Материал: физических свойств пластовых флюидов

Внимание! Если размещение файла нарушает Ваши авторские права, то обязательно сообщите нам

СПБГУАП группа 4736

коллектораКласс

Группы

 

основныхРазмер фильтрующих мкм,пор

Содержание основных фильтрующих объёмаот%,пор пор

Суммарное порсодержание мкм2меньше. % поробъёмаот

Остаточная водонасыщеннос объёмаот%ть пор

Коэффициент проницаемости k

Характеристика

коллекторов (по

 

коллектора по

 

 

 

 

 

 

 

 

преобладанию

 

 

 

 

 

.

проницаемости

 

гранулометрической

kα,%

 

 

 

 

мкм

и ёмкости

 

фракции)

 

 

 

 

 

пр.

 

 

 

 

 

 

 

 

 

 

 

 

Песчаники

≥17

50-100

40-80

0-17

-

 

Очень высокой

 

среднезернистые

 

 

 

 

 

 

проницаемости

 

 

 

 

 

 

 

 

 

и ёмкости

 

Песчаники

≥20

20-100

40-80

0-20

5-25

 

 

I

мелкозернистые

 

 

 

 

 

 

 

 

Алевролиты

≥23,5

-

-

-

-

≥1

 

 

крупнозернистые

 

 

 

 

 

 

 

 

Алевролиты

≥30

-

-

-

-

-

 

 

мелкозернистые

 

 

 

 

 

 

 

 

Песчаники

15-17

40-100

25-50

5-25

-

-

Высокой

 

среднезернистые

 

 

 

 

 

 

 

 

Песчаники

18-20

18-60

30-60

5-30

10-35

 

 

 

мелкозернистые

 

 

 

 

 

 

 

II

Алевролиты

21,5-

12-30

40-80

10-35

-

0,-1

 

 

крупнозернистые

23,5

 

 

 

 

 

 

 

Алевролиты

26,5-30

 

 

 

 

 

 

 

мелкозернистые

 

 

 

 

 

 

 

 

Песчаники

 

11-15

20-50

25-40

15-40

-

 

Средней

 

среднезернистые

 

 

 

 

 

 

 

 

 

Песчаники

 

14-18

16-40

15-50

15-40

10-45

0,1-0,5

 

 

мелкозернистые

 

 

 

 

 

 

 

 

III

Алевролиты

 

16,8-

10-30

25-65

20-45

 

 

 

 

крупнозернистые

 

21,5

 

 

 

 

 

 

 

Алевролиты

 

20,5-

 

 

 

-

 

 

 

мелкозернистые

 

26,5

 

 

 

 

 

 

 

Песчаники

 

5,8-11

15-40

15-30

20-45

-

 

Пониженно

 

среднезернистые

 

 

 

 

 

 

 

 

 

Песчаники

 

8-14

10-35

15-45

20-50

30-60

10-2-10-1

 

 

мелкозернистые

 

 

 

 

 

 

 

 

IV

Алевролиты

 

10-16,8

5-20

20-50

20-56

 

 

 

 

крупнозернистые

 

 

 

 

 

 

 

 

 

Алевролиты

 

12-20,5

 

 

 

-

 

 

 

мелкозернистые

 

 

 

 

 

 

 

 

 

Песчаники

 

0,5-5,8

-

-

-

-

 

Низкой

 

среднезернистые

 

 

 

 

 

 

 

 

 

Песчаники

 

2-8

5-16

20-40

50-85

50-95

10-3-10-2

 

 

мелкозернистые

 

 

 

 

 

 

 

 

V

Алевролиты

 

3,3-10

3-8

20-50

50-90

 

 

 

 

крупнозернистые

 

 

 

 

 

 

 

 

 

Алевролиты

 

3,6-12

 

 

 

-

 

 

 

мелкозернистые

 

 

 

 

 

 

 

 

VI

Песчаники

 

˂0,5

 

 

-

-

 

Весьма низкой

 

среднезернистые

 

 

 

 

 

 

 

 

 

Табл.1.2. Классификация песчано-алевритовых пород коллекторов (по А.А. Ханину и

 

М.И. Колосковой)

 

 

 

 

 

 

 

 

 

 

 

 

 

 

 

16

СПБГУАП группа 4736

Фазовые проницаемости

Фазовые проницаемости являются одной из важнейших характеристик процесса течения пластовых флюидов в породах-коллекторах нефти и газа.

Функции относительных фазовых проницаемостей (ОФП) в зависимости от насыщенности используются при решении большого числа геологопромысловых задач. Данные о фазовых проницаемостях необходимы при обосновании кондиционных пределов петрофизических свойств пород, при промышленной оценке переходных нефтегазовых зон пластов, в газогидродинамических расчетах технологических показателей разработки, при выборе методов воздействия на пласт с целью увеличения нефтеотдачи, при анализе и контроле за разработкой залежей.

