Індивідуальне завдання №2 з дисципліни «Комп’ютерні технології в електроніці»
2016-17 навч. рік
Створіть робочий лист Maple 12 (Standard Interface, Worksheet Mode). Виконайте наступні завдання, розміщуючи їх в робочому документі за допомогою структур Section (меню Insert). У звіті розташовуйте завдання у заданому порядку, нумеруйте їх та починайте з умови. При необхідності наводьте скріншоти (наприклад, Units Calculator). Звіт роздрукуйте із системи Maple. Перша сторінка звіту – стандартний титульний лист.
Варіант 6
1.Задати потужності P = 20 одиниці вимірювання Вт . Представте цю величину в одиницях кінських сил. Змінити поточну систему одиниць з СІ на СГС.
2.Вивести на екран інформацію про наукову константу “постійна Больцмана” та властивості хімічного елементу “водень”.
3.Дана послідовність чисел -20, 18, -16, 14, -12, 10, -8, 6, -4, 2, 0, -2, 4, -6, 8, -10, 12, -14, 16, -18, 20. Записати її у файл даних. Отримати подвійну суму всіх додатних елементів цієї послідовності. Дописати результати у файл. Зчитати всі дані з файлу.
4.Дані послідовності чисел a=1,3,5,7,9, b=2,4,6,8,10,12, c=1,5,10,15. Знайти з
використанням процедури |
,…, |
при | |
,…, | 10, |
,…, |
1,…, в протилежному випадку.
5. |
Обчислити ліміт функції |
|
|
|
|
при x→0 справа. Знайти похідну |
|
|
|
|
|
||||
|
цієї функції порядку 2 за допомогою функції diff та диференціального |
||||||
|
оператора. |
|
|
|
|
|
|
6. |
Обчислити суму та добуток ряда |
|
|
|
|
при x=1..6. |
|
|
|
|
|
||||
7. |
Розкласти функцію |
ln 2 |
1 в ряд Тейлора поблизу точки x=1. |
||||
8.Функція f(x) задана векторами значень X=[-2, 1, 2, 4] та Y=[25, -8, -15, -23].
Знайти інтерполяційний поліном та сплайни 3-го порядку.
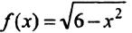
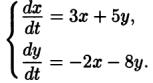
9. Дослідити функцію ⁄ на екстремуми (отримати координати точок екстремуму). Знайти максимальне значення цієї функції на відрізку -3..3. Визначити чи має функція точки розриву, і якщо так, то знайти їх.
10.Згенерувати дійсне випадкове число в діапазоні від 0 до 1 з 3 знаками після коми, ціле випадкове число від 1 до 10.
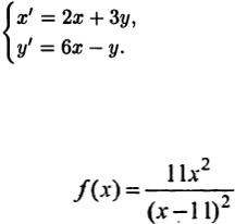
11.Побудувати графік розв’язку системи диференційних рівнянь у вигляді фазового портрету.
12.Побудувати графік функцій y = f(x) в одній системі координат, вивести лінії сітки по осям x,y. Задати довільно такі параметри графіків як: колір, товщина, тип лінії.
,
13.Побудувати точковий графік функції, заданої векторами X, Y (за завданням 8). Розмістити в області графіка текст «Графік функції, заданої векторами».
14.Побудувати анімований графік функцій:
а) y(x)=cos(2x)+2sin(x) для x=-3π..3π;
б) y(x)=cos(t·x)+t·sin(x) для x=-6..6, t=1..5 із використанням опції trace.
Індивідуальне завдання №2 з дисципліни «Комп’ютерні технології в електроніці»
2016-17 навч. рік
Створіть робочий лист Maple 12 (Standard Interface, Worksheet Mode). Виконайте наступні завдання, розміщуючи їх в робочому документі за допомогою структур Section (меню Insert). У звіті розташовуйте завдання у заданому порядку, нумеруйте їх та починайте з умови. При необхідності наводьте скріншоти (наприклад, Units Calculator). Звіт роздрукуйте із системи Maple. Перша сторінка звіту – стандартний титульний лист.
Варіант 7
1.Задати енергії Е = 130 одиниці вимірювання Дж . Представте цю величину в ккал. Змінити поточну систему одиниць з СІ на СГС.
2.Вивести на екран інформацію про наукову константу “число Фарадея” та властивості хімічного елементу “азот”.
3.В послідовності чисел a = -20, 18, -16, 14, -12, 10, -8, 6, -4, 2, 0, -2, 4, -6, 8, -10, 12, -14, 16, -18, 20 всі від’ємні елементи збільшити на 0.5, а всі невід’ємні – замінити на 0.1. Записати вихідну послідовність та результати дій над її елементами у файл даних. Зчитати всі дані з файлу.
