Примечание – Источник: собственная разработка.
Таким образом, увеличив объем выкладки черного чая на 19% увеличится объем продаж на 17% за счет скорости оборачиваемости данной продукции, выкладка и объемы продаж остальных видов чая сократиться, однако общий объем продаж увеличиться на 8,4%.
Используя данную методику необходимо регулярно пересчитывать те группы товаров, спрос и объем продаж на которые колеблиться.
Правильно выбранная методика установления цены, разумная ценовая тактика, последовательная реализация глубоко обоснованной ценовой стратегии составляют необходимые компоненты успешной деятельности любого коммерческого предприятия в жестких условиях рыночных отношений.
Известно, что в рыночной экономике цена определяется факторами, которые относятся к спросу и предложению, и вытекает из условия рыночного равновесия. Вместе с тем, с учетом конкретной ситуации, складывающейся на рынке, и возможностей в ОАО «Людмила-93» необходимо определять свою ценовую политику исходя из своих локальных целей (повышение конкурентоспособности, ускорение товарооборачиваемости и т.д.). Применительно к условиям, сложившимся в потребкооперации, наиболее важной такой целью является ускорение товарооборачиваемости: результаты хозяйствования розничного предприятия в условиях чрезвычайно ограниченных оборотных средств в наибольшей степени зависят от скорости обращения товаров и услуг. Именно поэтому считается, что критерием эффективности ценовой политики розничного предприятия ОАО «Людмила-93» должен являться показатель «скорость товарооборачиваемости в гастрономе «Перекресток». Если рынок находится в состоянии равновесия, то уровень спроса на большинство товаров зависит от цены реализации: чем выше цена, тем относительно меньше единиц товара приобретает потребитель и наоборот. Коэффициент пропорциональности изменения спроса в зависимости от изменения цены называют эластичностью спроса по отношению к цене или ценовой эластичностью. При относительно эластичном спросе увеличение цены товара влечет за собой снижение выручки: некоторое увеличение цены товара не приводит к увеличению размера выручки, который позволит покрыть потери от уменьшения объема проданного товара.
Как видно, выручка от реализации товара и рентабельность оборота являются показателями, определяющими известную проблему: «много, но дешево или мало, но дорого». Это означает, что в качестве оптимальной цены реализации товара должна выступать цена, при которой балансовая прибыль от его реализации будет максимальной (или: при какой скорости обращения товаров балансовая прибыль от его реализации будет максимальной).
Иначе говоря, реализация этого метода ценообразования должна предполагать измерение ценовой эластичности товаров.
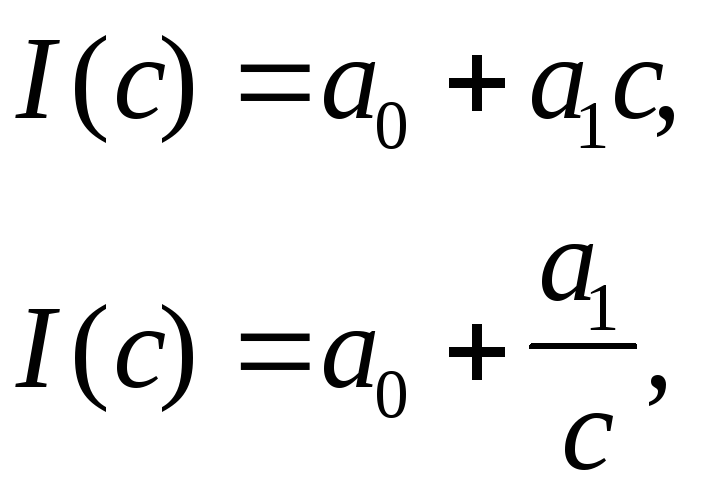
Под функцией спроса понимается функция, описывающая зависимость между спросом (или его интенсивностью) и соответствующими факторами. Особое внимание уделяется построению простейших функций спроса, зависящих от цены реализации товара (в этом случае считается, что денежные доходы населения и другие факторы, определяющие спрос, являются условно-постоянными на некотором промежутке времени), а именно:
(1)
где с — цена реализации товара;
I(с) — интенсивность спроса при цене с;
а0, а1 — параметры функции спроса.
Так, методы построения функций спроса предполагают определение параметров а0, а1 методом наименьших квадратов на основе статистических данных за прошлые периоды времени.
Определение оптимальной цены сводится к известной задаче на безусловный экстремум. С этой целью балансовая прибыль продавца Р выражается в качестве функции неизвестной цены реализации товара P(с) и задача становится простейшей математической задачей: найти значение цены c, при которой функция P(с) принимает максимальное значение. Для линейной функции спроса P(с) она будет иметь следующий вид:
(2)
где Т — интервал хозяйствования;
N — размер налога на добавленную стоимость;
s — покупная цена товара;
z — условно-переменные затраты на приобретение, хранение и реализацию единицы товара;
а0, а1 — параметры функции спроса.
Выражение (2) получается достаточно просто: балансовая прибыль от реализации единицы товара Ре(с) равна
.
(3)
балансовая прибыль Р(с), соответственно, определяется по формуле (2).
Дифференцируя функцию Р(с) по переменной с, приравнивая производную к нулю и решая полученное уравнение, определяем оптимальную цену со. В нашем случае имеем
(4)
Эта методика определения оптимальной цены легко распространяется на произвольную функцию спроса I(с). Так, формула для оптимальной цены при функции спроса в виде гиперболы выглядит следующим образом:
(5)
В таблице 20 приведены расчетные данные параметров спроса на некоторые товары.
