Материал: Дискретные методы исследования социальных процессов

Внимание! Если размещение файла нарушает Ваши авторские права, то обязательно сообщите нам

Дискретные методы исследования социальных процессов

Оглавление

Введение

Глава 1. Теоретические аспекты использования дискретных методов в исследованиях социологических процессах

1.1 Сущность, специфика социологического исследования

1.2 Математическое моделирование социологических исследований

1.3 Система компьютерной математики Mathematica 10 в исследованиях социологических процессов

Глава 2. Математические модели в социологических исследованиях

2.1 Модели демографических процессов

2.2 Модель военных конфликтов

2.3 Некоторые понятия теории игр и теории принятия решения

Заключение

Список литературы

Введение


Социологическое исследование - это система логически последовательных методологических, методических и организационно-технических процедур, связанных между собой единой целью: получить достоверные знания (данные) об изучаемом явлении или процессе, о тенденциях или противоречиях в их развитии.

Главной целью социологических исследований является выработка новых теоретических знаний и/или получение новых эмпирических фактов и их использование в практике управления различными сферами общественной жизнедеятельности. Достижение цели исследования обеспечивается четко разработанной и реализованной структурой процесса исследования, методологической и технико-методической обеспеченностью.

Важным критерием выделения типа исследования является дискретность процесса исследования, поскольку, например, мониторинговое исследование, целью которого является отслеживание и анализ происходящих в обществе, в объектах исследования изменений, проводятся через определенные промежутки времени.

Дискретные методы математики наиболее уместны для решения проблем экологии, биологии, социальных наук, поскольку они имеют дело с конечными множествами: альтернативные схемы скоростных транспортных систем, результаты опроса различных социальных групп, демографическая статистика, число домов, число рабочих и т.д. Дискретное множество может состоять и не из целых чисел, однако обычно мы не допускаем бесконечно малые различия между его элементами. Например, количество денег, затраченных на данный проект, можно измерять в миллионах долларов, сотнях долларов, даже в сотых доллара (т.е. в центах), но у вас нет более мелкой единицы измерения, чем эта (хотя иногда приемлемо допущение, что такая единица имеется). Иногда рассматриваемые проблемы связаны с ситуациями, изменения в которых происходят или регистрируются только в дискретные моменты времени, например, каждый час или каждый год. Статистические данные о безработице, используемые для многих целей, сообщаются раз в месяц. Проблемам социологических исследований в наибольшей степени соответствует математика конечных, или дискретных, множеств, или же множеств, изменяющихся только в дискретные моменты времени.

Заметим, что многие разделы и методы математики, в силу внутренних причин, проявляют свою значимость в прикладных областях. Например - булева алгебра, которая была использована в вычислительной технике более чем через пятьдесят лет после своего создания. В ней предполагается, что сложные сообщения можно закодировать при помощи двух контактных реле. Простейший поток заявок, например, является математическим представлением некоторого "идеального" потока, обладающего рядом замечательных свойств, благодаря которым для многих математических моделей удаётся получить достаточно простые зависимости, связывающие характеристики функционирования систем массового обслуживания с исходными параметрами, которые относятся к классу дискретных систем.

Одна и та же математическая модель может отображать функционирование совершенно разных по своей природе реальных систем, описываемых с помощью различных структурно-функциональных и нагрузочных параметров, состав и перечень которых определяются соответствующей прикладной областью.

Цель данного исследования - изучение методов и моделей исследования социальных процессов.

В ходе достижения поставленной цели были решены следующие задачи:

ü  изучены основные методы сбора и обработки социологической информации;

ü  проведен анализ математических моделей социологических процессов;

ü  рассмотрены методы исследования социологических процессов;

ü  решены задачи в системе компьютерной математики Mathematica 10 и Excel.

Глава 1. Теоретические аспекты использования дискретных методов в исследованиях социологических процессах


1.1 Сущность, специфика социологического исследования


Человеческое общество - это сложная неравновесная развивающаяся система. Сложность, многофакторность и противоречивость социальной эволюции приводят исследователей к закономерному выводу о том, что любое упрощение, редукция, упущение из виду всего многообразия факторов неизбежно ведет к неверному пониманию изучаемых процессов. Возможно ли описать его развитие какими-либо достаточно простыми законами? Современные достижения в области математического моделирования дают однозначный ответ: "Можно".

