Материал: Функции белков в организме. Стероидные гормоны. Липиды

Внимание! Если размещение файла нарушает Ваши авторские права, то обязательно сообщите нам

Почки являются основным органом выведения воды и электролитов из организма. В обычных условиях за сутки выделяется через кожу и почки почти 1500 мл воды, через легкие - до 400 мл и через кишечник - приблизительно 100 мл. Вся вода организма обновляется примерно за 4 недели. За 1 мин. вода крови успевает обновиться на 73 %.

Полисахариды морских водорослей. Состав, строение. Функции в организме

Полисахариды морских растений объединяют полисахариды, выделяемые из красных и бурых морских водорослей. В пищевой промышленности широко используются альгинаты, каррагинаны и агароиды. Альгиновая кислота ( Е400) и ее соли (E40I--E405) относятся к полисахаридам бурых морских водорослей родов Laminaria и Macrocystis (от лат. alga - водоросль), которые построены из остатков маннуроновой и гулуроновой кислот, находящихся в пиранозной форме и снизанных в линейные цепи (1,4)-гликозидными связями.


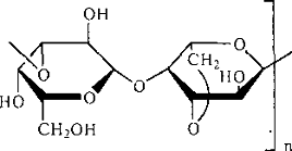
Агар (агар-агар) Е406 - смесь полисахаридов агарозы и агаропектина. Основная фракция агарозы - линейный полисахарид, построенный из чередующихся остатков β-D-галактопиранозы и З.6-ангидро-β-L-raлактопиранозы, связанных попеременно β -(1,4)- и β-(1,3)-связями. Агаропектин - смесь полисахаридов сложного строения, содержащая глюкуроновую кислоту и эфирносвязанную серную кислоту.

Звено агаробиозы

Агар-агар получают из красных морских водорослей (Gracilaria, Gclidium, Ahnfeltia), произрастающих на Белом море, Тихом и Атлантическом океанах. Агар незначительно растворяется в холодной воде, но набухает в ней. В горячей воде он образует коллоидный раствор, который при охлаждении дает хороший прочный гель, обладающий стекловидным изломом. У агара этот процесс осуществляется за счет образования двойных спиралей и их ассоциации независимо от содержания катионов, сахара или кислоты. Гелеобразующая способность агара в 10 раз выше, чем у желатина. При нагревании в присутствии кислоты способность к гелеобразованию снижается. Гели стабильны при рН более 4,5 и термообратимы.

Каррагинаны (Е407) объединяют семейство полисахаридов (известное также под названием ирландский мох), содержащихся, наряду с агаром, в красных морских водорослях Chondrus Crispis, Eucheuma Spinosum, Gigartina species и др. По химической природе каррагинаны близки к агароидам и представляют собой неразветвленные сульфатированные гетерогликаны. Обычные каррагинаны являются гелеобразователями, а лямбда-тип - загустителем.

Классификация липидов. Сложные липиды. Фосфолипиды. Строение. Распространение. Биологическая роль

Простые липиды:

ацилглицеролы (жиры, триглицериды и т.п.);

воска.Сложные липиды:

фосфолипиды

• глицерофосфолипиды (фосфатидилхолин, фосфатидилэтаноламин, фосфатидилсерин, фосфатидилинозитол, фосфатидилглицерол, кардиолипин, плазмалоген);

• сфингофосфолипиды (сфингомиелин);

стероиды (холестерол, эргостерол, ланостерол, стигмастерол, экдистероиды);

гликолипиды (цереброзиды, ганглиозиды, сульфатиды).

Фосфолипиды делят на глицерофосфолипиды, основу которых составляет трёхатомный спирт глицерол, и сфинго-фосфолипиды - производные аминоспирта сфингозина. Фосфолипиды имеют амфифильные свойства, так как содержат алифатические радикалы жирных кислот и различные полярные группы. Благодаря своим свойствам фосфолипиды не только являются основой всех клеточных мембран, но и выполняют другие функции: образуют поверхностный гидрофильный слой липопротеинов крови, выстилают поверхность альвеол, предотвращая слипание стенок во время выдоха. Некоторые фосфолипиды участвуют в передаче гормонального сигнала в клетки. Сфингомиелины являются фосфолипидами, формирующими структуру миелиновых оболочек и других мембранных структур нервных клеток.

