Материал: Экономический рост в Республике Беларусь

Внимание! Если размещение файла нарушает Ваши авторские права, то обязательно сообщите нам

Согласно утверждениям противников экономического роста, многие социальные проблемы современности (например, бедность) не могут быть решены путем дальнейшего наращивания производственного потенциала. Последний уже достаточно велик для обеспечения всеобщего благосостояния, основная задача сводится лишь к нахождению такого способа распределения произведенного продукта, который привел бы к удовлетворению социальных запросов общества.

Кроме того, подчеркивается, что материальное благосостояние не может являться главной (тем более - единственной) целью экономического развития. Стоит задуматься над тем, в чем истинные потребности человека и не приводит ли экономический рост к утрате многих человеческих ценностей.

Несмотря на многие рациональные аргументы, позицию противников экономического роста как "самоцели" нельзя считать вполне убедительной, поскольку в некоторых странах существуют более острые проблемы, нежели те, на которые указывают приверженцы данной точки зрения.

1.2 Факторы экономического роста и его типы


Один из крупнейших представителей классической политэкономии Ж. - Б. Сэй ввел в оборот понятие "факторы производства". К ним относятся труд, земля и капитал, принимающие участие в производстве продукции.

Современная экономическая наука расширила число производственных факторов, лежащих в основе экономического роста. В настоящее время к таким факторам относят [2, с.262]:

природные ресурсы - прежде всего сырьевые, включающие как первичные предметы труда, так и сельскохозяйственные угодья. Природа участвует в воспроизводственном процессе как фактор воспроизводства, поскольку является не только источником сырьевых ресурсов, но и средой обитания человека. Обладание минеральными, земельными, лесными, водными и другими ресурсами благоприятствует экономическому росту. Однако их наличие создает только потенциал, но не гарантирует высокого уровня экономического развития;

трудовые ресурсы - трудовой потенциал общества. Он характеризуется, с одной стороны, количественными параметрами, а с другой - качеством рабочей силы. При этом следует указать на необходимость рационального использования трудовых ресурсов. Наличие безработных или дипломированных специалистов, занятых на вспомогательных работах и не по специальности, низкая дисциплина труда и т.п. свидетельствуют о неэффективном использовании важнейшего ресурса экономического развития общества;

капитал как экономический ресурс объединяет все основные и оборотные средства: станки, оборудование, транспорт, промышленные здания и сооружения, производственную инфраструктуру;

предпринимательские способности предполагают наличие у человека, занимающегося предпринимательской деятельностью, таких черт, как способность принимать решения и брать на себя ответственность, склонность к новаторству и риску. По мнению специалистов, предпринимательскими способностями обладает лишь незначительная часть населения. Предпринимательская инициативность и новаторство при поддержке государства способствуют эффективному функционированию современной рыночной экономики и экономическому росту;

научно-технический прогресс - процесс создания и внедрения в производство новой техники и прогрессивных технологий. Он выступает важнейшим фактором экономии общественного труда и условием экономического роста при любых социально-экономических системах.

Все эти факторы взаимосвязаны и оказывают комплексное воздействие на экономический рост.

В зависимости от способа воздействия на экономический рост выделяют прямые и косвенные факторы [11, с.226].

К прямым относятся факторы, которые непосредственно определяют физическую способность к экономическому росту (увеличение численности и повышение качества трудовых ресурсов; рост и изменение структуры основного капитала; улучшение технологии и организации производства; увеличение количества и качества вовлекаемых в хозяйственный оборот природных ресурсов).

Косвенные факторы оказывают влияние на реализацию потенциала, заложенного в прямых факторах (наличие конкурентной среды; уменьшение цен на производственные ресурсы; снижение налогов; улучшение условий получения кредита и др.).

Факторы экономического роста могут быть также подразделены на внешние и внутренние. Например, капитал может быть представлен иностранным (поступающим в страну извне) и национальным, т.е. мобилизуемым внутри страны.

Существует множество классификаций факторов экономического роста (экстенсивные и интенсивные; структурные; организационные; экономические; социальные; объективные и субъективные; материальные и нематериальные и др.). Однако наиболее часто факторы экономического роста подразделяются на следующие группы:

предложения (наличие природных и трудовых ресурсов, наличие основного капитала, уровень технологий и т.д.);

спроса (уровень цен; потребительские расходы; инвестиционные расходы; государственные расходы; чистый объем экспорта и др.);

распределения (рациональность и полнота вовлечения ресурсов в хозяйственный оборот; эффективность утилизации вовлекаемых в экономический оборот ресурсов).

