Материал: Элементы линейной алгебры

Внимание! Если размещение файла нарушает Ваши авторские права, то обязательно сообщите нам

Индивидуальное задание

Каждый студент выполняет задание при конкретных значениях и , которые определяются по номеру в журнале группы: −первая цифра номера по списку, − вторая. Если номер по списку однозначный .

1

2

3

4

5

6

7

8

9

10

0

0

0

0

0

0

0

0

0

1

1

2

3

4

5

6

7

8

9

0

11

12

13

14

15

16

17

18

19

20

1

1

1

1

1

1

1

1

1

2

1

2

3

4

5

6

7

8

9

0

21

22

23

24

25

26

27

28

29

30

2

2

2

2

2

2

2

2

2

3

1

2

3

4

5

6

7

8

9

0

1. Вычислить определители:

, , .

2. Даны матрицы:

, , , .

Вычислить:

  1. , где - единичная матрица;

  2. (вычисления проводить, сохраняя три знака после запятой).

3. Решить матричное уравнение (найти матрицу ).

.

4. Решить системы уравнений двумя способами: по формулам Крамера и с помощью обратной матрицы:

а) б)

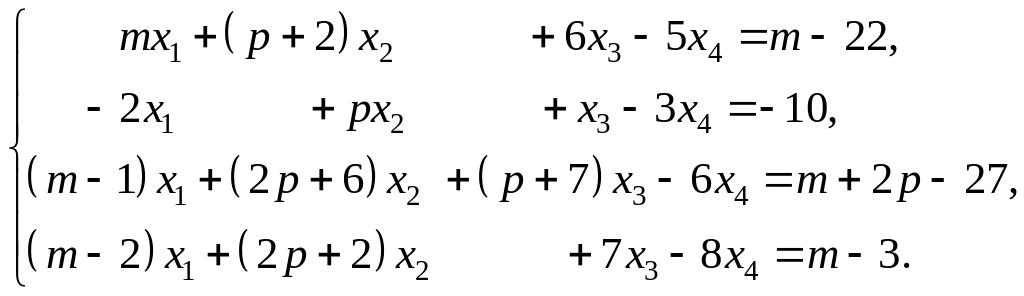
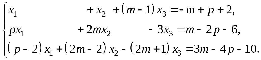
5. Исследовать системы уравнений и найти решение, если оно существует:

а)

б)

в)

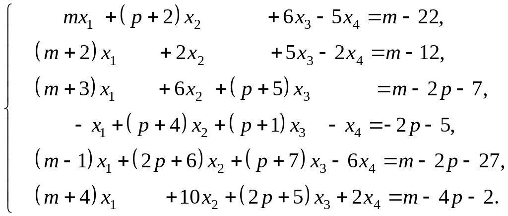
6. Исследовать и решить системы уравнений:

а)

б)

в)

Приложение

Здесь приведены примеры работы с матрицами и примеры решения систем с использованием математического пакета MATHEMATICA. Первоначально студент должен ознакомиться с работой интерфейса. Для любой работы необходимо знать операции ввода, вывода результатов; команды для выполнения операций.

Ввод данных осуществляется через знак «=». Программа подтверждает ввод строкой «In[1]:=…». Результат выполнения операции находится в строке, начинающейся словом «Out[1]=». Номера в квадратных скобках ввода и вывода совпадают.

Выполнение любой операции происходит по команде со строгим выполнением заданного формата.

Найти эти форматы можно в справке VIRTUAL BOOK. Там же приведены примеры выполнения операций. Ниже приведен ряд команд для выполнения заданий по теме.

Ввод матрицы.

In[4]:= m1 = {{2, -5, 4}, {3, -1, 8}, {2, 6, 1}, {-1, 3, 4}} Out[4]= {{2, -5, 4}, {3, -1, 8}, {2, 6, 1}, {-1, 3, 4}}

Имя матрицы m1. Сама матрица вводится построчно с использование фигурных скобок.