Социологическое исследование (наравне с этим термином используется так же термин социологическое обследование) - это системное изучение социальных процессов и явлений, характеризующееся: всесторонним сущностным анализом предмета исследования; эмпирическим способом получения данных об изучаемом явлении, процессе; статистической обработкой данных об единичных проявлениях социальной реальности. Это система теоретических и эмпирических методов обследования социальной реальности с использованием методов статистической обработки данных.

При проведении социологического исследования пользуются как общенаучными методами, так и специфическими.

Социологические исследования бывают:

ü  теоретическими (то есть основанные на применении и апробировании определенных социологических теорий) и эмпирическими (то есть основанные на сборе и обработке данных об объективной реальности, завершающиеся, как правило, теоретическим осмысливанием);

дискретное исследование социальный процесс

ü  фундаментальными (ориентированными на выявление универсальных связей и отношений) и прикладными (ориентированными на решение узкого круга практических проблем);

ü  сплошными (когда обследуется вся генеральная совокупность [1]  <#"869750.files/image001.gif">

Эта формула называется биноминальным законом распределения Бернулли. Биноминальное распределение при соответствующих условиях и достаточно больших значениях n можно заменить подходящим нормальным распределением.

Под вероятностью события в статистическом смысле понимается почти достоверный предел его относительной частоты (частности) при неограниченно растущем числе испытаний:

; #"869750.files/image004.gif">

Абсолютная погрешность не характеризует точности измерения. Например, при измерении длины стола в 2 м и длины дороги в 200 км допущена абсолютная погрешность D1= D2=0.1 м.  [6]  <#"869750.files/image005.gif">

Следовательно, чтобы определить объем выборочной совокупности необходимо провести оценивание возможного эмпирического распределения, то есть извлечь из данных наилучшее статистическое приближение для неизвестных значений параметров, отвечающих наблюдениям, а также объективную меру этого распределения.  [8]  <#"869750.files/image006.gif">

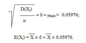
Для обработки эмпирических данных необходимо определить, доверительный интервал для математического ожидания эмпирической функции распределения, используя при этом второй метод оценивания, предварительно вычислив предельную ошибку выборочной средней для максимально возможной дисперсии D (Xi) = d2= 0.25:


Таким образом, что бы выводы исследования можно было распространить на исследуемую совокупность, ее объем должен быть в соответствии закону больших чисел не менее 70 обследуемых для коэффициента доверия, равного 0.9. Обосновав логико-математически требуемое количество респондентов в выборочной совокупности, необходимо определить логико-структурный состав выборки, то есть определить в ней представительство конкретных людей количественно и качественно.

Выборка это процесс формирования выборочной совокупности путем отбора единиц наблюдения.

Единицы наблюдения включают в себя:

элементы выборочной совокупности (например, респонденты), подлежащие изучению, это единицы анализа;

элементы (поселения, предприятия, группы респондентов), отбираемые на каждом этапе выборки по особому плану, это единицы отбора.

Выборочная совокупность это часть генеральной совокупности, отражающая основные с точки зрения целей исследования свойства, признаки генеральной совокупности.

Свойство выборочной совокупности воспроизводства характеристик генеральной совокупности называется репрезентативностью. Ее критерии: статистический - отражение при расчете объема выборки в выборочной совокупности параметров генеральной с заданной погрешностью; ресурсно-экономический - экономичность исследования (оценка кадрового обеспечения, стоимости, временных затрат и т.д.); аналитический - ограничения на объем выборки, накладываемые задачами последующего анализа.

Генеральная совокупность это общность людей или социальный объект, на который распространяются выводы исследования.

Выборка бывает одноступенчатая (на первой ступени объекты репрезентации совпадают с единицами наблюдения) и многоступенчатая (отбор на первой ступени объектов репрезентации, на последующих единиц наблюдения).