Таблица 20 – Расчет параметров спроса
|
Наименование продукции |
Цена с НДС, руб. |
Объем продаж в месяц, шт. |
Параметры спроса |
|
|
а0 |
а1 |
|||
|
1 |
2 |
3 |
4 |
5 |
|
Макаронные изделия ТМ "Смак" 0, 45 кг |
2050 |
9 |
-0,01 |
36,33 |
|
1900 |
11 |
|||
|
Макаронные изделия ТМ "Идея" 0,9 кг |
2060 |
49 |
-0,22 |
515,2 |
|
1870 |
92 |
|||
|
Рис длинный 1 с, шлифованный, 0,8 кг |
4210 |
41 |
-11,62 |
0,01 |
|
3970 |
38 |
|||
|
Рис длинный шлифованный, 0,9 кг |
4150 |
40 |
-126 |
0,04 |
|
4100 |
38 |
|||
|
Гречка Элитная 0,9 кг |
2200 |
83 |
-219,5 |
0,13 |
|
2120 |
72 |
|||
|
Крупа манная "Ясно Солнышко" 0,8 кг |
2270 |
20 |
247 |
-0,1 |
|
2310 |
16 |
|||
|
Шоколад Нестле Классик, 100 г |
4280 |
14 |
82,78 |
-0,01 |
|
3720 |
23 |
|||
|
Шоколад Альпен Гольд молочный с фундуком, 100 г |
2940 |
47 |
-289 |
0,11 |
|
2800 |
31 |
|||
|
Пиво Бобров крепкое 1 л |
3270 |
60 |
-176,16 |
0,072 |
|
3090 |
47 |
|||
|
Пиво Бобров светлое 1 л |
2990 |
27 |
1088,45 |
-0,355 |
|
2790 |
98 |
|||
|
Пиво Бобров классическое 1 л |
3190 |
22 |
947,1 |
-0,29 |
|
2990 |
80 |
|||
|
Пиво Клинское светлое 1,5 л |
4510 |
110 |
-701,8 |
0,18 |
|
4860 |
173 |
|||
|
Масло подсолнечное рафинированное Шалом 1 л |
3660 |
25 |
559,92 |
-0,14 |
|
3790 |
6 |
|||
|
Продолжение таблицы 20 |
||||
|
1 |
2 |
3 |
4 |
5 |
|
Масло подсолнечное Золотая Семечка, 1 л |
3990 |
811 |
5371 |
-1,21 |
|
3570 |
749 |
|||
|
3450 |
1545 |
|||
Примечание- Источник: собственная разработка.
Рассчитав параметры спроса, рассчитаем оптимальную цену на те наименования продукции, параметры спроса которых удовлетворяют условие. Результат представлен в таблице 21.
Таблица 21 - Определение оптимальной цены
|
Наименование продукции |
Оптимальная цена, руб.
|
Покупная цена, руб. |
Условно-переменные затраты, руб. |
НДС, % |
Параметры спроса |
|
|
а0 |
а1 |
|||||
|
Крупа манная "Ясно Солнышко" 0,8 кг |
2130 |
1746,8 |
41 |
10 |
247 |
-0,1 |
|
Шоколад Нестле Классик, 100 г |
5790 |
3288,66 |
12 |
18 |
82,78 |
-0,01 |
|
Пиво Бобров классическое 1 л |
2760 |
2193,62 |
52 |
18 |
947,1 |
-0,29 |
|
Пиво Бобров светлое 1 л |
2670 |
2207,78 |
52 |
18 |
1088,45 |
-0,355 |
|
Масло подсолнечное рафинированное Шалом 1 л |
3610 |
3186,7 |
24 |
10 |
559,92 |
-0,14 |
|
Масло подсолнечное Золотая Семечка, 1 л |
3830 |
3191,1 |
24 |
10 |
5371 |
-1,21 |
Примечание – Источник: собственная разработка.
Для определения эффективности применения данного метода определения цен сопоставим получаемую балансовую прибыль от реализации данных продуктов с балансовой прибылью, получаемой в процессе реализации по оптимальным ценам – таблица 22.
Таблица 22 – Балансовая прибыль от реализации товара
|
Наименование продукции |
Оптимальная цена, руб.
|
Балансовая прибыль при реализации по оптимальной цене, руб. |
Цена реализации, руб. |
Балансовая прибыль при реализации данной цены, руб. |
|
1 |
2 |
3 |
4 |
5 |
|
Крупа манная "Ясно Солнышко" 0,8 кг |
2130 |
308 |
2270 |
434 |
|
Шоколад Нестле Классик, 100 г |
5790 |
2108 |
4280 |
828 |
|
Пиво Бобров |
2760 |
428 |
2990 |
622 |
|
|
||||
|
1 |
2 |
3 |
4 |
5 |
|
классическое 1 л |
|
|
|
|
|
Пиво Бобров светлое 1 л |
2670 |
337 |
2990 |
610 |
|
Масло подсолнечное рафинированное Шалом 1 л |
3610 |
357 |
3660 |
406 |
|
Масло подсолнечное Золотая Семечка, 1 л |
3830 |
555 |
3670 |
411 |
|
Итого |
|
б |
|
3314 |