Материал: Гидродинамика. Уравнение Эйлера и Бернулли. Гидродинамическое подобие потоков. Потери напора и энергии в потоке

Внимание! Если размещение файла нарушает Ваши авторские права, то обязательно сообщите нам

Гидродинамика. Уравнение Эйлера и Бернулли. Гидродинамическое подобие потоков. Потери напора и энергии в потоке

Министерство сельского хозяйства и продовольствия Республики Беларусь

Учреждение образования

"ГРОДНЕНСКИЙ ГОСУДАРСТВЕННЫЙ АГРАРНЫЙ УНИВЕРСИТЕТ"

Кафедра технического обеспечения производства и переработки продукции животноводства




Гидродинамика. Уравнение Эйлера и Бернулли. Гидродинамическое подобие потоков. Потери напора и энергии в потоке













Гродно 2014

Содержание

Введение

1 Описание и аналитические исследования гидродинамических процессов

1.1 Дифференциальные уравнения движения Эйлера

1.2 Уравнение Бернулли

1.3 Гидродинамическое подобие потоков

2. Описание и анализ аппаратов гидродинамических процессов

3. Инженерно-технологический расчет

Список использованной литературы и информационных источников


Введение


Гидродинамические аппараты эжекторного типа получили широкое распространение практически во всех отраслях техники. Эжекторы (струйные насосы) распространены во многих отраслях промышленности: энергетике, металлургии, машиностроении, химической и пищевой. Их принципиальной особенностью является повышение давления эжектируемого потока без непосредственной затраты механической энергии при исключительной простоте конструкции (отсутствуют подвижные механические части), что значительно упрощает обслуживание и ремонт.

Эжекторными называются устройства, в которых осуществляется процесс эжекции, заключающийся в передаче кинетической энергии одного потока другому потоку путем непосредственного контакта (смешения). Например, эффективность работы насоса-смесителя оказывается наивысшей, так как с пользой расходуется не только энергия пассивного потока, но и остаточная энергия активного потока.

Смешиваемые потоки могут находиться в одной и той же фазе (жидкой, паровой, газовой) или в разных фазах (например, пар и жидкость, газ и твердое тело и др.). В процессе смешения фазовое состояние смешиваемых потоков может оставаться неизменным или же изменяться (например, пар может превратиться в жидкость). Поток, вступающий в процесс смешения с большей скоростью, называется активным, с меньшей скоростью - пассивным.

Для получения гетерогенных смесей со строго дозируемым количеством добавок можно использовать эжектор, в котором активный поток (высоконапорный) является несущей средой (например, жидкость), а пассивный поток (эжектируемая среда) - необходимые для получения смеси добавки. Применение эжектора в качестве насоса-смесителя позволит получить высококачественные смеси из жидкостей, газов, многофазных сред (газ-жидкость) и твердых сыпучих материалов. При этом если совместить работу эжектора-смесителя с кавитацией в его проточной части, то можно получить наиболее качественные смеси, которые обладают высокой однородностью и стойкостью к расслоению.

В данном проекте рассмотрена и теоретическая база, описывающая и объясняющая принципы гидромеханических и гидродинамических процессов, происходящих в струйных насосах, а также в графической части проекта приведены принципиальные схемы эжекторов и в качестве примера - чертеж пароструйного эжектора типа ЭП-3-600, используемый для откачки пара из паровых турбин ядерных и тепловых электростанций.


1. Описание и аналитические исследования гидродинамических процессов


Движение жидкостей и газов характеризуется скоростями w и ускорениями а частиц в различных точках потока жидкости, а также давлением р в этих точках. Различают установившееся и неустановившееся движение жидкостей. Установившимся движением называют такое, при котором скорость частиц, плотность, температура давление и расход жидкости в каждой фиксированной точке пространства не изменяются во времени.

 

Пусть, например, жидкость движется в трубопроводе переменного сечения. Скорость жидкости при этом то увеличивается, то уменьшается в зависимости от места расположения сечения в трубопроводе, но в каждом фиксированном сечении она неизменна во времени. Такое движение называют стационарным. При неустановившемся, или нестационарном, движении все факторы изменяются во времени, т. е. скорость является функцией не только координаты, но и времени:

 

Примером неустановившегося движения может служить истечение жидкости из резервуара при переменном ее уровне в резервуаре.

Установившееся движение потоков характерно для непрерывных процессов, а неустановившееся - для периодических.

Установившееся движение может быть равномерным и неравномерным.

Равномерное движение имеет место, когда скорость, давление, глубина и форма потока не меняются по длине потока. Примером равномерного движения является движение жидкости в трубопроводе постоянного сечения с постоянной скоростью.

Неравномерное движение происходит, например, в конической трубе, когда скорость, давление и глубина потока меняются по длине трубы.

Если рассмотреть поперечное сечение потока жидкости и мысленно представить его состоящим из отдельных элементарных струек, то окажется, что частицы жидкости, находящиеся а струйках, расположенных на различном расстоянии от оси потока, движутся с различными скоростями.

Скорость движения жидкости буден максимальной по оси потока и минимальной в струйках у стенки трубы. Распределение скоростей в потоке зависит от режима движения жидкости.

В технике оперируют не локальными скоростями частиц жидкости, а средней скоростью потока.

Эта скорость представляет собой отношение секундного объемного расхода Vсек к площади поперечного сечения потока F:

 (1.1)

откуда Vсек = wF, а массовый расход (в кг/c)

 

где ρ - плотность жидкости, кг/м3.

