a - коэффициент, демонстрирующий способность работников фирмы увеличивать доход за один период времени (a > 1). Конкуренция и насыщение рынка в данной модели не учитываются;
с - постоянные платежи, не зависящие от n и xn.
На рис.4 отображены результаты расчета нескольких траекторий (xn) по формуле:
n+1 = 1.1 · xn -
0,06 (7)
при изменении n от 0 до 30.
Рис. 4. Динамика популяции в экспоненциальной модели с
отловом.
Стационарная траектория:
![]()
(8)
в модели (4) является критической: падение популяции ниже этой величины влечет ее гибель.
В экономической интерпретации это означает, что существует некоторое критическое значение начального дохода. Если начальный доход фирмы превышает критическое значение, то доход в дальнейшем неограниченно растет. Если же начальный доход меньше критического, то в дальнейшем доход сокращается до нуля.
Формула (8) показывает, что критическое значение дохода зависит от уровня постоянных платежей: при больших платежах критический уровень дохода возрастает до опасно высокого уровня, при малых - фирме требуется небольшой начальный доход, чтобы выжить на рынке. Естественно, формула (8) демонстрирует, что эффективность работы фирмы, символизированная в коэффициенте а, также влияет на величину критической величины доход.
Если начальное значение численности популяции станет хотя бы чуть меньше стационарного значения, то численность резко уменьшается достигая нуля. Т.о., нерасчетливое назначение квоты может иметь катастрофическое значение для популяции. Если начальное значение станет больше стационарного, то в дальнейшем популяция возрастает экспоненциально. Данная модель является неустойчивой
Логистическая модель
Биологические процессы рождения и смерти характерны не только для людей, но и для любых животных. Поэтому вполне естественным шагом является попытка описания демографических моделей с применением хорошо зарекомендовавших себя популяционных моделей, использующихся в биологии [11].
Базовой моделью, описывающей динамику популяции животных, является
логистическая модель, предложенная Ферхюльстом [39]:

(9)
которое можно также представить в виде

(10)
где первая скобка соответствует числу рождений B, а вторая - числу смертей D в формуле (1), а r, K, a1, a2, b - положительные коэффициенты, связанные соотношениями:
= a1 - a2 и ![]()
Логика уравнения (6) такова: рождаемость a1 является постоянной, таким образом, число рождений B = a1N пропорционально численности популяции, естественная смертность a2 также считается постоянной, а квадратичная добавка bN2 в выражении для полной смертности D = a1N+bN2 возникает из-за ограниченности ресурса, не позволяющей популяции бесконечно расти. Коэффициент b называют коэффициентом внутривидовой конкуренции [18].
В итоге, динамика популяции, описываемой логистическим уравнением, имеет следующий вид. Вначале, когда численность животных мала, наблюдается экспоненциальный рост с показателем r = a1 - a2. Затем, по мере заполнения экологической ниши, рост замедляется и, в конечном счете, численность популяции выходит на постоянный уровень K.
Значение параметра K, называемого емкостью экологической ниши популяции, принципиально. Эта величина определяет равновесное состояние в динамике популяции при заданных ресурсных ограничениях и определяет пределы ее роста. Емкость экологической ниши популяции, определяется ограниченностью пищевых ресурсов, мест для гнездования, многими другими факторами.
Таким образом, емкость экологической ниши представляет собой системный фактор, который определяет ограниченность роста популяции в данном ареале обитания.
Таким образом, логистическая модель отражает динамику популяций, численность которой при любых начальных условиях приближается к некоторой стационарной величине.
Если численность популяции отклонилась от стационарного значения, то логистическая модель через некоторое время возвращает ее к стационарному значению. Это свойство называется устойчивостью как стационарного значения, так и системы в целом.
Уравнение (6) можно переписать в виде:
![]()
, (11)
где s - коэффициент внутривидовой конкуренции.
Аналитическое решение данного уравнения имеет вид:
Эта формула описывает кинетическую кривую, то есть зависимость численности популяции от времени. Ход кинетических кривых для разных начальных условий представлен на рис.5.
В случае, если начальная численность
меньше половины максимальной, кривая x (t) имеет точку перегиба с координатами:
Ордината точки перегиба представляет собой половину максимальной численности, а абсцисса зависит как от емкости популяции K, так и от константы собственной скорости роста r, чем выше генетические возможности популяции, тем скорее наступает перегиб на кривой численности.