Особое внимание уделено экспериментальным методам определения ОФП на образцах керна, которые считаются базовыми среди остальных методов.

Экспериментальное определение зависимостей ОФП от водонасыщенности – трудоемкий процесс, требующий использования специальной аппаратуры, поэтому на практике часто применяют е методы получения ОФП по более доступным данным (промысловым или расчетным). Определение ОФП по данным геофизических исследований скважин методы расчета ОФП с использованием промысловых данных получили небольшое распространение Это вызвано неопределенностью в оценке распределения насыщенности в пласте величин перепадов давления и дренируемых объемов и др.

Расчет относительных фазовых проницаемостей по кривым капиллярное

давление-насыщенность

Для воспроизведения процессов совместного течения жидкостей в коллекторах с межзерновой пористостью широкое распространение получили капиллярные модели, в которых поровое пространство моделируется совокупностью капиллярных каналов. В зависимости от свойств моделируемой пористой среды и с целью более точного отражения их разработаны капиллярные модели различной степени сложности Рассмотрим использование простой капиллярной модели для расчета ОФП по кривой капиллярного давления.

Кривая капиллярного давления может быть получена способами ртутной порометрии, центрифугирования, полупроницаемой мембраны, контактной эталонной порометрии и др.

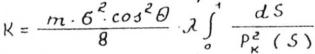
Уравнение, предложенное У.Пурселлом (1949 г.), устанавливает связь между проницаемостью К, пористостью m и кривой капиллярного давления Рк = f(S)

,

(8)

где λ – так называемый литологический множитель, учитывающий различие форм капилляров и реальных поровых каналов.

Для расчета ОФП по данной капиллярной модели предполагается, что смачивающая фаза с ростом насыщенности последовательно заполняет поры от меньших к большим. Тогда формулы для расчета ОФП, дающие наиболее близкие к экспериментальным значения,

имеют вид (Burdine N., 1953):

17

СПБГУАП группа 4736

. Расчет кривых относительной проницаемости для смачивающей и не смачивающей фаз (система нефть - вода или газ - вода) можно произвести по уравнениям, предложенным Бурдайном:

(1)

(2)

где Кпротн с.ф., Кпротн н.с.ф. – относительные проницаемости смачивающей и несмачивающей фаз (воды и нефти), τ0сф, τ0нсф – коэффициент извилистости смачивающей и несмачивающей фаз, Кв – насыщенность смачивающей фазы, Рк – капиллярное давление, К- насыщенность.

Бурдайн Н. Т. показал, что коэффициент извилистости можно рассчитать по формулам:

(3)

(4)

где Кв min – минимальная насыщенность смачивающей фазы,

Кр нсф – равновесная насыщенность, при которой несмачивающая фаза становится подвижной (остаточная нефтенасыщенность).

С учетом уравнения (3, 4), общие уравнения (1,2) для расчета кривых относительной проницаемости можно представить как:

где Кв св – остаточная водонасыщенность, Кно – остаточная нефтенасыщенность.

Из уравнения (5, 6) вытекает, что кривые относительной проницаемости рассчитать по кривым капиллярного давления.

Если кривые капиллярного давления представляются в виде

2

f ( Кв

Pк

(5)

(6)

можно

),то вычисление

интегралов сводится к суммированию отношений элементарных площадей. В упрощенном виде уравнения (5, 6) имеют вид:

18

СПБГУАП группа 4736

(7)

(8)

Рассмотрим построение кривых относительной проницаемости на конкретном примере.

В результате исследований фильтрационных свойств образцов керна в лаборатории

 

получили следующие данные:

 

 

 

 

 

 

 

 

 

 

 

 

 

 

Прониц.

Порист.

Давление, МПа

 

 

 

 

 

 

 

 

 

 

 

 

 

 

 

 

 

 

 

 

 

 

 

 

 

 

 

10-3

0

0,005

0,01

 

0,015

0,025

0.05

0,1

0,2

0.5

1

Sно,%

образца

%

 

мкм2

Текущая водонасыщенность, %

 

 

 

 

 

 

 

 

 

 

 

 

 

 

 

 

210-238-

46,08

14,31

100

90,0

80,9

 

70,8

50,2

26,4

17,4

13,5

12,0

11,3

10

05

 

 

 

 

 

 

 

 

 

 

 

 

 

 

 

 

 

 

 

По результатам исследований строится график кривых капиллярного давления,

 

 

представленного в виде функции Р−2

= (К

в

). Рис.1.7

 

 

 

 

 

 

 

 

 

 

 

к

 

 

 

 

 

 

 

 

 

 

 

1

 

 

 

 

 

 

 

 

 

 

 

 

 

 

 

 

 

0.9

 

 

