Материал: Элементы современной физики атомов и молекул_1

Внимание! Если размещение файла нарушает Ваши авторские права, то обязательно сообщите нам

Спин электрона – внутреннее свойство электрона, собственный неуничтожимый момент импульса.

 

 

 

1

 

LS

S(S 1)

S

- спиновое квантовое число

2

 

 

 

 

Проекция спина на направление внешнего магнитного поля:

(LS )z mS

mS 12

-

магнитное

спиновое

квантовое

число

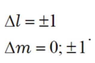
ПРАВИЛА ОТБОРА

устанавливают допустимые квантовые переходы электронов в атоме, связанных с испусканием и поглощением света

Могут осуществляться только такие переходы электронов в атоме, для которых:

правило отбора:

l 1

ml 0, 1

nd 2 p(n 3,4,...)

np 2s, ns 2 p

np 1s(n 2,3,...)

Фермионы и бозоны

Тождественные частицы – это частицы, имеющие одинаковые физические свойства

Принцип неразличимости тождественных частиц:

невозможно экспериментально различить

тождественные частицы.