Материал: Экономический рост в Республике Беларусь

Внимание! Если размещение файла нарушает Ваши авторские права, то обязательно сообщите нам

Г. Харрод утверждал что капиталосберегающий эффект научно-технического прогресса в инвестиционном секторе производства компенсируется трудосберегающим в секторе, где производятся потребительские блага. Но, если две величины уравнения являются постоянными, то есть устоявшаяся и третья.

Если бы фактический уровень экономического роста совпадал бы с гарантированным, то развитая рыночная экономика демонстрировала бы устойчивый непрерывный рост. И к сожалению на практике устойчивость отсутствует, причем не только в краткосрочном (статической) но и в долгосрочном (динамическом) периоде. Г. Харрод утверждает, что фактический уровень темпа экономического роста совпадает с гарантированным только в очень редких случаях. При этом несовпадения в сторону превышения (g > gw), или же противоположную сторону - (g < gw) приводит только к усилению отклонение фактической линии развития от желаемой. Это отклонение происходит или в сторону экономического бума, что сопровождается значительной инфляцией, или в сторону экономического спада и неминуемой депрессии и массовой безработицы. Такое поведение экономики является результатом сочетания эффекта мультипликатора и акселератора.

Отклонение фактического темпа экономического роста от гарантированного объясняет в основном краткосрочные циклические колебания. Природу долгосрочных колебаний помогает понять естественный темп экономического роста. Если гарантированный темп при условии полной загруженности имеющегося капитала все же предполагает наличие вынужденной безработицы, то естественный темп экономического роста не допускает его.

Несовпадения фактических, гарантированных и природных темпов экономического роста порождает долгосрочные циклические колебания. По мнению Г. Харрода рыночная экономика не имеет внутренних механизмов преодоления экономической нестабильности. Это под силу сделать только целенаправленному государственному регулированию, которое призвано обеспечить условия устойчивого экономического роста, долговременной динамического равновесия.

Программа практических мер государственной политики по поддержке устойчивого экономического роста в Г. Харрода включала две группы [11, с.230]:

) государственное краткосрочное антициклическое регулирование - приведение в соответствие фактического и гарантированного темпов экономического роста;

) политика долгосрочного стимулирования экономического развития - приближение гарантированных темпов экономического роста в природных и предупреждение массовой безработицы.

Модель Г. Харрода отражает принципиальное различие между неокласическими и кейнсианскими взглядами на место и роль сбережений в экономике. Причем, если Кейнс относился к сбережениям в целом негативно, видя в них один из факторов депрессии, то позиция Г. Харрода является более взвешенной. Сбережения очень желательны до тех пор, пока gw < gn, но когда gw > gn они начинают играть уже разрушительную роль, и поэтому не желанными.

Позиция Г. Харрода отличается от позиции Дж. Кейнса еще и тем, что он обращает внимание на опасность инфляционного бума, в то время когда Кейнс в условиях депрессивной экономики фактически игнорировал наличие данной проблемы.

В отличие от модели Г. Харрода, что выходила из равенства сбережений и инвестиций и базировалась на применении принципа акселератора, модель А. Домара строится на принципе мультипликатора и определяет норму прироста инвестиций, которая обеспечивает необходимый прирост национального дохода.

О. Домар дополнил взгляды Дж. Кейнса на роль инвестиций тем, что выдвинул идею о двойной функции инвестиций. Инвестиции не только является фактором роста дохода, они также связаны с созданием дополнительных производственных мощностей. Поэтому для поддержания устойчивых темпов экономического роста необходимо, чтобы темпы прироста дохода (т.е. спроса) соответствовали темпам прироста производственных мощностей (предложения). Динамическая сбалансированность совокупного спроса и совокупного предложения, по мнению А. Домара, определяется динамикой инвестиций, которые образуют новые мощности и новые доходы. Соответственно, задача - определить объемы и динамику инвестиций.

Модель А. Домара состоит из системы трех уравнений.

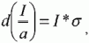
Уравнение предложения [11, с.230]:

= I*σ, (5)

где dX - прирост производства;- объем инвестиций;

σ - средняя производительность инвестиций.

Уравнение спроса:

 (6)

где dM - прирост спроса;- объем инвестиций;

а - средняя склонность к сбережениям, обратная величина которого определяет величину мультипликатора.

Отсюда вытекает общее уравнение макроэкономического равновесия:

 (7)

то есть равенство между приростом дохода и приростом производства. Исходя из данного уравнения можно получить необходимую норму прироста инвестиций.

 (8)

В целом же годовой прирост инвестиций, что обеспечивает определенный прирост предложения товаров, должен соответствовать тому объему инвестиций, которые в состоянии обеспечить прирост спроса для покрытия данного прироста предложения. Соответственно существует равновесный темп прироста, за которого гарантировано полное использование существующих в каждом периоде производственных мощностей. Равновесный темп прироста тем выше, чем больше норма сбережений и чем ниже капиталоемкость продукции.