Умножение матриц. In[1]:= m2 = {{1, 6, 4}, {-4, -2, 4}, {3, 1, 8}} In[1]:= m3 = {{2, -1, 2, 6}, {-5, 5, -2, 3} Out[1]= {{1, 6, 4}, {-4, -2, 4}, {3, 1, 8}} Out[2]= {{2, -1, 2, 6}, {-5, 5, -2, 3}} In[7]:= m1.m2 Out[7]= {{34, 26, 20}, {31, 28, 72}, {-19, 1, 40}, {-1, -8, 40}}

Команда для умножении «.».

Вычисление определителя.

In[10]:= Det[m2] Out[10]= 252

Матрица m2 введена выше.

Нахождение обратной матрицы. In[8]:= Inverse[m2] Out[8]= {{-(5/63), -(11/63), 8/63}, {11/63, -(1/63), -(5/63)}, {1/126, 17/252, 11/ 126}}

Вычисление собственных чисел и собственных векторов. In[14]:= Eigenvalues[{{1, 2}, {2, 1}}] Out[14]= {3, -1} In[16]:= Eigenvectors[{{1, 2}, {2, 1}}] Out[16]= {{1, 1}, {-1, 1}}

Определение ранга матрицы.

In[18]:= MatrixRank[m1] Out[18]= 3

Решение систем линейных уравнений. In[17]:= Solve[{2 x + y - z + 2 t == 12, -x + 2 y + 4 z + 3 t == 4, 2 x + y + 4 z - 2 t == -10, x + 3 y + 5 z + 2 t == 3}, {x, y, z, t}] Out[17]= {{x -> 1, y -> 2, z -> -2, t -> 3}}.

В этом примере система имеет единственное решение. Вместо знака равенства в ответе используется « ->». Ниже система, имеющая множество решений и система, не имеющая решений.

In[20]:= Solve[{x + y + z == 4, 2 x + y + z == 5, 3 x + 2 y + 2 z == 9}, {x, y, z}] Equations may not give solutions for all"solve", In[21]:= Solve[{x + y + z == 4, 2 x + y + z == 5, 3 x + 2 y + 2 z == 10}, {x, y, z}] Out[20]= {{x -> 1, y -> 3 - z}} Out[21]= {}

Наряду со строчной записью ввода вывода использоваться записью матриц и других математических объектов в привычном виде. Для этого можно использовать команду TraditionalForm

Использование традиционной символики.

In[23]:= m = {{1, 2, 3}, {2, 3, 7}, {-8, 6, 4}}

In[24]:= TraditionalForm[m]

Out[23]= {{1, 2, 3}, {2, 3, 7}, {-8, 6, 4}}

Out[24]//TraditionalForm

=

Литература

1. Курош А.Г. Курс высшей алгебры. – М.: Наука, 1977.

2. Фаддеев Д.К., Соминский И.С. Задачи по высшей алгебре. – СПб.: Издательство «Лань», 1998.

3. Краснов М.Л., Киселев А.И., Макаренко Г.И., Шикин Е.В., Заляпин В.И., Соболев С.К. Вся высшая математика: Учебник. Т. 1. – М.: Эдиториал УРСС, 2000.

4. Данко П.Е, Попов А.Г., Кожевникова Т.Я. Высшая математика в упражнениях и задачах. - М.: Высшая школа, 1999. Ч.1.- 304 с. - Ч.2. - 416 с.

5. Фридман Г. Н., Леора С.Н. Математика & Mathematica. Избранные задачи для избранных студентов. – Невский Диалект, БХВ-Петербург , 2010, 299 с.

Введение 3

1. Матрицы и действия с матрицами 4

2. Определители 9

3. Обратная матрица. Решение матричных уравнений 16

4. Ранг матрицы 20

5. Системы линейных уравнений. Основные понятия 22

6. Решение линейных систем по формулам Крамера 24

7. Решение систем с помощью обратной матрицы 25

8. Исследование систем линейных уравнений. Метод Гаусса 26

9. Однородные системы 34

10. Собственные значения и собственные векторы матрицы 36

Индивидуальное задание 39

Приложение 41

Литература 43

1 Элементами матрицы могут быть и другие математические объекты, при этом свойства, рассмотренные для числовых матриц, в основном сохраняются.

44