Материал: Економічна рівновага і циклічність. Типи циклів

Внимание! Если размещение файла нарушает Ваши авторские права, то обязательно сообщите нам

Власне будь-яке управління певною мірою має бути антикризовим, а соціально-економічна система повинна бути пристосована до тривалого існування з можливостями адаптації до умов, що змінюються. Можливості антикризового управління залежать від професіоналізму й мистецтва управління, характеру мотивації, розуміння передумов кризи та її наслідків, а також відповідальності уповноважених осіб.

.2 Дослідження економічних циклів найбільших економік СНД на основі процедури Брай-Бошена

Відповідно до уявлень більшості науковців, економічні цикли доцільно розглядати як коливальні процеси макроекономічної кон'юнктури навколо певних рівноважних значень агрегованих макроекономічних показників:

ВВП, інфляція, обмінний курс тощо. Згладжування коливань макроекономічної динаміки засобами грошово-кредитної й бюджетно-податкової політик є одним із приоритетних завдань держави у контексті за-безпечення сталого економічного розвитку. У свою чергу, ретроспективний аналіз ефективності застосування антициклічних заходів і розробка перспек-тивних планів щодо регулювання фаз економічних циклів можуть ефективно реалізовуватись лише на основі врахування результатів досліджень параметрів економічних циклів. Процедура Брай-Бошена передбачає обробку часових рядів даних на основі таких правил:

після зростання настає спад, як наслідок, кожному піку відповідає дно; - кожна фаза (від зростання до спаду і навпаки) повинна тривати не менше двох кварталів;

бізнес-цикл від піку до піку чи від дна до дна повинен тривати хоча б п'ять кварталів для розрізнення його від сезонного коливання;

поворотні точки протягом двох кварталів на початку або в кінці часового ряду не враховуються як піки (нижні точки);

перший або останній пік (дно) має бути більшим (меншим), ніж значення ближче до початку чи кінця часового ряду.

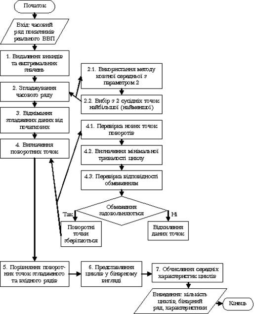
Алгоритм ґрунтується на підходах, подібних до методики Національного бюро економічних досліджень. Однак, на відміну від цієї методики, алго-ритм передбачає використання лише одного часового ряду для визначення фаз циклів - реального ВВП. Поетапну роботу алгоритму датування циклів на основі процедури Брай-Бошена наведено на рис. 1.2. Потрібно зазначити, що алгоритм передбачає виконання зазначених вище 5 правил (обмежень) щодо квартальних даних ВВП. Однак вони можуть відповідним чином трансформуватись при дослідженні циклічності річних(місячних) показників.

На першому етапі відбувається впорядкування вхідного часового ряду та підготовка його для подальшої обробки. Програма дослідження економічних циклів реалізована у вигляді набору файлів з відповідною логікою коду. Вхідні дані організовуються у вигляді набору даних щодо реального ВВП у текстовому файлі. Спочатку визначається тип вхідних даних, які аналізуватимуться: квартальні (місячні, річні). Далі встановлюються ключові початкові параметри вхідних даних: перший квартал (місяць, рік) і останній квартал (місяць, рік). Потім за спеціальною формулою визначається кількість вхідних даних для аналізу. Після цього отримане значення порівнюється з фактичним обсягом вхідних даних. У разі невідповідності програма інформує про помилку та вказує про необхідність зміни початкових параметрів.