Для всех фосфолипидов характерно, что одна часть их молекул (радикалы R1и R2) обнаруживает резко выраженную гидрофобность, тогда как другая часть гидрофильна благодаря отрицательному заряду фосфорной кислоты и положительному заряду радикала R3.

Если в третьем положении имеется только фосфорная кислота, то глицерофосфолипид называется фосфатидной кислотой. Её остаток называют фосфатидил; он входит в название остальных глицерофосфолипидов, после которого указывают название заместителя атома водорода в фосфорной кислоте, например фосфатидилэтаноламин, фосфатидилхолин и т.д.

Фосфатидная кислота в свободном состоянии в организме содержится в небольшом количестве, но является промежуточным продуктом на пути синтеза как три-ацилглицеролов, так и глицерофосфолипидов. У глицерофосфолипидов, как и у триацилгли-церолов, во второй позиции находятся преимущественно полиеновые кислоты; в молекуле фосфатидилхолина, входящего в структуру мембран, это чаще всего арахидоновая кислота. Жирные кислоты фосфолипидов мембран отличаются от других липидов человека преобладанием полиеновых кислот (до 80-85%), что обеспечивает жидкое состояние гидрофобного слоя, необходимое для функционирования белков, входящих в структуру мембран.

В зависимости от характера азотистого основания, присоединенного к фосфорной кислоте, глицерофосфолипиды подразделяют на фосфатидилхолины (лецитины), фосфатидилэтаноламины (кефалины) и фосфатидилсерины. Участвуют в построении клеточных мембран.

В молекуле фосфатидилхолина одна из трех гидроксильных групп глицерина связана не с жирной, а с фосфорной кислотой. Фосфорная кислота в свою очередь соединена эфирной связью с азотистым основанием - холином [НО-СН2-СН2-N+(CH3)3].


Холин (основание) - (триметил-2-гидроксиэтиламмоний)

Основными фракциями коммерческих лецитинов являются фосфатидилхолины, т. е. собственно лецитины (ло 25%), фосфатид и этаноламины (до 25%). фосфатидилсерины (до 15%). фосфатидилинозиты, фосфатидовые (фосфатидные) кислоты (5-10%). Основным источником промышленного получения лецитинов для пищевой промышленности являются масличные культуры (главным образом, соя, реже - подсолнечник), откуда их выделяют при гидратации масел. Особенности эмульгирующих свойств фосфолипидов обусловлены способностью образовывать и поддерживать в однородном состоянии как прямые, так и обратные эмульсии, что распространяет их использование на все виды пищевых эмульсий: от майонезов и различных салатных соусов (прямые эмульсии) до маргаринов различного жирно-кислотного состава и разного содержания жировой фазы (обратные эмульсии). Другой отличительной особенностью фосфолипидов как пищевых эмульгаторов является их способность образовывать липосомы (липидные везикулы) - частицы, формируемые концентрическими замкнутыми липидными бислоями с внутренним водным слоем, изолированным от внешней среды и содержащим, в зависимости от назначения липосом, различные включения, например, пептиды или белки. Использование липосомальных систем в пищевых продуктах связано с функциями зашиты отдельных пищевых ингредиентов от внешнего воздействия (защита дрожжевых клеток от охлаждения в замороженных мучных полуфабрикатах и пицце), сохранения влаги (мороженое) или органических, например, вкусовых веществ (хлеб и бисквиты). И в отличие от большинства других пищевых добавок, препараты фосфолипидов обладают высокой физиологической эффективностью, связанной с уменьшением уровня холестерина, улучшением функции печени и состояния центральной и периферической нервной системы, торможением процессов старения организма и нормализацией иммунобиологической реактивности организма. И хотя диетологи не относят фосфолипиды к незаменимым факторам питания, они являются физиологически ценными компонентами пищи, суточная потребность в которых составляет около 5 г.

Основное различие между фосфатидилхолинами и фосфатидилэтаноламинами - наличие в составе последних вместо холина азотистого основания этаноламина (HO-CH2-CH2-N+H3).

Фосфатидилсерины. В молекуле фосфатидилсерина азотистым соединением служит остаток аминокислоты серина

Фосфатидилсерины распространены гораздо менее широко, чем фос-фатидилхолины и фосфоэтаноламины, и их значение определяется в основном тем, что они участвуют в синтезе фосфатидилэтаноламинов. Фосфатидилсерин участвует в организме в синтезе коламинкефалина путем декарбоксилирования.