Примеры экспериментально наблюдаемой динамики популяций, развивающихся по логистическому закону, приведены на рис.5, при малых начальных численностях он имеет S-образный характер.
При изучении более сложных систем мы не будем искать решение для N (t) в явном виде, а ограничимся исследованием устойчивости их стационарных состояний. Проведем такое исследование и для логистического уравнения.
Легко видеть, что уравнение стационарных
состояний f (N`) = 0 в данном случае имеет два корня:
N1 = 0, N2 = K
Посмотрим, будут ли эти корни устойчивыми.
Для этого вначале воспользуемся аналитическим методом Ляпунова. Введем новую
переменную x, обозначающую отклонение переменной х от ее стационарного
значения:
= N - N`
Запишем линеаризованное уравнение для (4):
dn /dt = a n,
где Напомним, что знак величины Подставив в выражение (12) значение первого корня Разность между двумя кривыми (число рожденных минус число
погибших) представляет собой число особей, на которое изменяется численность
популяции в течение какой-либо стадии развития или за какой-нибудь промежуток
времени.
Пополнение популяции невелико при самых низких значениях
плотности, возрастает по мере ее увеличения, снова снижается при достижении
предельной плотности насыщения и становится отрицательным (смертность превышает
рождаемость), когда начальная плотность превышает К.
Логистическая модель с отловом
Данная модель учитывает конкуренцию и предполагает регулярный
отлов. Модель определяется формулой:
Экономическая интерпретация модели (13) также синтезирует
экономические легенды двух предыдущих моделей: она описывает поведение фирмы
или группы фирм в условиях возможного насыщения рынка и при наличии постоянных
платежей, не зависящих от времени, дохода или капитала фирм.
На рис. 5 отображены результаты расчета нескольких траекторий (xn)
по формуле:
n+1 = (1,1 - 0,1 · xn) · xn - 0,02. (14)
при изменении n от 0 до 40.
На рисунке два стационарных состояния. Одно стационарное состояние
устойчиво, к нему притягиваются близкие траектории. Другое стационарное
состояние неустойчиво, близкие к нему траектории отталкиваются от него.
В этой модели небольшой перелов не приводит к катастрофе, поэтому
это есть модель с умеренным отловом.
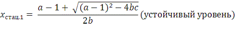
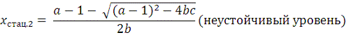
Для определения двух стационарных значений численности популяции
полагаем Имеется один устойчивый стационарный уровень (х = 0,72360) и один
неустойчивый (х =0,27639). Каждая траектория с начальным условием x0 >
0,2764 с течением времени приближается к устойчивому стационарному уровню.
Любое начальное условие x0 < 0,2763 ведет к гибели популяции.
Рис. 5. Траектория логистической модели с умеренным отловом (14).
Модель (13) при малых значениях квоты имеет два стационарных
состояния:
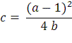
Если в этих формулах положить:
то корни xстац1 и x стац2
сольются.
Некоторые траектории модели (13) в этом критическом случае
изображены на рис. 10. Здесь a = 1,1; b = 0,1; c = 0,025.
Квота отлова c здесь достигла наибольшего уровня, при котором еще теоретически
возможно длительное выживание популяции. Но академик В.И. Арнольд назвал эту
ситуацию так: "оптимизация как путь к катастрофе".
Действительно, как показано на рисунке 6, если численность
популяции оказалась выше единственного стационарного уровня, то теоретически
она и остается выше него сколь угодно долго. Но если в силу какого-либо
"внемодельного" фактора (замора рыбы, очень холодной зимы в лесу,
браконьерства) численность популяции окажется чуть ниже стационарного уровня,
то, как видно на рис.6, популяция гибнет.
Рис. 6. Траектории логистической модели (13) при a =1,1; b
=0,1; c = 0,025. Критический случай. "Оптимизация как путь к
катастрофе".
И, наконец, если значение квоты вылова c станет больше
критического уровня, когда выполняется неравенство:
популяцию ждет гибель при любых начальных условиях.
Это следует из того, что при условии (15) уравнение для поиска
стационарных значений модели (13) имеет отрицательный дискриминант и поэтому не
имеет действительных корней. Ситуация переловаиллюстрируется рисунком 7,
на котором показаны некоторые траектории модели:
x n+1
= (1,1 - 0,1 · xn) · xn - 0,03 (11)
Рис. 7. Траектории логистической модели (7) при a =1,1; b = 0,1; c
= 0,03.