Рис. 1.2. Схема роботи алгоритму програми на основі процедури Брай-Бошена

Потім відбувається завантаження вхідних даних з текстового файлу. Відповідно до кількості стовпчиків (у даному випадку - один з показників ВВП у розрізі кожної країни) визначається рівень ітерацій. У випадку декількох видів вхідних даних алгоритм повторюється відповідну кількість раз. У пропонованому дослідженні для всіх країн СНД використовується один показник - квартальні темпи росту реального ВВП у відсотках до відповідного кварталу попереднього року. Після завершення наведених вище процедур проводиться логарифмування даних для приведення їх до однієї розмірності, а також усунення невизначеностей і шумів. Порівнюється кількість розрахункових (відповідно до процедур алгоритму) і завантажених значень. При збігу зазначених показників починається розрахунок пікових і найнижчих точок, що є поворотними значеннями для циклів. Другий етап реалізації алгоритму передбачає обчислення різниці між наступним і попереднім значеннями рядів даних.

Для значних величин відбувається видалення їх з вибірки з поміщенням в окремий масив. Вважається, що ці дані спричинені або економічними чинниками, або сезонними коливаннями. На наступному кроці проводиться згладжування за методом ковзної середньої для визначення основної тенденції вхідного ряду. Згладжування методом ковзної середньої є найбільш поширеним способом видалення сезонної складової та ігнорування шуму в динаміці. З іншого боку, даний метод не змінює початкову тенденцію і є досить надійним [2]. У досліджуваному алгоритмі використовується ковзна середня Спенсера для виявлення основної динаміки при одночасному зниженні випадкової флуктуації(шуму) [10]. Ідея згладжування полягає в тому, щоб брати два сусідніх значення ряду та замінювати їх середніми, отримуючи таким чином новий ряд для дослідження. Параметр згладжування 2 означає, що беруться усереднені значення для двох сусідніх. Потім визначаються максимальні та мінімальні значення й поміщаються у масив. На третьому етапі проводиться віднімання згладжених даних від початкових і процедура повторюється, тобто поворотні точки визначаються знову, а потім порівнюються з двома попередніми масивами. Таким чином, усувається вплив сезонних чинників і підсилюється значення економічних чинників, що безпосередньо визначають ключові тенденції зміни досліджуваних показників.

Четвертий етап передбачає перевірку поворотних точок. Суть перевірки зводиться до таких кроків: спочатку повторюють процеси згладжування та запису результатів до масиву [5]. При підтвердженні збігу даних за трьома масивами ці точки визначаються поворотними для циклу. Далі визначається мінімальний цикл за тривалістю і проводиться перевірка відповідно до обмежень. Якщо умови не виконуються, то даний цикл відкидається, а далі проводиться обчислення наступного циклу. У межах п'ятого етапу, для отриманих точок при зміні тенденції зі зростання до падіння, номер відповідного значення вхідних даних визначається як пікова точка та виводиться на екран. На основі протилежних підходів виводяться номери значень вхідних даних, де спостерігаються найнижчі рівні показників порівняно з сусідніми [3, 32].

Шостий етап передбачає оцінку тенденції, показуючи цикли у вигляді бінарного набору (почерговий опис циклів зміною нулів та одиниць). При зміні тенденції опис циклу визначається переходом до іншого бінарного числа. Для фази спаду всі елементи вхідного ряду подаються як 0, а зростання - 1.

На сьомому етапі розраховуються статистичні характеристики для вхідних даних: тривалість, амплітуда, кумулятивне зміщення, ексцес. даних: тривалість, амплітуда, кумулятивне зміщення, ексцес.

Тривалість (durations) - кількість кварталів від піку до найнижчої точки або від найнижчої точки до наступного піку. У програмі розраховується два показники тривалості фаз циклу: середнє значення за всіма періодами спаду та середнє значення за всіма періодами зростання.

Амплітуда (amplitudes) - відсоткова зміна реального ВВП від піку до найнижчої точки або навпаки. У програмі розраховується два показники амплітуди фаз циклу: середнє значення за всіма періодами спаду й середнє значення за всіма періодами зростання. піку й спаду як відсоткова зміна ВВП за всіма піками або спадами, поділена на кількість елементів ряду, з яких видалено шуми. Показує довгострокову тенденцію зміни фаз часового ряду. Порівнюються параметри тривалості кожної наступної фази щодо попередньої. Із ряду таких показників виводиться усереднене значення.

