Материал: ГОСТ 14782

Внимание! Если размещение файла нарушает Ваши авторские права, то обязательно сообщите нам

тип дефектоскопа;

непроконтролированные или неполностью проконтролированные участки сварных соединений, подлежащие ультразвуковому контролю;

результаты контроля;

дата контроля;

фамилия дефектоскописта.

Дополнительные сведения, подлежащие записи, а также порядок оформления и хранения журнала (заключений) должны быть оговорены в технической документации на контроль, утвержденной в установленном порядке.

4.2.2. Классификацию стыковых сварных соединений по результатам ультразвукового контроля производят по обязательному приложению 8.

Необходимость классификации оговаривается в технической документации на контроль, утвержденной в установленном порядке.

4.2.3. При сокращенном описании результатов контроля следует каждый дефект или группу дефектов указывать отдельно и обозначать:

буквой, определяющей качественно оценку допустимости дефекта по эквивалентной площади (амплитуде эхо-сигнала) и условной протяженности (А, или Д, или Б, или ДБ);

буквой, определяющей качественно условную протяженность дефекта, если она измерена в соответствии с п. 4.7, перечисление 1 (Г или Е);

буквой, определяющей конфигурацию дефекта, если она установлена;

цифрой, определяющей эквивалентную площадь выявленного дефекта, мм2, если она измерялась;

цифрой, определяющей наибольшую глубину залегания дефекта, мм;

цифрой, определяющей условную протяженность дефекта, мм;

цифрой, определяющей условную ширину дефекта, мм;

цифрой, определяющей условную высоту дефекта, мм или мкс.

4.2.4. Для сокращенной записи должны применяться следующие обозначения:

А - дефект, эквивалентная площадь (амплитуда эхо-сигнала) н условная протяженность которого равны или менее допустимых значений;

Д - дефект, эквивалентная площадь (амплитуда эхо-сигнала) которого превышает допустимое значение;

Б - дефект, условная протяженность которого превышает допустимое значение;

Г - дефекты, условная протяженность которых DL £ DL0;

Е - дефекты, условная протяженность которых DL > DL0;

В - группа дефектов, отстоящих друг от друга на расстояниях Dl £ DL0;

Т - дефекты, которые обнаруживаются при расположении преобразователя под углом к оси шва и не обнаруживаются при расположении преобразователя перпендикулярно к оси шва.

Условную протяженность для дефектов типов Г и Т не указывают.

В сокращенной записи числовые значения отделяют друг от друга и от буквенных обозначений дефисом.

Необходимость сокращенной записи, применяемые обозначения и порядок их записи оговариваются технической документацией на контроль, утвержденной в установленном порядке.

Приложение 2 Обязательное методика построения аттестат-графика к стандартному образцу из органического отекла

Аттестат-график устанавливает связь условной чувствительности ( ) в миллиметрах по исходному стандартному образцу СО-1 с условной чувствительностью ( ) в децибелах по стандартному образцу СО-2 (или СО-2Р по ГОСТ 18576-85) и номером отражателя диаметром 2 мм в аттестуемом образце СО-1 при частоте ультразвуковых колебаний (2,5 ± 0,2) МГц, температуре (20 ± 5) °С и углах призмы b = (40 ± 1)° или b = (50 ± 1)° для преобразователей конкретного типа.

На чертеже точками обозначен график для исходного образца СО-1.

Для построения соответствующего графика к конкретному аттестуемому образцу СО-1, не соответствующему требованиям п. 1.4.1 настоящего стандарта, при указанных выше условиях определяют в децибелах разности амплитуд от отражателей № 20 и 50 диаметром 2 мм в аттестуемом образце и амплитуды N0 от отражателя диаметром 6 мм на глубине 44 мм в образце СО-2 (или СО-2Р):

где N0 - показание аттенюатора, соответствующее ослаблению эхо-сигнала от отверстия диаметром 6 мм в образце СО-2 (или СО-2Р) до уровня, при котором оценивают условную чувствительность, дБ;

- показание аттенюатора, при котором амплитуда эхо-сигнала от исследуемого отверстия с номером i в аттестуемом образце достигает уровня, при котором оценивают условную чувствительность, дБ.

Вычисленные значения отмечают точками на поле графика и соединяют их прямой линией (пример построения см. на чертеже).

Примеры применения аттестат-графика

Контроль осуществляют дефектоскопом с преобразователем на частоту 2,5 МГц с углом призмы b = 40° и радиусом пьезоэлектрической пластины а = 6 мм, изготовленным в соответствии с техническими условиями, утвержденными в установленном порядке.

Дефектоскоп укомплектован образцом СО-1, заводской номер, с аттестат-графиком (см. чертеж).

1. Технической документацией на контроль задана условная чувствительность 40 мм.