Перелов. При любых начальных условиях популяция гибнет.
То, что в модели динамики популяции мы назвали переловом, в
экономической интерпретации может означать разорение субъекта хозяйствования
под бременем постоянных платежей c, не соразмерных с его динамичностью и с
жесткостью условий рынка, которые характеризуются в формуле (13) коэффициентами
a и b соответственно. Это разорение является универсальным явлением: лучшие
начальные условия только замедляют, но не отменяют его.
Рассмотрим дискретные модели некоторых социальных явлений:
модели динамики популяций, в том числе модель "хищник - жертва",
модель военных конфликтов и другие. Новизна изложения в том, что
рассматриваются дискретные варианты моделей, которые ранее исследовались на
языке дифференциальных уравнений. Это помогает усвоить основные понятия
математических моделей лицам с невысокой математической подготовкой и поэтому
целесообразно рассматривать дискретные математические модели. В общем не
происходит практически никаких концептуальных потерь при переходе от
дифференциальных уравнений к дискретным. В дискретном варианте достаточно ясны
такие понятия, как начальные условия, траектории системы, стационарные
траектории, устойчивость и неустойчивость, сепаратрисы, оптимальные решения.
Пусть численности армий двух противоборствующих сторон на
некотором n-ом шаге военного конфликта равны xn и yn.
На следующем шаге (через год, неделю, день) армии уменьшаются. Рассмотрим
грубую схему, в которой за один шаг каждый воин армии x убивает в
среднем a
воинов армии y, а каждый воин армии y убивает в среднем b воинов армии x.
Таким образом, на n-ом шаге армия x теряет b · yn
воинов, армия y теряет a · xn воинов. Величины a и b характеризуют
вооруженность сторон. Так мы получаем модель
xn+1 = xn - b · yn
yn+1 = yn - a · xn.
(17)
Вначале численности армий x и y равны x0
и y0 соответственно.
Пара (x0, y0) называется начальным
условием.
Совокупность точек (xn, yn) назовем траекторией
конфликта. Конфликт заканчивается, когда либо xn n+1 = xn - 0,1· ynn+1 = yn
- 0,05 · xn. (18)
Картина траекторий этой системы указана на рис.8. Мы видим,
что существует единственная прямолинейная траектория, заканчивающаяся
"вничью": она стремится к точке (0,0), символизирующей полное
взаимное истребление армий. Конфликт, начавшийся в одной из этих точек прямой,
теоретически будет длиться бесконечно. Упомянутая прямая - сепаратриса
(разделяющая).
Рис. 8. Траектория в модели военных конфликтов, определенной
системой (17).
При любых начальных условиях под сепаратрисой (линия сепаратрисы
проведена красной линией) конфликт завершается победой армии x;
начальные условия над сепаратрисой гарантируют победу армии y.
Найдем сепаратрису траекторий модели (17). Для того, чтобы точка (xn,
yn) лежала на сепаратрисе, требуется, чтобы выполнялось
равенство:
Отсюда,
Получаем условие победы армии y:
Этот результат можно трактовать так:
Если вооруженность армии y в n раз больше
вооруженности армии x, то для достижения равновесия численность армии x
должна быть в Модель мобилизации
Модель мобилизации описывает динамику изменения численности
организации, вербующей себе сторонников: политических партий или движений,
религиозных групп и т.п. Пусть к началу n-ого периода существования
организации доля ее сторонников в населении равна xn. Тогда к
началу (n+1) - го периода:
. некоторая доля неохваченного населения примкнет к организации
вследствие агитации. Доля неохваченного населения равна (1-xn); доля
примкнувших равна · (1 - xn), где называется
коэффициентом агитируемости. Величина находится в интервале от
0 до 1.
. некоторая доля сторонников отойдет от организации (умрет,
разочаруется, будет исключена). Доля отошедших равна g· (1 - xn).
Числоg называется коэффициентом выбытия. Величина gнаходится в
интервале от 0 до 1.