Факторы экономического роста взаимосвязаны между собой. Например, труд будет более производителен, если работник использует современное оборудование и материалы под руководством высококвалифицированного менеджера. Поэтому точно определить долю того или иного фактора экономического роста достаточно сложно. Более того, все факторы экономического роста являются комплексными, состоят из ряда более мелких элементов, вследствие чего их можно перегруппировывать.

В зависимости от конкретных условий взаимодействия факторов различают экстенсивный и интенсивный типы экономического роста.

Экстенсивный экономический рост обеспечивает увеличение валового продукта за счет количественного увеличения факторов производства (во влечение в производство дополнительных природных, трудовых, инвестиционных ресурсов) без изменения технической базы производства и производительности труда в обществе.

Интенсивный экономический рост основан на повышении производительности труда, совершенствовании технологии производства, росте качества факторов производства. Таким образом, интенсивный тип экономического роста осуществляется не за счет увеличения объемов затрат ресурсов, а за счет роста их отдачи.

Факторами спроса называются те из них, которые повышают совокупный спрос общества: доходы, склонность населения к потреблению и сбережению, бюджетно-налоговую политику государства.

Факторы предложения - это природные ресурсы, количество и качество трудовых ресурсов, наличие основного капитала, уровень техники и технологии и т.д.

Факторы распределения - это рациональность и полнота вовлечения в процесс производства природных, трудовых и финансовых ресурсов страны, что находит отражение в прогрессивной структуре производства в стране.

Еще один фактор, оказывающий влияние на экономический рост, называется нормой сбережений. Инвестиции, финансируемые за счет сбережений, способствуют экономическому росту. Увеличение нормы сбережений повышает темпы роста выпуска в краткосрочной перспективе. В долгосрочной перспективе ее увеличение повышает уровень дохода на душу населения при постоянных темпах роста выпуска.

Ведущим фактором экономического роста в современных условиях являются знания, особенно технологические. Американский экономист Э. Денисон классифицировал экономический рост по 23 производственным факторам. Из них 4 фактора относятся к труду, 4 - к капиталу, 1 - к земле, а остальные 14 факторов характеризуют различные элементы НТП. По мнению ученого, экономический рост в современных условиях определяется не столько количеством затраченных факторов производства, сколько повышением их качества, прежде всего качества рабочей силы. Проанализировав источники экономического роста в США за период с 1929 по 1982 г., Денисон пришел к выводу, что образование является определяющим фактором роста объема выпуска на одного работающего. Таким образом, технический прогресс не только способствует интенсификации экономического роста, о чем говорилось выше, но и рассматривается как реализация в процессе проведения научно-исследовательских и опытно-конструкторских разработок (НИОКР) накопленных знаний, навыков, приемов, технической информации и других инноваций [5, с.108].

Немаловажное значение имеют социально-политические факторы: стабильные высокие темпы экономического роста достижимы прежде всего в условиях мира и социальной стабильности в стране.

На экономический рост большое влияние оказывает экономическая политика государства, которая либо стимулирует, либо тормозит его. Важное значение имеет степень открытости экономики, ее участие в мировом хозяйстве, особенно в международном разделении труда и в экономической интеграции.

1.3 Теоретические модели экономического роста


1.3.1 Неокейнсианские модели (Домара, Харрода)

Кейнс утверждал, что стихийный механизм капиталистического хозяйства, не обеспечивая равновесия между спросом и предложением, ведет к безработице, неустойчивости экономического развития. Он и его последователи боролись за государственное регулирование факторов, воздействующих на эффективный спрос, что и обеспечивает устойчивость экономики.

В числе последователей Кейнса - такие представители неокейнсианства, как Рой Харрод, Николас Калдор, Евсей Домар, Элвин Хансен, Джоан Робинсон. Не только опираясь на теорию Кейнса, но и критикуя ее за статичность, т.е. ориентацию на количественные зависимости простого воспроизводства, они концентрируют внимание на динамике, т.е. количественных зависимостях расширенного воспроизводства.

Неокейнсианство исследовало проблемы динамики эффективного спроса, использование инвестиций, понятие мультипликатора. Другие же аспекты теории Кейнса, относящиеся к денежной сфере (динамика денежной массы, норма процента, цены), были признаны несущественными и в моделях экономического роста и цикла почти никакой роли не играли.