Указанная чувствительность будет воспроизведена, если настроить дефектоскоп по отверстию № 45 в образце СО-1, заводской номер ________ .

2. Технической документацией на контроль задана условная чувствительность 13 дБ. Указанная чувствительность будет воспроизведена, если настроить дефектоскоп по отверстию № 35 в образце СО-1, заводской номер ________ .

Приложение 3

Справочное

Определение времени распространения ультразвуковых колебаний в призме преобразователя

Время 2tn в микросекундах распространения ультразвуковых колебаний в призме преобразователя равно

где t1 - суммарное время между зондирующим импульсом и эхо-сигналом от вогнутой цилиндрической поверхности в стандартном образце СО-3 при установке преобразователя в положение, соответствующее максимальной амплитуде эхо-сигнала; 33,7 мкс - время распространения ультразвуковых колебаний в стандартном образце, рассчитанное для параметров: радиус образца - 55 мм, скорость распространения поперечной волны в материале образца - 3,26 мм/мкс.

Приложение 4

Рекомендуемое

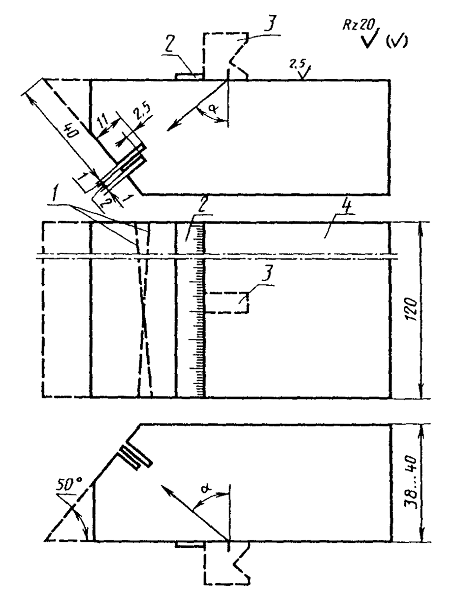
Образец со-4 для измерения длины волны и частоты ультразвуковых колебаний преобразователей

1 - пазы; 2 - линейка; 3 - преобразователь; 4 - блок из стали марки 20 по ГОСТ 1050-74 или стали марки 3 по ГОСТ 14637-79; разность глубины пазов на концах образца (h); ширина образца (l).

Стандартный образец СО-4 применяют для измерения длины волны (частоты), возбуждаемой преобразователями с углами a ввода от 40 до 65° и частотой от 1,25 до 5,00 МГц.

Длину волны l (частоту f) определяют интерференционным методом по усредненному значению расстояний DL между четырьмя ближайшими к центру образца экстремумами амплитуды эхо-сигнала от параллельных пазов с плавно меняющейся глубиной

где g - угол между отражающими поверхностями пазов, равный (см. чертеж)

Частоту f определяют по формуле

f = ct/l,

где ct - скорость распространения поперечной волны в материале образца, м/с.

Приложение 5

Справочное

Зависимость N = f (e) для стали, алюминия и его сплавов, титана и его сплавов

Приложение 6 методика определения предельной чувствительности дефектоскопа и эквивалентной площади выявленного дефекта по образцу с цилиндрическим отверстием

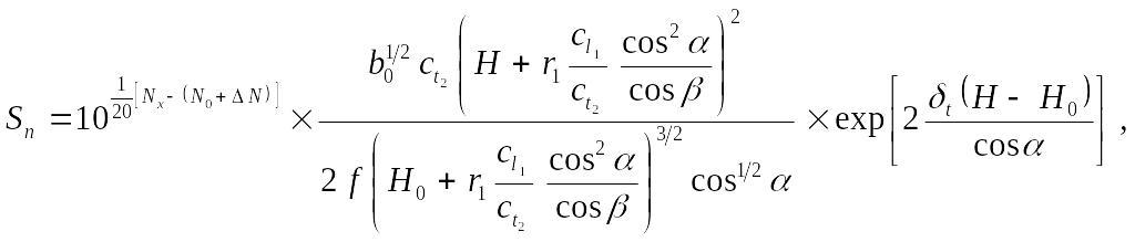
Предельную чувствительность (Sn) в квадратных миллиметрах дефектоскопа с наклонным преобразователем (или эквивалентную площадь Sэ выявленного дефекта) определяют по стандартному образцу предприятия с цилиндрическим отверстием или по стандартному образцу СО-2А или СО-2 в соответствии с выражением

где N0 - показание аттенюатора, соответствующее ослаблению эхо-сигнала от бокового цилиндрического отверстия в стандартном образце предприятия или в стандартном образце СО-2А, или СО-2 до уровня, при котором оценивают предельную чувствительность, дБ;

Nx - показание аттенюатора, при котором оценивают предельную чувствительность дефектоскопа Sn или при котором амплитуда эхо-сигнала от исследуемого дефекта достигает уровня, при котором оценивают предельную чувствительность, дБ;

DN - разность между коэффициентами прозрачности границы призмы преобразователя - металл контролируемого соединения и коэффициентом прозрачности границы призмы преобразователя - металл стандартного образца предприятия или стандартного образца СО-2А (или СО-2), дБ (DN £ 0).