Случайным называется отбор, при котором каждая единица генеральной совокупности имеет равную или почти равную вероятность попадания в выборочную совокупность. Случайные отборы бывают:

Вероятностный отбор - при котором каждая единица генеральной совокупности сохраняет равную возможность на протяжении всего процесса отбора быть отобранной в выборочную совокупность (повторный отбор) или вероятность попадания возрастает, так как отобранная единица не участвует в отборе далее (бесповторный отбор). Основное требование - достаточно большой объем выборочной совокупности;

Систематический отбор это случайный отбор, при котором первая единица наблюдения отбирается случайно, а остальные через один и тот же интервал (шаг), например из списка. Это псевдослучайный отбор.

Направленным называется неслучайный отбор, при котором единицы наблюдения отбираются в выборочную совокупность в соответствии с критериями, заданными исследователем. Направленные отборы бывают:

Гнездовой отбор это направленный многоступенчатый отбор, при котором на каждой ступени выделяется промежуточный объект репрезентации ("гнездо”), служащий исходной совокупностью для следующей ступени. При его осуществлении, как правило, в качестве единиц отбора выступают не отдельные респонденты, а группы с последующим сплошным отбором их. Особенностью является то, что "гнезда” на каждой ступени неоднородны по внутренней структуре подобно генеральной совокупности. Респондентом называется лицо (личность, человек), которое является источником первичной социологической информации, представляющей собой результат измерения;

Квотный отбор это направленный многоступенчатый отбор, при котором единицы наблюдения включаются в выборочную совокупность пропорционально их долям ("квотам”) в генеральной совокупности. Ему предшествует построение генеральной совокупности, воспроизводящей ее структуру в виде пропорций (квот) изучаемый признаков, например, если в коллективе количество мужчин и женщин соотносится как 1: 2, то в выборочной совокупности должны быть представлены респонденты по этому признаку в таком же соотношении. Это наиболее сложный метод, применяемый при большой генеральной совокупности и требующий для отбора респондентов использования не менее четырех признаков;

Районированный отбор это направленный многоступенчатый отбор, которому предшествует процедура деления совокупности на "районы”, которые внутри себя относительно однородны, но различаются между собой. Основные особенности - деление производится на основе признака, коррелирующего с исследуемыми характеристиками; ошибка выборки обуславливается только вариацией внутри выделенных типичный групп (районов). Данный отбор требует информации о генеральной совокупности для определения % -ного представительства признаков деления в выборочной совокупности, предварительного анализа объекта исследования;

Основными ошибками социологического исследования являются: теоретические (связанные с выбранной теорией), статистические (как правило, это заданная погрешность), наблюдения (полученные при сборе и первичной обработке информации). Ошибки наблюдения бывают: ошибки регистрации и ошибки репрезентативности.

Ошибки регистрации возникают в результате неправильного установления фактов в процессе наблюдения или не точной их записи: случайные - при заполнении документов, при измерении показателей, при подсчете и т.п.; систематические - из-за неправильного выбора метода сбора или обработки первичных данных, неточностью в "инструменте" (анкете, бланке наблюдения и т.д.), из-за не учета постоянного влияния внешних факторов и т.п. Ошибки репрезентативности возникают из-за отклонения значений показателей по выборочной совокупности от их значений по генеральной: случайные - при отборе единиц наблюдения (как правило, задаются при определении объема выборки); систематические - из-за неточности соблюдения процедуры выборки, отказа респондентов, нарушений процедуры обработки.

Таким образом, эмпирическое исследование открывает новые факты и ставит новые задачи перед теорией. Теоретическое исследование получает новые возможности объяснения фактов и методологически ориентирует эмпирическое. В сущности, это два уровня глубины научного исследования социальных процессов и явлений. Единство и взаимообусловленность эмпирического и теоретического уровней являются основной теоретико-методологической предпосылкой и условием достоверности получаемого социологического знания. Социологическое исследование это система логически последовательных методологических и организационно-технических процедур, связанных между собой единой целью - получить объективно-достоверные сведения об изучаемом социальном явлении или процессе для их последующего использования на практике.

В социологическом исследовании применяются количественный и качественный способы измерения, сущность которых заключается в выборе респондентами той или иной категории или цифрового балла из серии предложенных ответов, с последующей логико-математической обработкой полученных статистических результатов. При этом основными способами проверки обоснованности и надежности измерительных шкал являются: логико-математический и статистический анализ; определение системы независимых критериев, например сведения документов, результаты экспертиз, апробированных методик и т.д.