 7, ті елементи, які менші -7, замінити числом -7. Підрахувати кількість обох видів елементів. Дописати результати у файл. Зчитати всі дані з файлу.
4.Дані числа u1=2, u2=3, v1=7, v2=2, w1=4, w2=3. З використанням процедур
|
отримати |
|
|
|
комплексні числа u +iu , v +iv , w +iw . |
||||
|
|
|
|
||||||
5. |
Обчислити2 |
ліміт функції7, де u, v, w – |
|
|
|
при x→1. Знайти1 2похідну1 2 цієї1 2 |
|||
|
|
||||||||
|
функції порядку 3 за допомогою функції diff та диференціального оператора. |
||||||||
6. |
Обчислити суму та добуток ряда |
|
|
|
|
при n=1..10. |
|||
|
|
|
|
||||||
7. |
Розкласти функцію |
|
|
|
в ряд Тейлора поблизу точки x=1. |
||||
8.Функція f(x) задана векторами значень X=[93.0, 96.2, 100.0, 104.2, 108.7] та Y=[11.38, 12.80, 14.70, 17.07, 19.91]. Знайти інтерполяційний поліном та сплайни 2-го порядку.
9. Дослідити функцію |
|
на екстремуми (отримати координати точок |
|
екстремуму). Знайти максимальне значення цієї функції на відрізку 0..10. Визначити чи має функція точки розриву, і якщо так, то знайти їх.
10.Згенерувати дійсне випадкове число в діапазоні від 0 до 1 та від 10 до 20 із 3 знаками після коми.
11.Побудувати графік розв’язку системи диференційних рівнянь у вигляді фазового портрету.
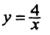
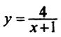
12.Побудувати графік функцій y = f(x) в одній системі координат, вивести лінії сітки по осі x. Задати довільно такі параметри графіків як: колір, товщина, тип лінії.
, 
13.Побудувати точковий графік функції, заданої векторами X, Y (за завданням 8). Розмістити в області графіка текст «Графік функції, заданої векторами».
14.Побудувати анімований графік функцій:
а) y(x)=cos(x/2)+sin(2x) для x=-7π..7π;
б) y(x)=cos(x/t)+sin(t·x) для x=-4..4, t=1..3 із використанням опції trace.