 

 

 

 

 

 

 

 

 

 

 

 

 

 

 

0.8

 

 

 

 

 

 

 

 

 

 

 

 

 

 

 

 

 

0.7

МПа,Рк

 

 

 

 

 

 

 

 

 

 

 

 

 

 

 

 

0.6

 

 

 

 

 

 

 

 

 

 

 

 

 

 

 

 

 

 

 

 

 

 

 

 

 

 

 

 

 

 

 

 

 

0.5

 

 

 

 

 

 

 

 

 

 

 

 

 

 

 

 

 

0.4

 

 

 

 

 

 

 

 

 

 

 

 

 

 

 

 

 

0.3

 

 

 

 

 

 

 

 

 

 

 

 

 

 

 

 

 

0.2

 

 

 

 

 

 

 

 

 

 

 

 

 

 

 

 

 

0.1

 

 

 

 

 

 

 

 

 

 

 

 

 

 

 

 

 

0

 

 

 

 

 

 

 

 

 

 

 

 

 

 

 

 

 

 

0

10

20

30

40

50

 

 

 

60

 

70

80

90

100

 

 

 

 

Рис.1.7

 

 

 

 

 

Кв, %

 

 

 

 

 

 

 

 

 

 

 

 

 

 

 

 

 

 

 

 

Поверхность под графиком функции Р−2 = (К

в

) разбиваем на элементарные сегменты,

 

 

 

 

 

 

к

 

 

 

 

 

 

 

 

 

 

площадь которых находим как площадь прямоугольных трапеций, о общую площадь как

сумму площадей трапеций:

 

 

 

 

 

 

 

 

 

 

 

 

 

 

 

 

 

 

 

 

 

 

 

 

 

 

 

 

 

 

19

СПБГУАП группа 4736

S

 

 

1

( p

p

 

) Кв

 

Кв

 

 

 

 

 

 

 

 

 

 

 

 

 

 

 

 

i

 

 

 

 

 

 

 

 

 

 

 

 

 

 

 

 

 

 

 

 

 

 

2

 

 

i

 

 

 

i 1

 

 

i 1

 

 

i

 

 

 

 

 

 

 

 

 

 

 

 

 

 

 

 

 

 

 

 

 

 

 

 

 

 

 

 

 

 

 

 

 

 

 

 

 

 

 

 

 

 

 

 

 

 

 

 

 

 

 

 

 

 

= ∑

 

 

 

 

 

 

 

 

 

 

 

 

 

 

 

 

 

 

 

 

 

 

 

 

 

 

 

 

общ.

 

 

 

 

=1

 

 

 

 

 

 

 

 

 

 

 

 

 

 

 

 

 

 

 

 

 

 

 

 

 

 

 

 

 

 

 

 

 

 

 

 

 

 

 

 

 

 

 

 

 

 

 

 

 

 

 

 

 

 

 

 

 

 

Сегмент

 

S1

 

 

 

 

 

S2

 

 

 

S3

 

S4

 

S5

 

S6

 

S7

 

S8

 

S9

 

Sобщ.

Площадь,

 

0,0250

0,0676

0,1274

0,4120

0,8925

0,6750

0,5850

0,5250

0,5250

3,8345

ед2.

 

 

 

 

 

Определяем относительную проницаемость воды:

 

 

 

 

 

 

 

 

 

 

 

 

 

 

 

 

S

 

 

Кв Квсв

 

2

 

 

 

 

 

 

 

 

 

 

 

 

 

 

 

 

 

 

 

отн

 

 

 

 

 

 

 

 

 

 

 

 

 

 

 

 

 

 

 

Kпрн

 

 

 

 

S

 

 

 

 

1 К

 

 

 

 

 

 

 

 

 

 

 

 

 

 

 

 

 

 

 

 

 

 

 

 

 

 

 

 

 

 

 

 

 

 

всв

 

 

 

 

 

 

 

 

 

 

 

 

 

 

 

 

 

 

Для

 

Kпрв

 

 

 

 

 

 

 

 

 

 

 

 

 

 

 

 

 

 

 

 

 

 

 

 

 

 

 

величина ∑∆S будет равна (Sобщ. – S), где:

 

 

 

 

 

 

 

 

 

 

 

 

 

 

 

 

отн

 

 

 

 

 

 

 

 

 

 

 

 

 

 

 

 

 

 

 

 

 

 

 

 

 

 

 

 

S’ – площадь, рассчитанная от начала вытеснения до текущего интервала Кв

 

 

 

 

 

S’

 

 

 

 

 

 

S’1

 

 

 

S’2

 

 

S’3

S’4

S’5

 

S’6

S’7

S’8

S’9

 

 

 

Площадь,

 

0,0250

 

0,0926

0,2200

0,6320

1,5245

 

2,1995

2,7845

3,3095

3,8345

 

 

 

ед2.