О. Домар в своей модели динамического равновесия, в отличие от Г. Харрода, стремится учесть постоянные изменения емкости рынка. Но так же как и Г. Харрод подчеркивает, что динамическое равновесие является неустойчивой и поэтому необходимо государственное регулирование экономического роста.

Модель экономического роста Харрода-Домара основана на двух предпосылках. Первая предпосылка - рост национального дохода - определяется только одним фактором - нормой накопления капитала. Все остальные факторы - увеличение занятости, степень использования оборудования, улучшения в организации производства, которые отражаются на росте капиталоотдачи, - исключаются. Поэтому спрос на капитал при данной капиталоемкости определяется только темпом роста национального дохода. Вторая предпосылка - капиталоемкость - не зависит от прибыли и заработной платы, а определяется техническими условиями производства, имеющими тенденцию сохранять ее неизменной [2, с.263].

Связь между долей инвестиций в национальном доходе и капиталоемкостью строится на основе равенства сбережений и инвестиций. Причем сбережения характеризуют предложение фондов для инвестирования. А величина инвестиций определяется спросом на эти фонды. Полагая, что предложение сбережений является устойчивой функцией потребления, а спрос на инвестиции зависит от темпов роста национального дохода и величины капиталоемкости, Харрод, в частности, предложил формулу, характеризующую равенство сбережений и инвестиций:

S=CxG, (9)

где S - доля сбережений в национальном доходе;

С - капиталоемкость;

G - темп роста национального дохода.

Из этой формулы выводится условие динамического равновесия:

G = S: С, (10)

где G - темп роста национального дохода;

S - сбережения, которые в долгосрочном периоде постоянны вследствие устойчивости функции потребления;

С - требуемая капиталоемкость.

И Домар, и Харрод пришли к выводу, что условием динамического равновесия при постоянной норме накопления и постоянной капиталоемкости является устойчивый темп роста национального дохода. Этот темп роста Харрод назвал гарантированным. Отклонение от гарантированного темпа роста порождает, по мнению Харрода, кумулятивные причины, побуждающие фактический темп роста отклоняться от линии равновесия. О трудностях поддержания условий динамического равновесия писал и Домар [2, с.263].

1.3.2 Неоклассические модели (Кобба-Дугласа, Солоу)

Неоклассические модели экономического роста строятся на базе производственной функции и основаны на предпосылках полной занятости, гибкости цен на всех рынках, а также полной взаимозаменяемости факторов производства.

Большинство неоклассических моделей экономического роста исходит из того, что увеличение реального объема выпуска происходит прежде всего под влиянием роста основных факторов производства: труда (L) и капитала (К). Модель американских ученых Ч. Кобба и П. Дугласа, разработанная ими в 20-е гг. XX в. и получившая название производственной функции, показывает взаимодействие и взаимозаменяемость труда и капитала: насколько продукт обязан своим созданием тому или иному фактору, при какой их комбинации может быть достигнут максимум продукции при наименьших затратах. Она выражается уравнением [16, с.58]:

Q=f (K,L), (11)

где Q - объем производства;

f - функция;

К - размер капитала;

L - затраты труда (в стоимостном выражении).

Один и тот же объем прироста национального продукта может быть получен в результате либо увеличения капиталовложений, либо расширения использования труда. Поэтому на основе производственных функций осуществляется выбор требуемой в данных конкретных условиях технологической комбинации данных факторов производства.

В многочисленных исследованиях других экономистов модель Кобба-Дугласа была модифицирована вводом других факторов роста: возврата основного капитала, масштаба производства, квалификации работников, продолжительности рабочего времени и др.Я. Тинберген (1903-1994), нидерландский ученый, лауреат Нобелевской премии, рассмотрел производственную функцию с учетом фактора времени. В конечном итоге она приняла следующий вид [11, с.232]:

Y=AKα Lβ, (12)

где L - труд;

К - капитал;

А - коэффициент, отражающий уровень технологической производительности, и в краткосрочном периоде он не изменяется;

α и β - коэффициенты эластичности объема выпуска (Y) по фактору производства: α - по капиталу, β - по труду. α изменяется в пределах от0 до 1, а β=1-α.

Если цена товара равна предельному продукту капитала, а цена равна предельному продукту труда, то параметры α и β определяют пропорцию, в которой труд и капитал получают свое вознаграждение за созданный продукт. Следовательно происходит постоянная отдача от масштаба.

Свойства производственной функции Кобба-Дугласа.

) Постоянство отдачи от масштаба - F (nK, nL) = nAKα Lβ, показывает, что если количество капитала и труда увеличится в n раз, то объем совокупного выпуска, или объем дохода, возрастет в такое же количество раз.

) Изменение предельной производительности факторов - означает, что нарушение пропорции между трудом и капиталом при заданной технологии производства к отклонению от оптимального объема совокупного выпуска, т.е. к неэффективности производства.

