11.Побудувати графік розв’язку системи диференційних рівнянь у вигляді векторного поля.
12.Побудувати графік функцій y = f(x) в одній системі координат, вивести лінії сітки по осям x,y. Задати довільно такі параметри графіків як: колір, товщина, тип лінії.
, 
13.Побудувати точковий графік функції, заданої векторами X=[-3, -1, 0, 2, 3, 4], Y=[5, 2, -4, -1, 6, 5]. Розмістити в області графіка текст «Графік функції,
заданої векторами».
14.Побудувати анімований графік функцій:
а) y(x)=sin2(x/2) для x=-6π..6π;
б) y(x)= sin2(x/t) для x=-10..10, t=1..5 із використанням опції trace.
Індивідуальне завдання №2 з дисципліни «Комп’ютерні технології в електроніці»
2016-17 навч. рік
Створіть робочий лист Maple 12 (Standard Interface, Worksheet Mode). Виконайте наступні завдання, розміщуючи їх в робочому документі за допомогою структур Section (меню Insert). У звіті розташовуйте завдання у заданому порядку, нумеруйте їх та починайте з умови. При необхідності наводьте скріншоти (наприклад, Units Calculator). Звіт роздрукуйте із системи Maple. Перша сторінка звіту – стандартний титульний лист.
Варіант 4
1.Задати масі m = 300 одиниці вимірювання г . Представте цю величину в фунтах. Змінити поточну систему одиниць з СІ на ФФС.
2.Вивести на екран інформацію про наукову константу “борівський радіус” та властивості хімічного елементу “олово”.
3.Дана послідовність чисел 2, 6, 8, 7, 5, 15, 49, 24, 6, 13, 57, 41, 11, 31, 20.
Записати її у файл даних. Вибрати непарні числа, які мають парний порядковий номер, та визначити їх кількість. Дописати результати у файл. Зчитати всі дані з файлу.
4.Дані дійсні числа a=1, b=2, c=3. За допомогою процедури обчислити
|
, |
, , |
, |
. |
√ |
|
√ |
|
|
при x→5 зліва. Знайти похідну |
|
5. |
Обчислити ліміт функції |
|
|
|
|||||||
|
цієї функції порядку 3 за допомогою функції diff та диференціального |
||||||||||
|
оператора. |
|
|
|
|
|
|
|
|
|
|
6. |
Обчислити суму та добуток ряда |
|
|
|
|
|
|
при n=1..4. |
|||
|
|
|
|
|
|
||||||
7. |
Розкласти функцію |
|
|
|
в ряд Маклорена із точністю до 3-го |
||||||
|
доданку. |
|
|
|
|
|
|
|
|
|
|
8.Функція f(x) задана векторами значень X=[0, 1, 5] та Y=[2, 3, 147]. Знайти інтерполяційний поліном та сплайни 2-го порядку.
9. Дослідити функцію |
|
на екстремуми (отримати координати |
|
точок екстремуму). Знайти максимальне значення цієї функції на відрізку 0..10. Визначити чи має функція точки розриву, і якщо так, то знайти їх.
10.Згенерувати дійсне випадкове число в діапазоні від 0 до 1 із 4 знаками після коми, від 10 до 100.
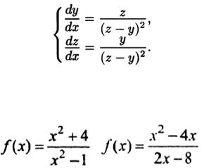
11.Побудувати графік розв’язку системи диференційних рівнянь у вигляді фазового портрету.
12.Побудувати графік функцій y = f(x) в одній системі координат, вивести лінії сітки по осі x. Задати довільно такі параметри графіків як: колір, товщина, тип лінії.
,
13.Побудувати точковий графік функції, заданої векторами X=[-3, -1, 0, 2, 3, 4], Y=[-6, -2, 0, 4, 6, 8]. Розмістити в області графіка текст «Графік функції,
заданої векторами».
14.Побудувати анімований графік функцій:
а) y(x)=cos2(2x) для x=-6π..6π;
б) y(x)=cost(x)для x=- π.. π, t=1..5 із використанням опції trace.
Індивідуальне завдання №2 з дисципліни «Комп’ютерні технології в електроніці»
2016-17 навч. рік
Створіть робочий лист Maple 12 (Standard Interface, Worksheet Mode). Виконайте наступні завдання, розміщуючи їх в робочому документі за допомогою структур Section (меню Insert). У звіті розташовуйте завдання у заданому порядку, нумеруйте їх та починайте з умови. При необхідності наводьте скріншоти (наприклад, Units Calculator). Звіт роздрукуйте із системи Maple. Перша сторінка звіту – стандартний титульний лист.
Варіант 5
1.Задати часу t = 15 одиниці вимірювання хв . Представте цю величину в секундах. Змінити поточну систему одиниць з СІ на СГС.
2.Вивести на екран інформацію про наукову константу “маса електрона” та властивості хімічного елементу “кисень”.
3.Дана послідовність чисел 1, 41, 3, 5, 32, 4, 6, 74, 9, 8, 12, 2, 13, 31. Записати її у файл даних. Отримати добуток елементів цієї послідовності, які кратні 3. Дописати результати у файл. Зчитати всі дані з файлу.
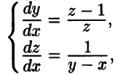
|
|
=1.5. Отримати за допомогою процедури |
, |
, |
|||||
4. |
Дані числа a=0.5, b, |
/ |
. |
|
|
|
|
||
|
Обчислити ліміт, |
|
|
|
|
|
|
|
|
5. |
функції |
,3.14 |
|
|
при x→∞. Знайти похідну цієї функції |
||||
|
порядку 2 за допомогою функції diff та диференціального оператора. |
|
|
||||||
6. |
Обчислити суму та добуток ряда |
|
|
|
при n=1..5. |
|
|
||
|
|
|
|
|
|||||
7. |
Розкласти функцію |
в ряд Тейлора поблизу точки x=-1. |
|
|
|||||
8.Функція f(x) задана векторами значень X=[11, 13 ,14, 18, 19] та Y=[1342, 2210, 2758, 5850, 6878]. Знайти інтерполяційний поліном та сплайни 3-го порядку.
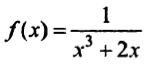
9. Дослідити функцію |
|
на екстремуми (отримати координати |
точок екстремуму). Знайти |
максимальне значення цієї функції на відрізку - |
|
5 |
|
|
10..10. Визначити чи має функція точки розриву, і якщо так, то знайти їх.
10.Згенерувати дійсне випадкове число в діапазоні від 0 до 1 із 2 знаками після коми, ціле – від 0 до 100.
11.Побудувати графік розв’язку системи диференційних рівнянь у вигляді векторного поля.
12.Побудувати графік функцій y = f(x) в одній системі координат, вивести лінії сітки по осі y. Задати довільно такі параметри графіків як: колір, товщина, тип лінії.
,
13.Побудувати точковий графік функції, заданої векторами X, Y (за завданням 8). Розмістити в області графіка текст «Графік функції, заданої векторами».
14.Побудувати анімований графік функцій:
а) y(x)=ln(|cos(x)|) для x=-10..10;
б) y(x)= ln(|t·cos(x)|) для x=-3..3, t=1..5 із використанням опції trace.