При эталонировании чувствительности по стандартному образцу предприятия, имеющему форму и чистоту поверхности такую же, как и контролируемое соединение, DN = 0;

b0 - радиус цилиндрического отверстия, мм;

- скорость поперечной волны в материале образца и контролируемого соединения, м/с;

f - частота ультразвука, МГц;

r1 - средний путь ультразвука в призме преобразователя, мм;

- скорость продольной волны в материале призмы, м/с;

a и b - угол ввода ультразвукового луча в металл и угол призмы преобразователя соответственно, град;

H - глубина, для которой оценивается предельная чувствительность или на которой расположен выявляемый дефект, мм;

Н0 - глубина расположения цилиндрического отверстия в образце, мм;

dt - коэффициент затухания поперечной волны в металле контролируемого соединения и образца, мм-1.

Для упрощения определения предельной чувствительности и эквивалентной площади рекомендуется рассчитать и построить диаграмму (SKH-диаграмму), связывающую предельную чувствительность Sn (эквивалентную площадь Sэ), условный коэффициент К выявляемости дефекта и глубину Н, для которой оценивается (настраивается) предельная чувствительность или на которой расположен выявленный дефект.

Сходимость расчетных и экспериментальных значении Sn при a = (50 ± 5)° не хуже 20 %.

Пример построения skh-диаграммы и определения предельной чувствительности Sn и эквивалентной площади Sэ

Примеры

Контроль швов стыковых сварных соединений листов толщиной 50 мм из малоуглеродистой стали выполняют при помощи наклонного преобразователя с известными параметрами: b, r1, . Частота ультразвуковых колебаний, возбуждаемых преобразователем, лежит в пределах 26,5 МГц ± 10 %. Коэффициент затухания dt = 0,001 мм-1.

При измерении по стандартному образцу СО-2 установлено, что a = 50°. SKH-диаграмма, рассчитанная для изложенных условии и b = 3 мм, H0 = 44 мм по формуле, приведенной выше, показана на чертеже.

Пример 1.

Измерением установлено, что f = 2,5 МГц. Эталонирование осуществляется по стандартному образцу предприятия с цилиндрическим отверстием диаметром 6 мм, расположенным на глубине H0 = 44 мм; форма и чистота поверхности образца соответствует форме и чистоте поверхности контролируемого соединения.

Показание аттенюатора, соответствующее максимальному ослаблению, при котором еще звуковым индикатором регистрируется эхо-сигнал от цилиндрического отверстия в образце, составляет N0 = 38 дБ.

Требуется определить предельную чувствительность при данной настройке дефектоскопа (Nx = N0 =38 дБ) и поиске дефектов на глубине H = 30 мм.

Искомое значение предельной чувствительности на SKH-диаграмме соответствует точке пересечения ординаты H = 30 мм с линией K = Nx - N0 = 0 и составляет Sn » 5 мм2.

Требуется настроить дефектоскоп на предельную чувствительность Sn = 7 мм2 для глубины расположения искомых дефектов H = 65 мм, N0 = 38 дБ.

Заданным значениям Sn и H по SKH-диаграмме соответствует K = Nx - N0 = - 9 дБ.

Тогда Nx = K + N0 = - 9 + 38 = 29 дБ.

Пример 2.

Измерением установлено, что f = 2,2 МГц. Настройка осуществляется по стандартному образцу СО-2 (H0 = 44 мм). Путем сопоставления амплитуд эхо-сигналов от одинаковых цилиндрических отверстий в листах контролируемого соединения и в стандартном образце СО-2 установлено, что DN = - 6 дБ.

Показание аттенюатора, соответствующее максимальному ослаблению, при котором еще звуковым индикатором фиксируется эхо-сигнал от цилиндрического отверстия в СО-2, составляет N0 = 43 дБ.

Требуется определить эквивалентную площадь выявленного дефекта. В соответствии с измерениями глубина расположения дефекта H = 50 мм, а показание аттенюатора, при котором еще фиксируется эхо-сигнал от дефекта, Nx = 37 дБ.

Искомое значение эквивалентной площади Sэ, выявленного дефекта на SKH-диаграмме соответствует точке пересечения ординаты H = 50 мм с линией К = Nx - (N0 + DN) = 37 - (43 - 6) = 0 дБ и составляет Sэ » 14 мм2.