) Постоянство отношения дохода от труда к доходу капитала, т.е. постоянство соотношений долей капитала и труда в национальном продукте.

Модель Солоу - более совершенная и динамическая модель экономического роста. Достоинством данной модели является то, что она учитывает взаимодействие спроса и предложения в их влиянии на накопление капитала.

Р. Солоу показал, что нестабильность динамического равновесия в кейнсианских моделях была следствием невзаимозаменяемости факторов производства. Особенностью этой модели является то, что она демонстрирует устойчивость экономического роста, т.е. способность экономической системы возвращаться к траектории сбалансированного развития при помощи внутренних рыночных механизмов саморегулирования. В своей модели он использовал производственную функцию Кобба-Дугласа, в которой труд и капитал являются субститутами. Другими предпосылками анализа в модели Солоу являются:

) Капиталовооруженность - является меняющимся соотношением в зависимости от макроэкономической конъюнктуры.

) Гибкие цены.

) Темп роста трудовых ресурсов равен темпу роста населения.

) Первоначально при построении модели предполагалось, что темпы роста населения не меняются, а технический прогресс отсутствует.

) Такие переменные, как норма сбережения, норма амортизации, рост населения, технический прогресс являются экзогенно заданными.

Необходимым условием равновесия экономической системы является равенство совокупного спроса и предложения. Предложение описывается производственной функцией с постоянной отдачей от масштаба:

=F (K,L). (13)

Исходя из этой функции, получаем производственную функцию для одного работника:

=f (k), (14)

где k=K/L - уровень капиталовооруженности единицы труда, или одного работника.

Доход (y=Y/L) предстает кА функция одного фактора - капиталовооруженности. По мере увеличения количества капитала на одного работника, предельная производительность этого фактора уменьшается, что и вызывает замедление роста функции дохода.

В модели Солоу сбережения представляют собой часть единичного дохода. Все сбережения в экономике полностью инвестируются, и это позволяет приравнять функцию фактических инвестиций на одного работника (i) к единичной функции сбережения:

=sy=sf (k). (15)

Исходя из функции Y=C+I, выпуск в расчете на одного занятого можно записать в виде:

y=c+i, (16), где i=Y/L, c=C/L, i=I/L,

Функцию потребления представить как:

=y-i=f (k) - sf (k), (17)

По условию модели, экономика изначально находится в состоянии устойчивого равновесия, т.е. планируемые, или требуемые инвестиции равны фактически осуществленным инвестициям, т.е. сбережениям. В модели Солоу оно описывается, как устойчивое, или стационарное состояние экономики, при котором объем капитала на одного работника постоянен. Таким образом, требуемые инвестиции в расчете на одного работника можно записать в виде следующего равенства [11, с.234]:

=nk. (18)

Для описания чистого прироста капитала, нужно учитывать выбытие капитала, или амортизацию. Растущего капитала должно быть достаточно для оснащения новыми капитальными благами дополнительной рабочей силы и для пополнения выбывающего капитала. Требуемые инвестиции в расчете на одного работника будут записываться в виде равенства:

= (n+δ), (19)

где

δ - норма амортизации. Условия накопления капитала с учетом постоянного темпа роста населения и постоянного роста выбытия выражается в следующей функции:

= sf (k) - (n+ δ) k. (20)

В ходе производства ежегодно пополняются капитальные запасы. Однако прирост фактических инвестиций идет затухающими темпами из-за снижения предельной производительности капитала, происходящим по мере увеличения капиталовлаженности одного работника.

Когда k=0, тогда производство, сбережения и требуемые инвестиции достигают определенного устойчивого уровня, т.е. экономика достигает состояния равновесия. Такой уровень капиталовложенности называется устойчивым уровнем капиталовложенности (k*) и характеризует состояние равновесия экономики.

(k*) - (n+ δ) k*=0 (21) или sf (k*) = (n+ δ) k*. (22)

Если сбережения превышают уровень требуемых инвестиций, тогда предложение капитала превышает спрос на него, т.е. объем капитала избыточный. Такое динамическое равновесие оказывается устойчивым, поскольку изменение относительных цен на факторы производства будут "подталкивать" экономику к состоянию устойчивой капиталовооруженности k*.

Когда инвестиции превышают сбережения, тогда возникает дефицит капитала и начнется повышение цен (рисунок 1).

Рисунок 1 - Модель экономического роста Солоу

Луч пк указывает, сколько должен сэкономить среднестатистический работник на каждой единицы интенсивности капитала, чтобы обеспечить своих детей готовым капиталом. Кривая sf (k) показывает, сколько накоплений он экономит на каждой единицы интенсивности капитала. Изменение интенсивности капитала измеряется вертикальной линией между этими двумя кривыми. Если экономика находится в точке к1 эта смена положительная, поэтому экономика движется справа к дальнейшему к. Если экономика - в точке к2, изменение негативная, экономика движется слева. В обоих случаях экономика будет сводиться к точке к*, которая отражает путь сбалансированного роста. Этот путь стабильный.