Таким образом, доля членов организации в начале (n+1) - го
периода определится формулой
n+1
= xn + ¦ · (1-xn)
- g · xn,
илиn+1 = (1 - ¦ - g) · xn + ¦. (19)
Стационарное значение x величины xn, удовлетворяющее
уравнению (19), определяется формулой:
Ввиду неравенств 0 < ¦ < 1, 0 < g < 1 величина коэффициента
(1 - ¦ - g) в
уравнении (19) находится в интервале от (-1) до 1. В этих обстоятельствах при
любых начальных условиях величина xn приближается к
стационарному значению с ростом n. Но если ¦ + g < 1, то xn приближается к
стационарному значению монотонно; если ¦ + g > 1, то приближение идет с колебаниями.
На рис. 9 показаны траектории системы вида (19) при коэффициенте
агитируемости ¦, равном 0,04 и
коэффициенте выбытия g, равном 0,09. Таким образом, рис.9 иллюстрирует динамику
траекторий уравнения
n+1 = 0,09 · xn + 0,04. (20)
На рис.10 показан вариант колебательного приближения величины xn
к своему стационарному значению. Для удобства мы построили только одну
колебательную траекторию.
Здесь коэффициент агитируемости равен 0,6 и коэффициент
выбытия g равен 0,9. Таким образом, рис.12 иллюстрирует динамику одной из
траекторий уравнения
n+1 = 0,9 · xn + 0,6. (21)
Рисунки 9 и 10 демонстрируют устойчивость стационарной величины в
модели и устойчивость модели мобилизации в целом.
Рис. 9. Модель мобилизации (20). Вариант монотонного приближения к
стационарному значению.
Экономически интерпретация модели мобилизации (уравнения (19))
может быть, например, такой: доходы xn+1 в (n + 1) - м году
некоторого лица поступают из двух источников. Первый источник - величина (1 - f
- g) *xn - часть доходов прошлого года (возможно, весь доход
прошлого года за вычетом налогов). Второй источник - величина ¦ - постоянные поступления, не зависящие от
доходов прошлого года (возможно, пенсия или доходы от ценных бумаг).
Рис. 10. Модель мобилизации (21). Вариант колебательного
приближения к стационарному значению.
Анализ показывает, что ежегодные доходы в модели со временем
приближаются к некоторой величине, не зависящей от начальных условий.
"Задача Иосифа Флавия".
Это известная математическая задача с историческим подтекстом.
Существует легенда, что Иосиф Флавий - известный историк первого
века - выжил и стал известным благодаря математической одаренности. В ходе
иудейской войны он в составе отряда из 41 иудейского воина был загнан римлянами
в пещеру. Предпочитая самоубийство плену, воины решили выстроиться в круг и
последовательно убивать каждого третьего из живых до тех пор, пока не останется
ни одного человека. Однако Иосиф вместе с одним из своих единомышленников счел
подобный конец бессмысленным. Он быстро вычислил спасительные места в порочном
круге, на которые поставил себя и своего товарища [24]. Задача заключается в
том, чтобы определить номера уцелевших воинов.
Сформулируем задачу на математическом языке для произвольного n.
Натуральные числа от 1 до n записаны в круг. Начиная с 1, вычеркивается
каждое третье число. Процесс продолжается так долго, пока не останется два не
вычеркнутых числа.
Эту задачу также можно решить, используя рекуррентное соотношение.
Однако можно использовать встроенную функциюСКМ Mathematica 10. Список,
вычеркнутых чисел, может быть получен с помощью функции Josephus [n, m],
реализованной в пакете расширения Combinatorica СКМ Mathematica. Данный пакет
включает в себя функции для построения графов и других комбинаторных объектов,
а также функции для работы с ними. Для использования функции Josephus [n,
m], где n - общее количество чисел, а m-е число - номер
вычеркивающего числа, сначала необходимо загрузить пакет Combinatorica с
помощью Needs ["Combinatorica`"] (рис. 11).
Рис.11. Вычисление функции Josephus [41, 3]
В результате вычисления функции Josephus [41, 3] формируется
список, который показывает, в каком порядке вычеркиваются числа, начиная с 1.
Так, единица будет вычеркиваться на 14-м шаге, двойка - на 36-м, тройка - на
1-м, четверка - на 38-м и так далее.
Обратная перестановка покажет последовательность вычеркнутых
чисел. Последние два числа в списке - искомые числа (рис.12).
Рис.12. Последовательность вычеркнутых чисел
Представим данное решение более наглядным. Для отображения
порядковых номеров чисел используем функцию EmptyGraph [n] которая
строит пустой граф с n вершинами (рис.13).