Неустановившиеся режимы движения реализуются главным образом в периодических процессах или возникают кратковременно при пусках, остановках, а также изменениях режима работы аппаратов непрерывного действия. Исследование механизма движения вязкой жидкости показало, что имеют место два режима, резко отличающихся один от другого. Это различие подтверждено в 1883 г. опытами английского физика О. Рейнольдса. При малых скоростях струйка чернил 1 (рис.1.1) движется параллельно стенкам трубки 2. Этот режим движения называют ламинарным, или слоистым ("ламина" в переводе с латинского означает слой).

Рис 1.1 Схема опыта Рейнольдса: 1 - струйка чернил; 2 - трубка.

При увеличении скорости движения жидкости линия тока струйки закручивается в виде вихря, а при еще большей скорости движение становится неупорядоченным, частицы движутся по хаотическим траекториям. Линии тока в трубке исчезают в беспорядке бурного турбулентного движения. Этот режим называется турбулентным (от латинского "турбулентус" - беспорядочный). Исходя из опытных данных и некоторых теоретических соображений О. Рейнольдс установил общие условия, при которых возможно существование того или другого режима и переход из одного режима в другой, а именно, что характер движения жидкости зависит от вязкости μ, скорости ее движения w, плотности жидкости ρ и диаметра трубки d. Для характеристики режима движения введен безразмерный комплекс, учитывающий влияние перечисленных факторов. Этот комплекс впоследствии был назван критерием Рейнольдса:

 (1.2)

где ν - кинематическая вязкость жидкости.

Границы существования того или иного режима определяются двумя критическими значениями критерия Рейнольдса: нижним Reкр.н и верхним Reкр.в. При Rе < Reкр.н всегда имеет место ламинарный режим; при Rе > Reкр.в режим устойчиво турбулентный. Для воды Reкр.н = 2320 и Reкр.в = 10000.

В диапазоне Reкр.нReReкр.в режим движения жидкости чаще всего турбулентный, однако он неустойчивый. Поэтому этот режим называется переходным, хотя точнее этот диапазон значений критерия Рейнольдса следовало бы называть переходной зоной.

В критерий Рейнольдса входит величина d - это определяющий размер канала, по которому течет жидкость.

Для круглой трубы

 

Если труба не круглого сечения, то вводится понятие гидравлического радиуса

 

где F - площадь сечения потока; П - смоченный периметр.

Смоченным периметром П называют линию контакта (соприкосновения) живого сечения потока жидкости со стенками, вдоль которых движется поток. Для открытого канала (рис. 1.2)

 

Рис 1.2 Схема открытого канала.

В расчетах часто используют понятие эквивалентного диаметра:

 (1.3)

Дифференциальные уравнения движения Эйлера

Уравнения движения Л. Эйлера устанавливают связь между давлением и скоростью движения жидкости в любой точке потока.

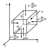
Рассмотрим установившийся поток идеальной жидкости, которая движется без трения, т. е. не обладает вязкостью. Выделим в потоке элементарный параллелепипед объемом dV = dx dy dz, ориентированный относительно осей координат (см. рис. 1.3).

Проекции сил тяжести и давления, действующих на параллелепипед, составляют:

на ось х

,

на ось у

 

 

,

на ось z

.

Согласно основному принципу динамики, сумма проекций сил, действующих на движущийся элементарный объем жидкости, равна произведению массы жидкости на ее ускорение.

Масса жидкости в объеме параллелепипеда равна

 

Рис. 1.3. Схема к выводу дифференциальных уравнений равновесия Эйлера

Если жидкость движется со скоростью w, то ее ускорение равно , а проекции ускорения на оси координат: ,  и , где wx, wy и wz - составляющие скорости вдоль осей х, у и z. Для установившегося потока в рассматриваемом случае ,  и . Производные же ,  и  отвечают изменению во времени значений wx, wy и wz при перемещении частицы жидкости из одной точки пространства в другую. Тогда в соответствии с основным принципом динамики

,

, (1.5)

,

или после сокращения

,

, (1.6)

где субстанциональные производные соответствующих составляющих скорости

,

, (1.7)

.

Система уравнений (1.6) с учетом выражений (1.7) представляет собой дифференциальные уравнения движения идеальной жидкости Эйлера для установившегося потока.

При неустановившемся движении скорость жидкости изменяется не только при перемещении частицы потока из одной точки пространства в другую, но и с течением времени в каждой точке. Поэтому для неустановившихся условий они принимают вид

,

, (1.8)

.

Система уравнений (1.6) с учетом выражений (1.8) представляет собой дифференциальные уравнения движения идеальной жидкости Эйлера для неустановившегося потока.

Система уравнений (1.6) является системой дифференциальных уравнений движения идеальной жидкости для установившегося потока. Эти уравнения были получены Л. Эйлером в 1755 г.

Из дифференциальных уравнений Эйлера легко полудить уравнение Бернулли, широко используемое в гидродинамике.

Уравнение Бернулли

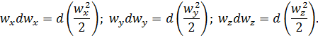
Умножим левые и правые части каждого из членов уравнений (1.6) соответственно на dх, dу, dz и сложим почленно с учетом того, что

Тогда

 (1.9)

но

Тогда левую часть уравнения (1.9) можно представить в виде

В правой части уравнения примем, что Xdx+Ydy+Zdz=dU. Величина dU является некоторой силовой функцией и  В окончательном виде получим основное уравнение гидродинамики

 (1.10)

При действии только силы тяжести на поток жидкости силовая функция dU=-gdz и из (1.10) получим

Разделив каждый член этого уравнения на ускорение свободного падения g, будем иметь

Но сумма дифференциалов есть дифференциал суммы и

Тогда

 (1.11)

Уравнение (1.11) является уравнением Бернулли для идеальной жидкости.