Определяющим фактором экономического роста и его темпов, по мнению неокейнсианцев, является рост инвестиций. Инвестиции в рассматриваемой модели экономического роста играют важную роль: с одной стороны, они способствуют росту национального дохода, с другой - увеличивают производственные мощности. В свою очередь, рост дохода способствует увеличению занятости.

Большую роль в формировании неокейнсианства и в создании теорий макроэкономической динамики и роста сыграли английский ученый Рой Форбс Харрод (1990 - 1978) и американец польского происхождения Евсей Дэвид Домар (1914 - 1997). Они независимо друг от друга создали модели экономической динамики и роста, которые в силу своей методологической родства и одинаковым выводам принято объединять в единую модель - модель Харрода-Домара.

Методология Г. Харрода и О. Домара была близка к методологии Дж.М. Кейнса. Она предусматривала: исследования агрегированных макроэкономических показателей (совокупный спрос, совокупный доход, совокупные сбережения, совокупные инвестиции); понимание приоритетности проблемы обеспечения эффективного совокупного спроса; признание неспособности зрелой рыночной экономики к саморегулированию и обоснование необходимости государственного регулирования. И последователи Кейнса пошли дальше своего учителя и поставили себе цель исследовать факторы, обеспечивающие динамическое равновесие рыночной экономики и экономический рост [11, с.227].

Модель Г. Харрода доказывает, что темпы экономического роста зависят от доли накопления (сбережения) в национальном доходе и соответственно - величины капиталовложений (инвестиций). Для того, чтобы в экономике постоянно имело место динамическое равновесие, полное использование имеющихся ресурсов и поступательное, без резких колебаний развитие, необходимо поддерживать соответствующие темпы экономического роста. Необходимым условием последнего является постоянное и систематическое государственное регулирование экономики.

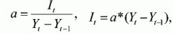
Модель Г. Харрода исходит из равенства инвестиций и сбережений (частных и корпоративных), а также с наличия эффекта акселератора (ускорителя). Действие последнего заключается в том, что рост дохода порождает значительно большие объемы инвестиций. Акселератор можно изобразить следующим образом:

 (1)

где а - акселератор;t - новые инвестиции за данный период;t - доход за данный период;t-1 - доход за предыдущий период.

Внедрение в практику экономических исследований рядом с мультипликатором принципа акселератора стало существенным развитием кейнсианства. Впервые идею взаимодействия мультипликатора и акселератора предложил в 1939 г.П. Самуэльсон.

Также Г. Харрод разделил всю экономику на два сектора: сектор, где производятся потребительские блага и сектор, где производятся инвестиционные блага.

В целом модель Харрода включает в себя систему из трех уравнений:

 (2)

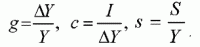
где g - фактический темп экономического роста (grows - рост),w - гарантированный темп экономического роста (warranted-гарантированный),n - естественный темп экономического роста (natural - естественный),- капитальный коэффициент, или коэффициент капиталоемкости (отражает инвестиционную цену прироста дохода),r - необходимый коэффициент капиталоемкости,- доля сбережений в национальном доходе, или склонность к сбережению.

Фактический темп экономического роста (g) - отражает реальное состояние дел. Приведенные коэффициенты в уравнении можно описать следующим образом [11, с.228]:

 (3)

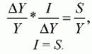
Подставив их значение в уравнение фактических темпов экономического роста, можно получить базовое кейнсианское тождество:

 (4)

Но, если у Дж. Кейнса эта тождественность является статическим, то в Г. Харрода - динамичной: левая часть уравнения (g*c) представляет собой накапливаемую часть прироста продукции, идущей на производственные цели. Эта часть должна обеспечиваться соответствующей долей сбережений (s).

Гарантированный темп роста (gw) - это тот темп роста, что представляет собой прогнозируемую линию развития, на которую настраиваются предприниматели. Гарантированный темп роста предусматривает полное использование имеющегося капитала, технических усовершенствований и выражает равновесие непрерывного поступательного развития. Именно поэтому он является линией динамического равновесия.

Если левая часть уравнения (s) относится к прошлому периоду, то правая (gw*cr) - к будущему. cr - выражает потребность в новом капитале, поделенную на прирост выпуска продукции и поэтому называется необходимым коэффициентом капиталоемкости.

Поскольку склонность к сбережению является относительно постоянной за определенный период времени величиной, то Г. Харрод делает вывод, что гарантированный темп экономического роста имеет также соответствующий постоянный уровень. Постоянную величину имеет, по мнению Г. Харрода, и необходимый коэффициент капиталоемкости. При этом он исходил из нейтрального характера научно-технического прогресса.