4.Дані послідовності чисел x=1,3,5,7,9, y=2,4,6,8,10,12, c=1,5,10,15. Знайти з використанням процедури
,…, ,…, при ,…, 0, 2
1,…, впротилежному випадку.
5. |
Обчислити ліміт функції |
⁄ при x→0 зліва, a>0. Знайти похідну цієї |
||
|
функції порядку 2 за допомогою функції diff та диференціального оператора. |
|||
6. |
Обчислити суму та добуток ряда |
|
|
при n=1..10. |
|
|
|||
7. |
Розкласти функцію |
в ряд Маклорена із точністю до 4-го |
||
|
доданку. |
|
|
|
8.Функція f(x) задана векторами значень X=[-2, 1, 0, 1, 2] та Y=[6, 0, 2, 0, 6]. Знайти інтерполяційний поліном та сплайни 4-го порядку.
9. Дослідити функцію |
|
|
|
на екстремуми (отримати |
|
координати точок |
екстремуму). Знайти максимальне значення цієї функції на |
||||
|
2 |
1 |
2 |
|
|
відрізку -10..10. Визначити чи має функція точки розриву, і якщо так, то знайти їх.
10.Згенерувати дійсне випадкове число в діапазоні від 0 до 1, від 1 до 10.
11.Побудувати графік розв’язку системи диференційних рівнянь у вигляді векторного поля.
12.Побудувати графік функцій y = f(x) в одній системі координат, вивести лінії сітки по осі x. Задати довільно такі параметри графіків як: колір, товщина, тип лінії.
, 
13.Побудувати точковий графік функції, заданої векторами X, Y (за завданням 8). Розмістити в області графіка текст «Графік функції, заданої векторами».
14.Побудувати анімований графік функцій:
а) y(x)=2x - x2 для x=-3..6;
б) y(x)=2x - xt для x=1..5, t=1..3 із використанням опції trace.
Індивідуальне завдання №2 з дисципліни «Комп’ютерні технології в електроніці»
2016-17 навч. рік
Створіть робочий лист Maple 12 (Standard Interface, Worksheet Mode). Виконайте наступні завдання, розміщуючи їх в робочому документі за допомогою структур Section (меню Insert). У звіті розташовуйте завдання у заданому порядку, нумеруйте їх та починайте з умови. При необхідності наводьте скріншоти (наприклад, Units Calculator). Звіт роздрукуйте із системи Maple. Перша сторінка звіту – стандартний титульний лист.
Варіант 8
1.Задати тиску p = 200 одиниці вимірювання Па . Представте цю величину в одиницях мм.рт.ст. Змінити поточну систему одиниць з СІ на СГС.
2.Вивести на екран інформацію про наукову константу “число Авогадро” та властивості хімічного елементу “фтор”.
3.Дана послідовність чисел -20, 18, -16, 14, -12, 10, -8, 6, -4, 2, 0, -2, 4, -6, 8, -10, 12, -14, 16, -18, 20. Записати її у файл даних. Отримати суму додатних та кількість від’ємних елементів послідовності. Дописати результати у файл. Зчитати всі дані з файлу.
4. |
Дані дійсні числа s=4, t=2. За допомогою |
процедури обчислити |
, |
|
||||||||
|
, де |
|
|
|
|
|||||||
|
. |
, , |
, |
1,1 |
|
, |
|
|
|
|
||
|
|
|
|
|
|
|||||||
5. |
Обчислити ліміт функції |
|
|
при x→2 зліва. Знайти похідну цієї |
||||||||
|
|
|||||||||||
функції порядку 2 за допомогою функції diff та диференціального оператора.
6. |
Обчислити суму та добуток ряда |
|
|
при n=1..3. |
|
|
|
||||
7. |
Розкласти функцію |
ch |
в ряд Маклорена із точністю до 5-го доданку. |
||
8.Функція f(x) задана векторами значень X=[2.0, 2.3, 2.5, 3.0, 3.5, 3.8, 4.0] та Y=[5.848, 6.127, 6.300, 6.694, 7.047, 7.243, 7,368]. Знайти інтерполяційний поліном та сплайни 4-го порядку.
9. Дослідити функцію |
| |
| | |
| |
на екстремуми (отримати координати точок |
екстремуму). Знайти максимальне значення цієї функції на відрізку -10..10. Визначити чи має функція точки розриву, і якщо так, то знайти їх.
10.Згенерувати дійсне випадкове число в діапазоні від 0 до 1 із 5 знаками після коми, ціле – від 1000 до 5000.
11.Побудувати графік розв’язку системи диференційних рівнянь у вигляді фазового портрету.
3
3