Препараты фосфолипидов обладают высокой физиологической эффективностью, связанной с уменьшением уровня холестерина, улучшением функции печени и состояния центральной и периферической нервной системы, торможением процессов старения организма и нормализацией иммунобиологической реактивности организма.

При дефиците холина нарушается синтез транспортных форм липидов. Фосфатидилхолин (лецитин), участвует в синтезе лецитина, который обеспечивает перенос липидов из печени и является важным компонентом клеточных мембран. Помимо глицерина и жирных кислот, которые входят в состав нейтральных жиров, для синтеза фосфолипидов необходимы неорганические фосфаты и азотистые соединения, в частности холин, для синтеза фосфатидхолина. Неорганические фосфаты в печени имеются в достаточном количестве.

При недостаточном образовании или недостаточном поступлении в печень холина синтез фосфолипидов из компонентов нейтрального жира становится либо невозможным, либо резко снижается и нейтральный жир откладывается в печени. Иными словами, синтез фосфолипидов лимитируется количеством азотистых оснований, т.е. для синтеза фосфоглицеридов необходим либо холин, либо соединения, которые могут являться донорами метильных групп и участвовать в образовании холина (например, метионин).

Плазмалогены - фосфолипиды, у которых в первом положении глицерола находится не жирная кислота, а остаток спирта с длинной алифатической цепью, связанный простой эфирной связью.

Характерный признак плазмалогенов - двойная связь между первым и вторым атомами углерода в алкильной группе. Плазмалогены бывают 3 видов: фосфатидальэтано-ламины, фосфатидальхолины и фосфатидаль-серины. Плазмалогены составляют до 10% фосфолипидов мембран нервной ткани; особенно много их в миелиновых оболочках нервных клеток.

Классификация глицерофосфолипидов и сфинголипидов

Ацилглицеролы

Фосфолипиды

Сфинголипиды

Триацилглицеролы

Сфингомиелины*


Глицерофосфолипиды:

Гликолипиды:

Диацилглицеролы

Фосфатидилхолин

Цероброзиды

Моноацилглицеролы

Фосфатидилсерин

Глобозиды

 

Фосфатидилэтаноламин

Сульфатиды

 

Фосфатидилглицерол

Ганглиозиды

 

Фосфатидилинозитолбисфосфат

 

 

Фосфатидная кислота

 

Кардиолипин (дифосфатидилглицерол)

 

*Сфингомиелины относят как к фосфолипидам, так и сфинголипидам.

Сфинголипиды

Аминоспирт сфингозин, состоящий из 18 атомов углерода, содержит гидроксильные группы и аминогруппу. Сфингозин образует большую группу липидов, в которых жирная кислота связана с ним через аминогруппу. Продукт взаимодействия сфингозина и жирной кислоты называют церамид. В церамидах жирные кислоты связаны необычной (амидной) связью, а гидроксильные группы способны взаимодействовать с другими радикалами. Церамиды отличаются радикалами жирных кислот, входящих в их состав. Обычно это жирные кислоты с большой длиной цепи - от 18 до 26 атомов углерода.

Сфингомиелины. В результате присоединения к ОН-группе церамида фосфорной кислоты, связанной с холином, образуется сфингомиелин) . Сфингомиелины - основные компоненты миелина и мембран клеток мозга и нервной ткани. Сфингомиелины, как и глицерофосфолипиды, имеют амфифильные свойства,



Литература

Березов Т.Т., Коровкин Б.Ф. Биологическая химия. - М.: Медицина, 1990.

Большая медицинская энциклопедия.- М.: Советская энциклопедия, 1977.

Комов В.П., Шведова В.Н. - Биохимия.- М.: Дрофа, 2004.-638 с.

Филиппович Ю.Б. Основы биохимии. - М.: Высшая школа, 1985. - 503 с.

Андрианова Л.Е., Авдеева Л.В., Алейникова Т.Л.- Биохимия /под ред. Северина Е.С. - М.: ГЭОТАР-Медиа, 2006.- 784 с.

Ленинджер А. Биохимия: Пер. с англ. - М.: Мир, 1976. - 957 с.

Пищевая химия: Учеб. Для вузов / А.П. Нечаев, С.Е. Траубенберг, А.А. Кочеткова и др. / Под общ. Ред. А.П. Нечаева. - 3-е изд., испр. -СПб.: ГИОРД, 2004. - 640 с.