Рис.13. Формирование пустого графа
Для визуализации последовательности вычеркивания чисел используем
модуль манипуляций Manipulate (рис.14). Данный модуль позволяет создавать
различные интерактивные средства.
Рис.14. Реализация визуализации решения
Используя данное интерактивное средство, можно узнать для кажого
чила, на каком шаге оно будет вычеркнуто.
Теория игр первоначально и рассматривала
экономические модели вплоть до 1950-х она оставалась формальной теорией в
рамках математики. Но уже с 1950-х гг. начинаются попытки применить методы
теории игр не только в экономике, но в биологии, кибернетике, технике,
антропологии, социологии. Во время Второй мировой войны и сразу после нее
теорией игр серьезно заинтересовались военные, которые увидели в ней мощный
аппарат для исследования стратегических решений.
Большим вкладом в применение теории игр
стала работа Томаса Шеллинга, нобелевского лауреата по экономике 2005 г.
"Стратегия конфликта".Т. Шеллинг рассматривает различные
"стратегии" поведения участников конфликта. Эти стратегии совпадают с
тактиками управления конфликтами и принципами анализа конфликтов в
конфликтологии и в управлении конфликтами в организации.
Основные понятиями теории игр.
Математическая модель конфликтной ситуации называется игрой, стороны,
участвующие в конфликте - игроками.
Выбор и осуществление одного из
предусмотренных правилами действий называется ходом игрока. Периоды, в
течение которых игроки делают свои ходы, называются этапами игры.
Выбранные на каждом этапе ходы в конечном счете определяют "платежи"
(выигрыш или убыток) каждого игрока, которые могут выражаться в
материальных ценностях или деньгах. Еще одним понятием данной теории является
стратегия игрока. Стратегией игрока называется совокупность правил,
определяющих выбор его действия при каждом личном ходе в зависимости от
сложившейся ситуации. Обычно в процессе игры при каждом личном ходе игрок делает
выбор в зависимости от конкретной ситуации. Однако в принципе возможно, что все
решения приняты игроком заранее (в ответ на любую сложившуюся ситуацию). Это
означает, что игрок выбрал определённую стратегию, которая может быть задана в
виде списка правил или программы. (Так можно осуществить игру с помощью ЭВМ).
Иначе говоря, под стратегией понимаются возможные действия, позволяющие игроку
на каждом этапе игры выбирать из определенного количества альтернативных
вариантов такой ход, который представляется ему "лучшим ответом" на
действия других игроков. Оптимальные стратегии должны также удовлетворять
условию устойчивости, т.е. любому из игроков должно быть невыгодно
отказаться от своей стратегии в этой игре. Если игра повторяется достаточно
много раз, то игроков может интересовать не выигрыш и проигрыш в каждой
конкретной партии, а средний выигрыш (проигрыш) во всех партиях. Целью
теории игр является определение оптимальной стратегии для каждого игрока. При
выборе оптимальной стратегии естественно предполагать, что оба игрока ведут
себя разумно с точки зрения своих интересов.
Рассмотрим задачу, которая введет нас в систему понятий
теории игр и принятия решений.
Постановка задачи: Корпорация "Атлант" выделяет
определенную сумму денег на закупку оборудования для работы в следующем году.
Выбор таков: она может закупить оборудование для производства военного
снаряжения или оборудование для переработки сельхоз продукции.
Эксперты корпорации написали следующий отчет:
"Многое зависит от развития конфликта с соседней страной
Марфией. Мы не знаем, перейдет ли он в войну. Мы не можем даже оценить
вероятность перехода конфликта в фазу военных действий. Но мы оценили
эффективность инвестиций в каждом из двух возможных политических сценариев:
) В случае войны каждый рубль, вложенный в
производство военного снаряжения, даст примерно 5 рублей прибыли; каждый руль,
вложенный в переработку сельхозпродукции, даст 1 рубль прибыли.
2) В случае отсутствия военных действий каждый рубль,
вложенный в производство военного снаряжения, даст 1 рубль убытка; каждый руль,
вложенный в переработку сельхозпродукции, даст 3 рубля прибыли. "
Руководство корпорации должно решить, как получить наибольшую
гарантированную прибыль.