 

 

 

 

 

 

 

 

Остаточная водонасыщенность равна значению, в котором текущая водонасыщенность не изменяется с дальнейшим увеличением давления (график переходит в прямую, перпендикулярную оси абсцисс).

Квсв – 11,3 %

 

 

 

 

 

 

 

 

 

 

 

 

 

 

 

 

 

 

 

 

 

 

 

Кв = 90,0%, следовательно S’1 = 0,0250 ед., тогда ∑∆S = 3,8345– 0, 0250 = 3,8095

 

 

ед2.

 

 

 

 

 

 

 

 

 

 

 

 

 

 

 

 

 

 

 

 

 

 

 

Подставляя все данные в формулу получим (текущую и остаточную водонасыщенность

 

подставляем в долях от единицы):

 

 

 

 

 

 

 

 

 

 

 

Кпрвотн =

3,8095

 

 

0,90 − 0,113

2

 

 

 

 

 

 

 

 

 

 

 

 

 

 

 

 

∙ (

 

 

 

 

 

 

)

= 0,7821

 

 

 

 

 

 

 

 

3,8345

 

1 − 0,113

 

 

 

 

 

 

 

 

 

 

 

 

 

 

 

 

 

 

 

 

 

 

 

 

 

 

Кв = 80,99% , S’2 = 0, 0926 ед2, ∑∆S = 3,8345 – 0, 0926 = 3,7419 ед2.

 

 

 

Кпрвотн =

3,7419

 

 

0,8099 − 0,113

2

 

 

 

 

 

 

 

 

 

 

 

 

 

 

 

∙ (

 

 

 

 

 

 

 

)

= 0,6024

 

 

 

 

 

 

 

 

3,8750

 

1 − 0,133

 

 

 

 

 

 

 

 

 

 

 

 

 

 

 

 

 

 

 

 

 

 

 

 

 

 

 

Кв = 70,8% , S’3 = 0, 2200 ед2, Кпрвотн=0,4242

 

 

 

 

 

 

 

Кв = 50,2% , S’4 = 0, 6320 ед2, Кпрвотн = 0,1606

 

 

 

 

 

 

 

Кв = 26,4% , S’5 = 1,5245 ед2, Кпрвотн = 0,0175

 

 

 

 

 

 

 

Кв = 17,4% , S’6 = 2, 1995 ед2, Кпрвотн = 0,0020

 

 

 

 

 

 

 

Кв = 13,5% , S’7 = 2,7845 ед2, Кпрвотн = 0,0002

 

 

 

 

 

 

 

Кв = 12,0% , S’8 = 3,3095 ед2, Кпрвотн = 0,00001

 

 

 

 

 

 

 

Кв = 11,3% , S’9 = 3,8345 ед2, Кпрвотн = 0,0000

 

 

 

 

 

 

 

 

 

 

 

 

 

 

 

 

 

 

 

 

 

 

 

 

 

Kпротн

 

 

Kпротн

 

Kпротн

2

Kпротн

 

Kпротн

Kпротн

 

Kпротн

Kпротн

 

Kпротн

Kпр

отн

в

 

 

 

 

в

1

 

 

 

в

 

в

3

 

в 4

в 5

в 6

в 7

 

в 8

в 9

 

 

 

 

 

 

 

 

 

 

 

 

 

 

 

 

 

 

 

 

 

 

 

 

 

 

Относит

 

 

 

 

 

 

 

 

 

 

 

 

 

 

 

 

 

 

 

 

 

 

0,0000

 

 

.

 

 

0,7821

 

0,6024

 

0,4242

0,1606

0,0175

 

0,0020

0,0002

 

0,0000

 

 

 

 

 

 

1

прониц.

 

 

 

 

 

 

 

 

 

 

 

 

 

 

 

 

 

 

 

 

 

 

 

 

 

 

 

 

 

 

 

 

 

 

 

 

 

 

 

 

 

 

 

 

 

 

 

 

 

 

 

 

 

 

 

 

 

 

 

 

 

 

 

 

Рассчитываем относительную проницаемость нефти:

 

 

 

 

 

 

отн

 

 

 

S

 

 

 

Кв Квсв

 

2

 

 

 

 

 

 

 

 

Kпрн

 

1

 

 

 

 

 

1

 

 

 

 

 

 

 

 

 

 

 

 

 

 

 

 

 

 

 

 

 

 

 

 

 

 

 

 

 

 

 

 

 

 

 

 

 

S

 

 

 

1 Квсв

Кно

 

 

 

 

 

 

 

 

 

 

 

 

 

 

 

 

 

 

 

 

 

 

 

 

 

 

 

 

 

 

 

 

 

 

 

 

 

 

 

 

 

 

 

 

 

 

 

 

20