Ексцес (excess movements percent of triangle area) - стрімкість підвищення або спаду кривої порівняно з нормальним законом розподілу (гостріша чи пологіша). У даному випадку крива нормального розподілу описується трикутником із визначеними середніми параметрами за вибіркою, а перевищення окремої хвилі спаду чи росту показують гостріший нахил, вміщення в трикутник - пологіший.

Також розраховуються середні помилки зазначених вище характеристик:

середня помилка амплітуди (розраховується аналогічно попередньому показнику, але для амплітуди - cv of amps);

середня помилка ексцесу (аналогічні розрахунки окремо для піків і спадів щодо ексцесу - cv of xss).

У дослідженні наведено результати дослідження економічних циклів найбільших економік СНД на основі процедури Брай-Бошена, що змодельована у MatLab. Початковий алгоритм було модифіковано для роботи з різними часовими рядами: для аналізу вхідних даних за будь-який період часу на основі використання місячних, квартальних або річних показників реального ВВП.

Розділ 3. Кризові явища в економіці України

.1 Поширення та класифікація кризових явищ в економіці України

Простежуючи економічні явища в Україні впродовж всього історичного шляху, видно, що вони протікали завжди в гострій боротьбі. Ця боротьба триває і до сьогодні. Ця боротьба є ніщо інше, як вияв кризових явищ. Будь-які кризові явища завжди мали і мають зовнішні і внутрішні чинники. Їх співвідношення, або їх інтегральна дія і визначають або економічний поступ, або економічний занепад.

Дослідження кризових явищ в економіці України є актуальними, бо вони допомагають зацікавленим у вирішенні назрілих проблем швидше розібратись в існуючій ситуації і накреслити правильні шляхи з рецесії.

В Україні дослідженнями кризових явищ в економіці займаються

В. Мельник, О. Барановський, І. Дорошенко, Н. Шелудько, Т. Вахненко,

П. Гайдуцький, О. Білорус та багато інших. У публікаціях вказаних та інших авторів розкриті різні аспекти фінансових криз у різні періоди, у них відображена фундаментальна інформація як щодо самих кризових явищ, так і причини, що їх породжують [7].Вчені систематизували наявні чинники фінансової кризи в Україні стосовно

місця їх виникнення, тобто поділили ці чинники на внутрішні та зовнішні, розуміючи, що в сьогоднішніх умовах економіка України не може мати сильного глобалізаційного впливу на економіки інших держав, очевидно навпаки, що зовнішні чинники ще тривалий час, допоки не зміцніє економічна система України, будуть мати домінуюче значення. Хоч при цьому завжди треба враховувати рівень інтегрованості національної економіки в світові господарські процеси. І зрозуміло, що вступ України до СОТ, зростання і пришвидшення у зв’язку з цим глобалізаційних процесів загалом, робить національну економіку більш вразливою. Основні внутрішні чинники кризових явищ в сучасній економіці України:

. Невміння використовувати інтелектуальний капітал в українському суспільстві.

Із розширенням застосування комп’ютерних технологій інформація і знання стають незамінним виробничим ресурсом, “який перевершує фінансовий потенціал і робочу силу”. Все це сприяє “виникненню інтелектуального капіталу як закономірного результату розвитку науки й технологій, глибокого проникнення їх у процес виробництва, піднесення ролі й значення науки, людського розуму, інформації і знань у розвитку економіки й суспільства”.2. Механізм відшкодування ПДВ. В Україні були випадки, коли підприємствам роками не відшкодовували ПДВ. Були також випадки безпідставного повернення ПДВ деякими податковими органами.