Сразу скажем. Что нет единственно правильного решения для
руководства в условиях поставленной задачи. Можно дать только некоторый анализ
ситуации, которую в математике принято называть игрой.
Представим доступную нам информацию в виде платежной матрицы
(таблицы) игры (рис.15).
война мир
Стратегия №1: инвестиции в военную отрасль
Стратегия №2: инвестиции в сельское хозяйство
Рис. 15. Платежная матрица игры
Число в - й строке и в Руководство корпорации вольно решать, будет ли корпорация
применять чистые стратегии, то есть все средства вкладывать в одну из отраслей,
или смешанные стратегии, при которых часть средств направляется в одну отрасль,
оставшаяся - в другую.
Чистые стратегии. Выбрав - ю стратегию (1 Если руководство ищет наибольший гарантированный выигрыш, то ему
следует выбрать ту из стратегий, такое значение В некотором смысле окончательным решением поставленной задачи
служит вывод: наибольший гарантированный выигрыш при применении чистых
стратегий рамен 1 и достигается при стратегии №2. Этот выигрыш называют
максимином, а указанную стратегию - максиминной стратегией.
Но это не значит, что корпорации следует непременно применять
стратегию №2 (и что в подобных ситуациях на практике именно она выбирается).
Если руководство склонно к риску или имеет основания ожидать военного варианта
конфликта с соседями. То она может выбрать стратегию №1, с возможностью
заработать в случае успеха значительно больше максимина (пять рублей прибыли на
рубль вложений), но и с опасностью получить значительно меньше максимина (рубль
убытков на рубль вложений).
Смешанная стратегия. Теперь рассмотрим более изощренный вариант. Корпорация решила
некоторую часть Чистые стратегии являются крайними частными случаями смешанной.
Полагая в смешанной стратегии Затем рассмотрим мирный вариант. В этом варианте прибыль На рисунке 16 указаны графики двух функций Рис. 16. Зависимость прибылей При изменении График Эта задача на максимин решается просто: самая высокая точка на
графике функции Чтобы найти значение Получаем Вывод таков: наибольшую прибыль, равную двум рублям на рубль
инвестиций, корпорация получит, если четверть средств инвестирует в военную
отрасль и три четверти - в сельское хозяйство.
Впрочем, и здесь готовность к риску или интуитивное понимание
политических перспектив могут сместить оценку в ту или иную сторону.
В нашей задаче был один активный игрок (корпорация) и один
"пассивный" - государство. Государство выбирает военную или мирную
стратегию в конфликте с соседями, но в легенде предыдущей задачи государство не
заинтересовано ни в выигрыше, ни в проигрыше корпорации.
Есть и другой тип игр, в которых явно участвуют два игрока с
противоположными интересами (например, два конкурента на рынке с ограниченным
спросом). Такая игра с нулевой суммой также задается платежной матрицей
(таблицей), и методика поиска оптимальных стратегий в таких играх схожа с
рассмотренной выше.
Социологическое исследование - это надежный способ познания
социальной реальности, позволяющий постичь сущность тех или иных явлений и
процессов. Оно дает возможность специалисту в любой области учесть социальные
последствия определенных действий, повысить эффективность деятельности,
уменьшить возможность и последствия ошибок.
Проблемы социальных наук, биологии, экологии часто
оказываются чрезвычайно сложными, они описываются большим числом трудно
определяемых переменных, взаимосвязи между которыми нелегко установить. Нередко
для возможности решения таких задач, приходится делать довольно сильные упрощающие
допущения. Если эти допущения формулируются в математических терминах, то
удается избежать многих двусмысленностей естественного языка и воспользоваться
мощью математических рассуждений.
В работе описаны дискретные модели некоторых социальных
явлений: модели динамики популяций, в том числе модель
"хищник-жертва", модель военных конфликтов и другие, рассматриваются
дискретные варианты моделей, которые ранее исследовались на языке
дифференциальных уравнений. Это помогает усвоить основные понятия математических
моделей без производных и интегралов. Дискретные математические методы
достаточно ясно раскрывают такие понятия, как начальные условия, траектория
системы, стационарные траектории, устойчивость и неустойчивость, сепаратрисы,
оптимальные решения.
Решены задачи теории игр и принятия решения - раздела,
изучающего различные ситуации сделок, относящихся, например, к
землепользованию, созданию угрожающего положения, проблеме очистки воды, а
также к ряду ситуаций голосования, рассмотрения различных групп, члены которых
осуществляют сделку, к группам, пытающимся прийти к совместному решению.
