Материал: Элементы линейной алгебры

Внимание! Если размещение файла нарушает Ваши авторские права, то обязательно сообщите нам

Напомним, что матрица коэффициентов называется основной матрицей системы, а матрица − расширенной.

Теорема Кронекера-Капелли.

Для совместности системы линейных уравнений необходимо и достаточно, чтобы ранг ее основной матрицы ( ) был равен рангу расширенной матрицы ( ).

Пусть . Тогда верны следующие утверждения.

1. Если ранг матрицы равен числу неизвестных , то система имеет единственное решение.

2. Если ранг матрицы меньше числа неизвестных, то система имеет бесконечное множество решений. При этом неизвестных, которые называются свободными неизвестными, принимают произвольные значения. Говорят, что система имеет степеней свободы.

Получим решение таких систем в векторной форме.

Пусть дана система

и известно, что . Минор, не равный нулю, называется базисным. Не уменьшая общности, будем считать, что базисный минор системы занимает в ней верхний левый угол. Обозначим этот минор :

.

Минор является базисным и для матрицы , поэтому строки с номерами являются линейными комбинациями первых строк и система эквивалентна системе из уравнений (свободные неизвестные перенесены в правую часть)

(11)

Решая эту систему по методу Крамера, имеем

,

где − определитель, полученный из базисного заменой го столбца на столбец правой части системы (11). Пользуясь свойствами определителей, имеем

. (11)

Определитель получен из базисного минора заменой −го столбца столбцом свободных членов, а − заменой −го столбца на коэффициенты при неизвестном . Введем обозначения:

.

Тогда .

Добавим сюда очевидных равенств .

Тем самым получено решение исходной системы через свободные переменные: . Это решение можно записать в векторной форме:

(12)

где для вычисления полагаем свободные неизвестные равными нулю, а для вычисления полагаем , а остальные свободные неизвестные и свободные члены равными нулю.

Универсальным методом решения для любых систем является метод Гаусса (исключение неизвестных). Он состоит в том, что с помощью умножения уравнений на ненулевые числа и сложения в первом уравнении оставляем все неизвестные, во втором на одно меньше, в третьем на два меньше и т.д. Эту операцию (назовем ее процедурой Гаусса) удобно проводить, используя матрицы. Она аналогична процедуре, используемой для отыскания ранга матрицы.

Составим расширенную матрицу системы и отделим для удобства свободные члены вертикальной линией. С помощью элементарных преобразований приводим матрицу к треугольному виду. Элементарные преобразования матрицы проводим только для строк.

Умножая первую строку на соответствующие коэффициенты и прибавляя к лежащим ниже строкам, получим нули в первом столбце. Затем проделываем такую же процедуру со второй строкой, третьей и т.д., до предпоследней строки. В результате преобразований получаем матрицу, по которой можно записать систему, равносильную исходной.

Рассмотрим примеры на три ситуации, возникающие при исследовании линейных систем.

1) . Система несовместна.

Пример 10.

Решить систему уравнений методом Гаусса:

Решение. Составим расширенную матрицу и преобразуем ее:

.

Как и в примере 2 над стрелкой указаны выполняемые операции.

Для удобства вычислений переставим четвертую строку на место второй и за счет второй строки получим нули во втором столбце во всех строках ниже второй, а затем за счет третьей строки - в третьем столбце:

В четвертой, пятой строках легко было получить нули, умножив третью строку на минус единицу и прибавив ее к четвертой и пятой.

По преобразованной матрице определяем: , ,

следовательно, данная система уравнений несовместна.

Ответ: система не имеет решений. ◄

2) . Система совместна и имеет единственное решение. В результате преобразований приходим к ступенчатой системе, решение которой легко находится.

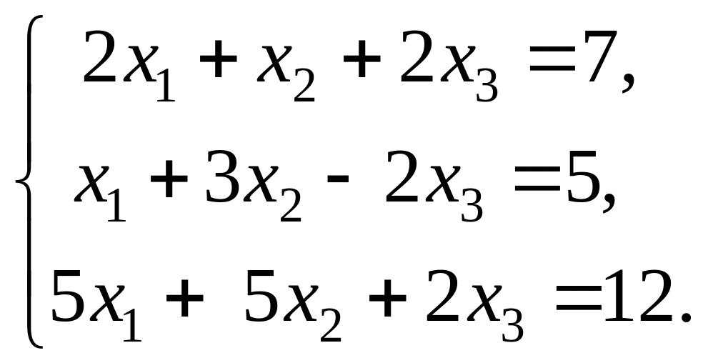
Пример 11. Решить систему уравнений методом Гаусса

Решение. Составим расширенную матрицу и преобразуем ее:

Ранг основной матрицы равен рангу расширенной матрицы и равен числу неизвестных. Следовательно, система совместна и имеет единственное решение. По преобразованной матрице составляем систему, равносильную исходной

Полученная система имеет ступенчатый вид и легко решается.

Ответ: .◄

3) . Система совместна, но имеет бесконечное множество решений. Это множество решений находим, перенося слагаемые со свободными неизвестными в правую часть уравнений.

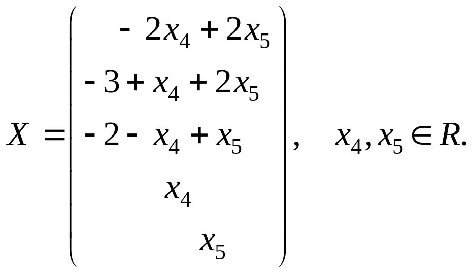
Пример 12. Решить систему уравнений

Решение. Преобразуем расширенную матрицу системы

.

Ранг основной матрицы равен рангу расширенной матрицы , число неизвестных равно пяти. Следовательно, система совместна, но имеет бесконечное множество решений. Число степеней свободы равно двум. Выберем свободными неизвестными и выразим через них :

отсюда получаем

Ответ запишем в виде вектора-столбца. . ◄

Получим решение заданной системы, используя формулу (12):

: получаем вектор ;

: получаем вектор ;

: получаем вектор .

Окончательное решение:

Выбор свободных неизвестных можно делать по-разному. Однако не всякие неизвестных можно принять свободными. Необходимо, чтобы коэффициенты при остальных неизвестных составили базисный минор.

Например, за свободные неизвестные в этом примере можно принять .

Базисный минор .

Система принимает вид:

Ее решение Рекомендуем студентам получить это решение и сделать проверку.

Упражнения.

Исследовать и решить системы уравнений:

1) 2) 3)

4) 5)

6) 7)

8) 9)

10) 11)

12) 13)

Ответы: 1) ; 2) ; 3) ; 4) ; 5) ;