. Низький рівень валових міжнародних резервів України. У 2009 році він становив 20,3% ВВП. Для порівняння - в країнах з низьким і середнім рівнями доходів він складав 27%. А в 2013 році рівень валових міжнародних резервів складав 18,7%. У цьому ж періоді відношення міжнародних резервів до короткострокового зовнішнього боргу становило в Україні 1,2, тоді як середній показник для країн з низьким і середнім рівнем доходів становив 3,2. Зрозуміло, що сьогодні неможливо раптово поправити рівень валових міжнародних резервів.

. Відсутність динамічної податкової політики держави, яка би своєчасно реагувала на зміни в економіці. Цей чинник у порівнянні з перерахованими легше поправити, оскільки в державі ще не прийнятий Податковий кодекс. У такій ситуації, тобто в періоди криз, необхідно мінімізувати податковий тиск в державі до настання фази піднесення. Усе це також слід передбачити і записати в Податковий кодекс. І тоді в державі буде офіційно функціонувати правове забезпечення адекватної поведінки податкової служби відповідно до

мінливих умов економіки.

. Відсутність патріотизму у частини депутатів ВРУ, які не захищають інтереси свого народу.

. Високоризикована кредитна політика. В Україні кредити видавалися без реального забезпечення або з низьколіквідним забезпеченням. В покращенні кредитної політики позитивну роль може зіграти якісна робота бюро кредитних історій, а також удосконалення Закону України “Про Заставу” та інше.

. Слабкість фінансового стану клієнтів (позичальників). Для вивчення фінансового стану юридичних осіб позитивну роль відіграє бюро кредитних історій, про що вже згадувалося при аналізі попереднього чинника. Щодо фізичних осіб необхідно застосувати якісну оцінку кредитоспроможності позичальників, в якій потрібно розширити коло питань, що допоможе точніше визначити їх фінансовий стан.

. Недостатній нагляд за банківською системою. НБУ повинен вести строгішу політику щодо комерційних банків і оперативніше реагувати на зміни на валютному ринку, якщо такі зміни вже відбулися. Аналіз ситуації, що склалася на межі 2008-2009 років свідчить про те, що НБУ були допущені серйозні помилки в такому нагляді. Відповідну роль повинна відіграти Державна Комісія з регулювання ринку фінансових послуг, діяльність якої під час фінансової кризи в 2008-2009 роках була невиразною.

. Наявність асиметрії інформації між кредитором і позичальником. Тобто позичальники найчастіше мають більше інформації про інвестиційний проект, ніж кредитори, які в умовах неповної інформації змушені страхуватися від невизначеності, позичаючи гроші під середню процентну ставку між ризиковими і безризиковими інвестиціями. Внаслідок цього позичальники, яким потрібні гроші для фінансування високодохідних проектів із низьким ступенем ризику, змушені сплачувати більший процент, ніж за інформаційної прозорості. Водночас позичальники, що фінансують високоризикові проекти, мають можливість одержати гроші під нижчий процент.

Усе це спричиняє витіснення “хороших” інвестиційних проектів “поганими”, а отже, зниження якості портфелів фінансових посередників”.

. Недостатній професіоналізм фінансових менеджерів і особливо в банківському секторі економіки. Досвід уже двох фінансових криз в Україні показав, що фінансові менеджери не завжди діяли адекватно до умов кризи. Багатьох негативних результатів кризи можна було оминути, якби фінансові менеджери своєчасно реагували на мінливі події. Отже, школу фінансових менеджерів і особливо в кризових умовах, необхідно удосконалювати.Загальний аналіз фінансової кризи в Україні показав, що значний вплив на її результати мали зовнішні чинники, з якими Україні важче справитися, а часом і зовсім неможливо. Розглянемо ці чинники.

. Неефективна структура іноземних інвестицій в економіку України. Інвестиції в Україну в основному направлені на посередницькі види діяльності: фінансову, банківську, торгівлю, операції з нерухомістю. Все це закріплює сировинну орієнтацію економіки.

У державі мають бути створені умови, має бути правове забезпечення вкладення іноземних інвестицій в основний капітал, а саме в промисловість, сільське господарство, транспорт, зв’язок.