В работу не включены такие методы как графы и задачи
линейного программирования, которые также хорошо подходят для исследования
социологических процессов.
Система компьютерной математики (CKM) Mathematica 10
поддерживает числа любой точности, причем для внутренних расчетов часто в целях
повышения качества результата используются еще более точные значения. Для
повышения точности вычисления среда использует символьные вычисления, т.е.
пытается упростить или преобразовать выражение, и лишь затем производит
численный расчет. В CKM Mathematica 10 решена задача "Иосифа Флавия",
для построения графиков функций в работе использовались также MicrosoftWord,
СКМ Mathcad, Excel.
1. Альберт
М., Мескон М., Хедоури Ф. Основы менеджмента. - М.: Дело. 2012. С.376-385.
2. Арнольд
В.И. "Жесткие" и "мягкие" модели. Доклад на
научно-практическом семинаре. Аналитика в государственных учреждениях. М. 2009
. Батыгин
Г.С. Лекции по методологии социологических исследований: учеб. для вузов. М.:
Аспект-Пресс, 2009.286 с.
. Бутенко
И.А. Организация прикладного социологического исследования. М.: Тривола,
2014.423 с.
. Власова
М. л. Социологические методы в маркетинговых исследованиях: учеб. пособие для
вузов. М.: Изд. дом ГУВШЭ, 2006.710 с.
. Вольтерра
В. Математическая теория борьбы за существование.М. 2011.
. Горшков
М. к., Шереги Ф.Э. Прикладная социология: учеб. пособие для вузов. М.: Центр
социального прогнозирования, 2013.312 с.
. Девятко
и.Ф. Методы социологического исследования. М.: КДУ, 2013.296 с.
. Добреньков
В.И., Кравченко А.И. Методы социологического исследования: учеб. М.: ИНФРА-М,
2006.768 с.
. Ильин
В.И. Драматургия качественного полевого исследования. СПб.: Интерсоцис,
2006.256 с.
. Квале
С. исследовательское интервью. М.: смысл, 2013.301 с.
. Кипнис
М.М. Модели социальных явлений в коротком курсе математики. Челябинск, ЮУрГУ,
2009.
. Крюгер
Р., Кейси М.С. Фокус-группы: практ. руководство. М.: Изд. дом
"Вильямс", 2012.
. Малхорта
Нэреш К. Маркетинговые исследования: практ. руководство / пер. с англ. М.: Изд.
дом "Вильямc", 2012.960 c.
. Моосмюллер
Г., Ребик Н.Н. Маркетинговые исследования с SPSS: учеб. пособие. М.: ИНФРА-М,
2009.160 с.
. Новиков
Д.А. "Статистические методы в педагогических исследованиях (типовые
случаи)". М.: МЗ-Пресс, 2014. - 67 с.
. Ноэль-Нойман
Э. Общественное мнение. Открытие спирали молчания / пер. с нем.; общ. ред. и
предисл.Н.С. Мансурова. М.: Прогресс-Академия; Весь Мир, 2006.352 с.
. Плотинский
Ю.М. Модели социальных процессов: учеб. пособие для высших учеб. заведений. M.:
Логос, 2001.296 с.
. Плотинский
Ю.М. Математическое моделирование динамики социальных процессов.М., Изд-во МГУ.
2012.
. Робертс
Ф.С. Дискретные математические модели с приложениями к социальным и
экологическим задачам.М. 2011.
. Рогозин
Д.М. Когнитивный анализ опросного инструмента. М., 2012.
. Рой
О.М. Исследования социально-экономических и политических процессов: учеб. для
вузов. СПб.: Питер, 2014.364 с.
. Татарова
Г.Г. Методология анализа данных в социологии (введение): учеб. для вузов. М.:
NOTA BENE, 2009.224 с.
. Толстова
Ю.Н. Анализ социологических данных: Методология, дескриптивная статистика,
изучение связей между номинальными признаками. М.: Научный мир, 2010.352 с.
. Троцук
И.В. Качественное социологическое исследование: предпосылки и логика
проведения: конспект лекций. М.: Изд-во РУДН, 2010.178 с.
. Ядов
В.А. Стратегия социологического исследования: описание, объяснение, понимание
социальной реальности / В.А. Ядов, В.В. Се - менова.6-е изд. М.: Академкнига:
Добросвет, 2013.596 с.
27. http://mzpress.
narod.ru <http://mzpress.narod.ru/>
. http://parlamentchr.ru/legislation
. http://www.mtas.ru/uploads/stat.
zip <http://www.mtas.ru/uploads/stat.zip>
. http://www.myshared.ru.
. <http://www.socioguru.ru/sgurus-776-1.html>
![]()
![]()
определяет устойчивость соответствующей особой точки![]()
:
(12)
![]()
=0 мы получим ![]()
Будем считать, что величина r - коэффициент естественной
скорости роста популяции положительная![]()
= 0; - неустойчивая особая точка. Если же мы подставим в
выражение (12) ![]()
: =K, то получим![]()
- отрицательную величину. Это дает нам право утверждать, что
стационарное решение уравнения ![]()
: = K соответствует устойчивому стационарному режиму
существования популяции в ограниченной среде. Проведем теперь исследование
устойчивости стационарных решений этого уравнения, исходя из графика функции
правой части. При переходе от отрицательных к положительным значениям х в точке![]()
= 0 функция f (n) меняет знак с минуса на плюс, т.е. особая точка
неустойчива. Наоборот, в точке![]()
= К имеет место изменение знака f (n) с ростом x с плюса на
минус, следовательно, эта особая точка устойчивая. Несмотря на схематичность
положенных в ее основу представлений, логистическая кривая оказалась очень
хорошим приближением для описания кривых роста численности многих популяций. В
природе внутривидовая конкуренция не удерживает естественные популяции на
строго неизменном уровне, но действует в широком диапазоне начальных значений
плотности и приводит их к гораздо более узкому диапазону конечных значений,
определяя, таким образом, тенденцию к поддержанию плотности в определенных
пределах.
(13)
и получаем уравнение:
.
![]()
(15)
2.2 Модель
военных конфликтов
0, ноyn
> 0 (победа армии y), либо yn
0, но xn
>0 (победа армии x). Рассмотрим модель, в которой вооруженность армии
y вдвое больше вооруженности армии x: в формулах (17) положим α = 0,05; β = 0,1. Получим модель:
![]()
что равносильно![]()
откуда 
.

.
раз больше численности армии y.
2.3 Некоторые
понятия теории игр и теории принятия решения
![]()
-м столбце (1≤![]()
) матрицы обозначим посредством ![]()
. В нашем случае ![]()
11 = 5, ![]()
12 = - 1, ![]()
21 = 1, ![]()
22 = 3.
Причем номер строки в матрице есть номер выбранной стратегии, а столбец -
возможная ситуация (война или мир).
![]()
), корпорация в худшем случае получит прибыль на рубль вложений,
равную ![]()
. В нашем случае ![]()
.
![]()
при котором этот минимум является наибольшим. При котором
достигается![]()
. В нашей игре это стратегия №2. Выигрыш корпорации в этом случае
равен:
![]()
средств (![]()
1) направить в военную отрасль, а остальные средства (долю, равную
(1-![]()
)) направить в сельское хозяйство. Это называется смешанной
стратегией. Вопрос ставится так: как выбрать значение ![]()
чтобы гарантированный выигрыш был наибольшим.
![]()
, получим первую чистую стратегию. Полагая ![]()
, получим чистую вторую. Решая задачу максимизации гарантированной
прибыли, мы полагаем, что и в смешанной стратегии имеют место прибыли на каждый
рубль инвестиций, указанные платежной матрицей на рис 15. Вначале полагаем, что
нас ждет военный вариант развития конфликта. Вычислим ![]()
на каждый рубль инвестиций как функцию от![]()
. Она равна
![]()
на каждый рубль инвестиций такова:
![]()
при значениях ![]()
, меняющихся от 0 до 1.
![]()
корпорации от доли ![]()
инвестиций в военную отрасль.
![]()
от 0 до 1 гарантированный выигрыш ![]()
определятся формулой:
![]()
показан на рис. 17 жирной ломанной линией. Задача руководства
корпорации - найти максимум гарантированного выигрыша, то есть найти:
![]()
и есть требуемый максимин.
![]()
, при котором он достигается, решим уравнение:
![]()
, при этом ![]()
.
Заключение
Список
литературы